viimane versioon :
27/04/2026
antibiootikum   Tobramycin sulfate  
aerosool
Silmatilgad Süsteravim suukaudne lahus
Stabiilsust ravimpreparaadid Stabiilsust mõjutavad tegurid stabiilsust mõjutavad faktorid Sobimatus Viited pdf
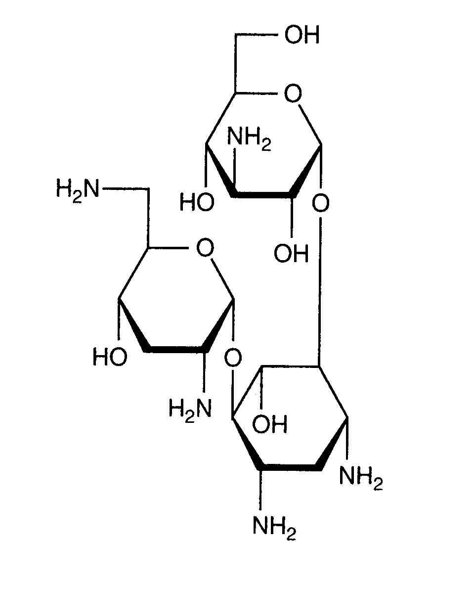
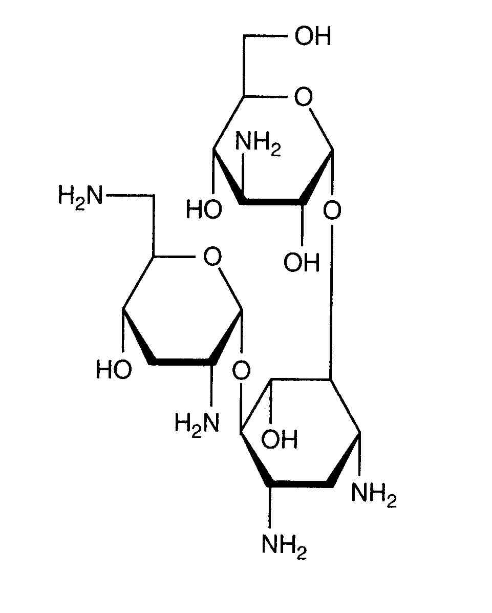
   keemiline struktuur  

aerosool

stabiilsust mõjutavad faktorid   aerosool   stabiilsust mõjutavad faktorid : Tobramycin sulfate        
andmed puuduvad

  Mentions Légales