Ostatnia aktualizacja :
27/04/2026
Antybiotyk   Tobramycin sulfate  
Aerozol
Injekcje Krople oczne Roztwór doustny
Stabilność preparatów farmaceutycznych Trwałość w mieszaninie Czynnik wpływający na trwałość Zgodność Bibliografia pdf
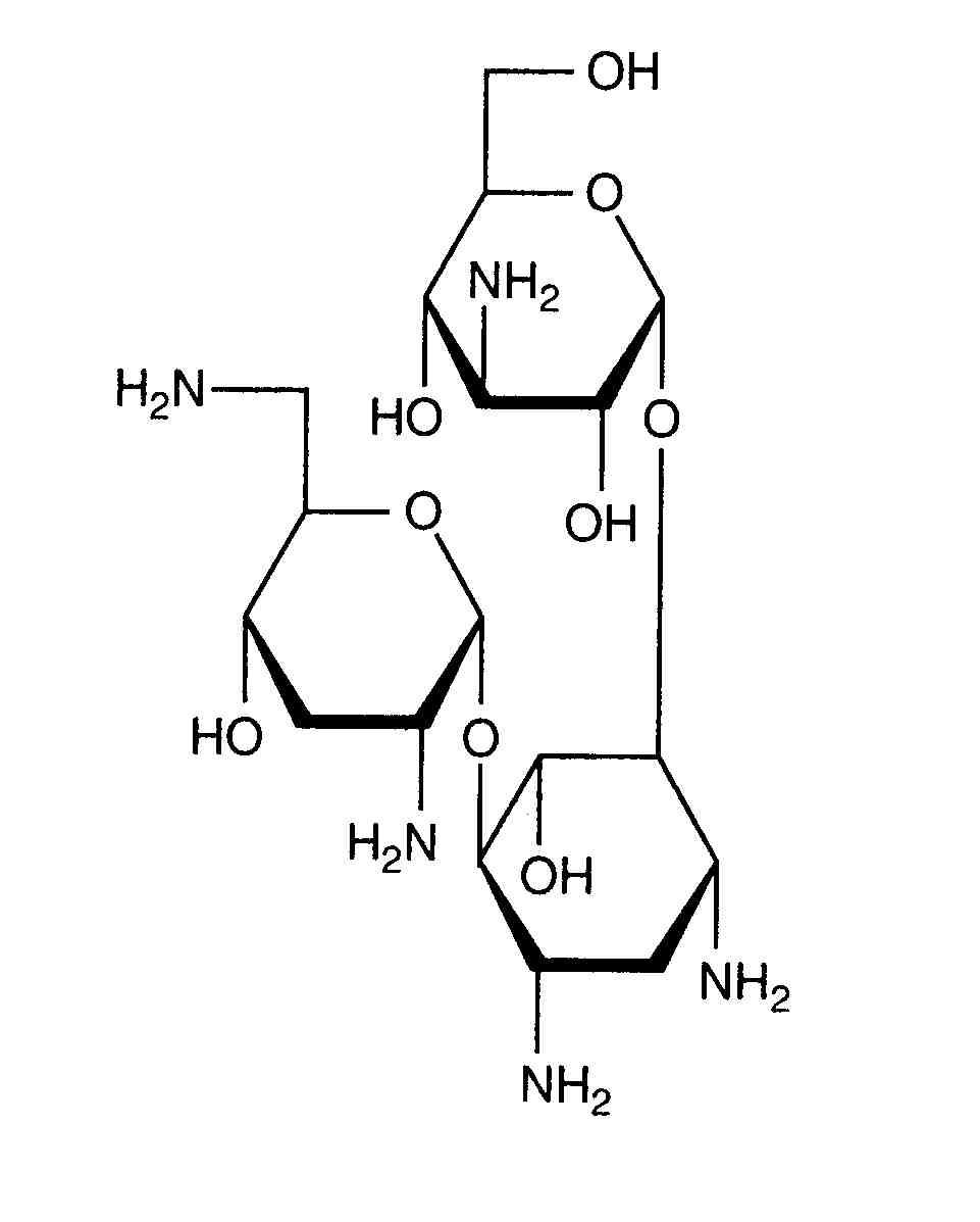
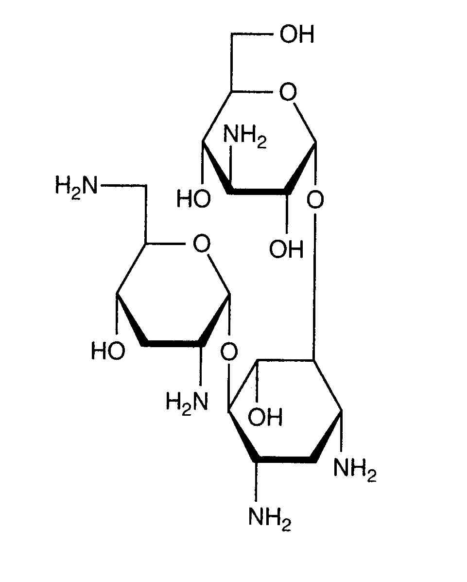
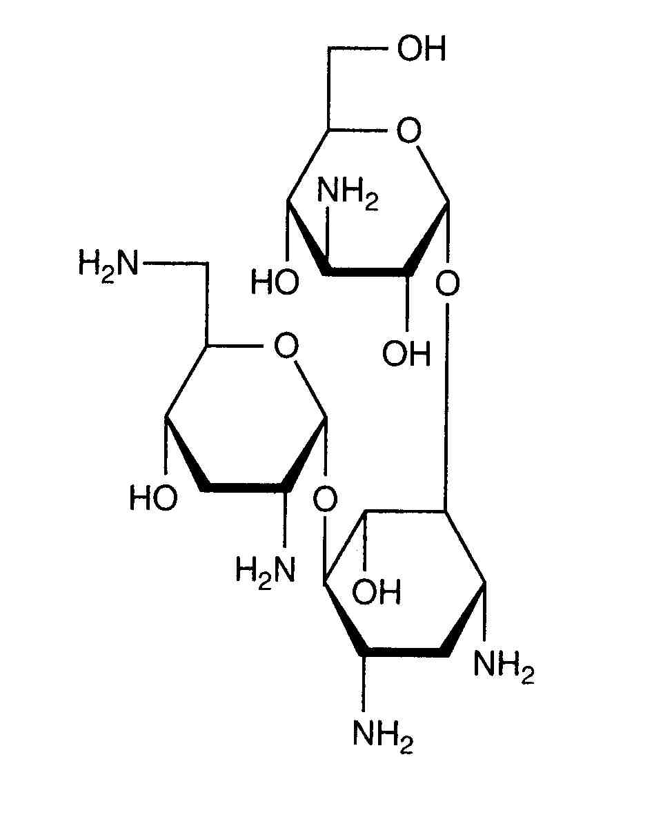
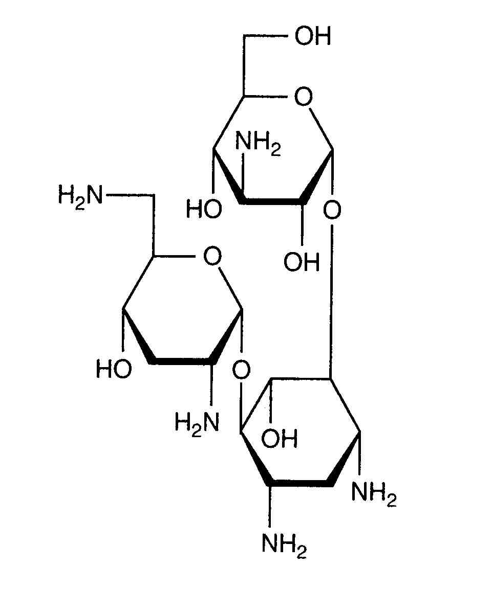
   Struktura chemiczna  

Aerozol

Czynnik wpływający na trwałość   Aerozol   Czynnik wpływający na trwałość : Tobramycin sulfate        
Brak danych

  Mentions Légales