Seneste opdatering :
27/04/2026
Antibiotisk   Tobramycin sulfate  
Aerosol
Injektion Oral opløsning Øjendråber
Stabilitet af farmaceutiske tilberedninger Stabilitet i blandinger Faktorer der påvirker stabiliteten Kompatibilitet Bibliografi pdf
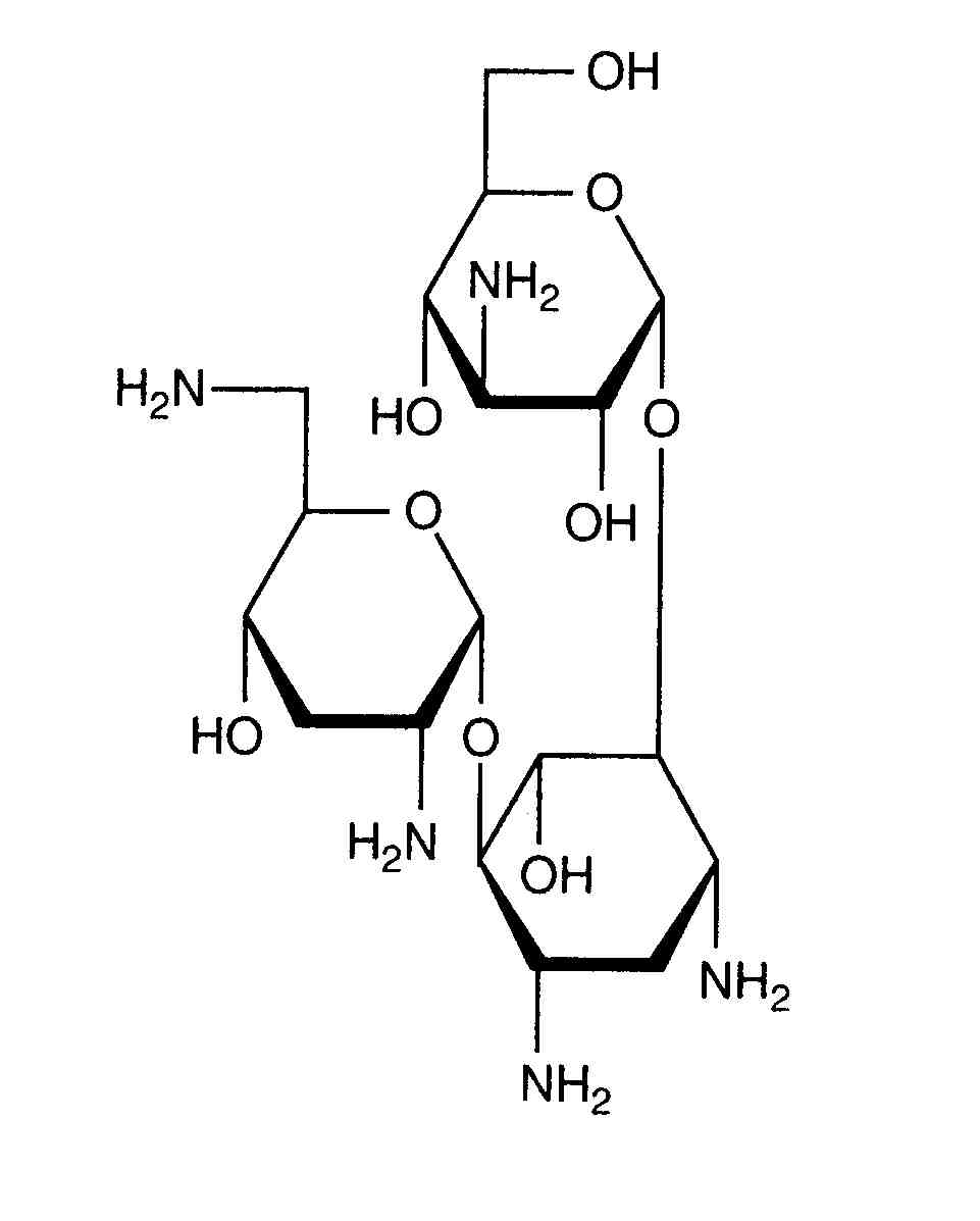
   Kemisk struktur  

Aerosol

Faktorer der påvirker stabiliteten   Aerosol   Faktorer der påvirker stabiliteten : Tobramycin sulfate        
Ingen data

  Mentions Légales