Poslední aktualizace :
27/04/2026
Antibiotikas   Tobramycin sulfate  
Aerozolis
Akių lašai Geriamas tirpalas Įpurškimas
Stabilumas farmacinių preparatų Mišinių stabilumas Stabilumą lemiantys veiksniai Suderinamumas Bibliografija pdf
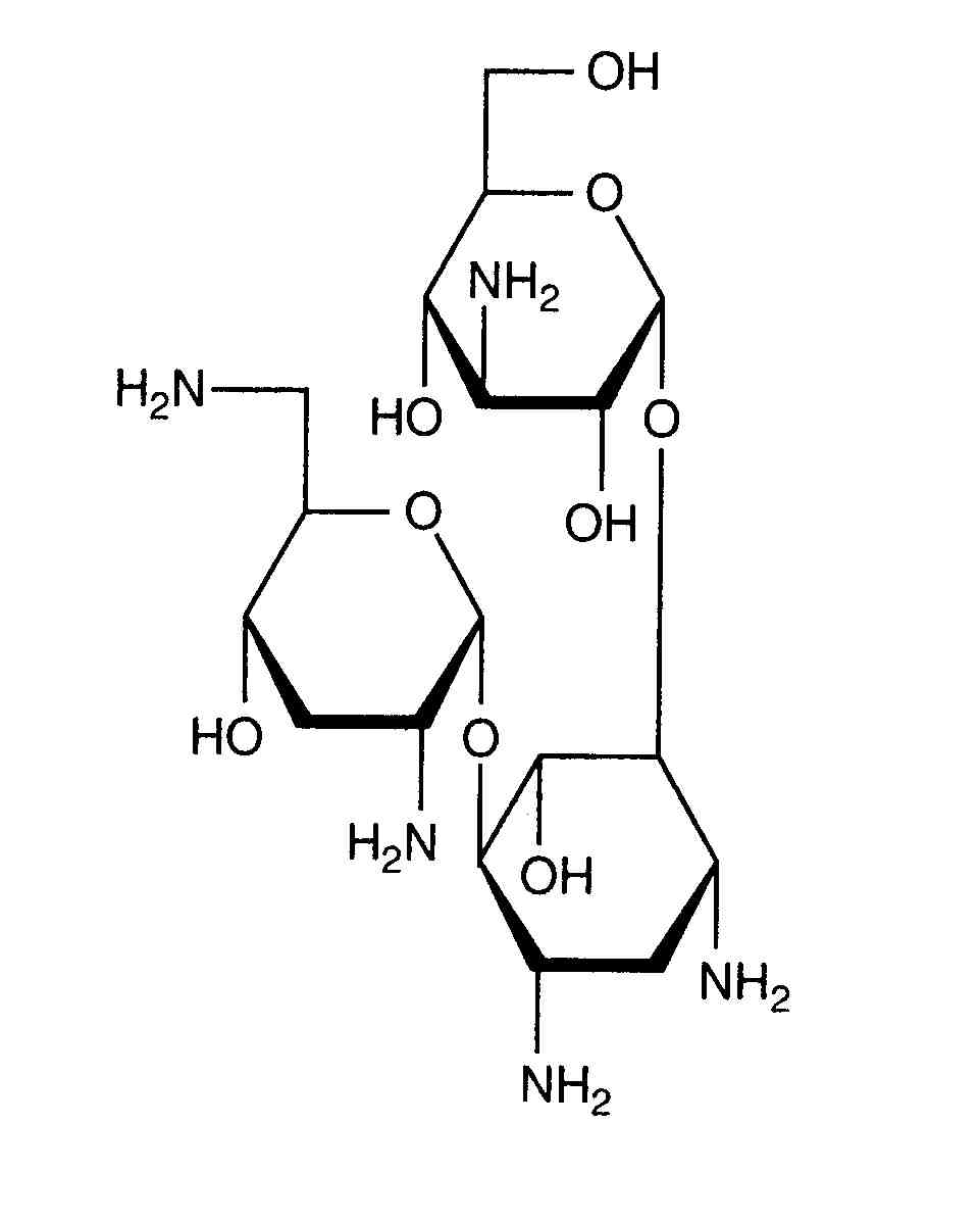
   Cheminė sandara  

Aerozolis

Stabilumą lemiantys veiksniai   Aerozolis   Stabilumą lemiantys veiksniai : Tobramycin sulfate        
Nėra duomenų

  Mentions Légales