Laatste update :
27/04/2026
Antibioticum   Tobramycin sulfate  
Aerosol
injecteerbaar geneesmiddel Oogwater Orale Oplossing
Stabiliteit van farmaceutische preparaten Stabiliteit in mengsels Factoren die de stabiliteit beïnvloeden Verenigbaarheden Literatuur pdf
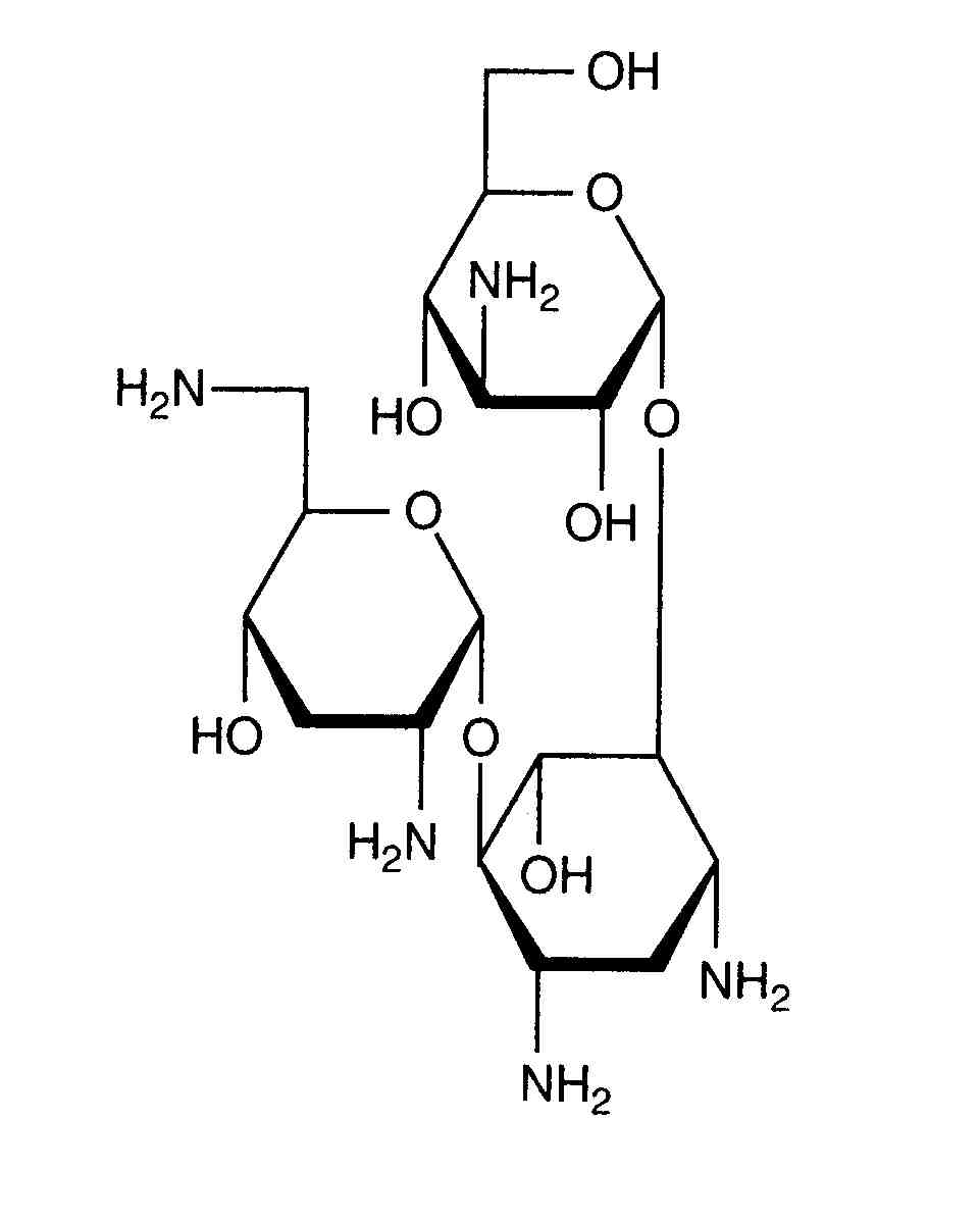
   Molecuulstructuur  

Aerosol

Factoren die de stabiliteit beïnvloeden   Aerosol   Factoren die de stabiliteit beïnvloeden : Tobramycin sulfate        
geen gegevens

  Mentions Légales