Останнє оновлення :
27/04/2026
Протипаразитарний   Artesunate  
супозиторій
ін'єкція
Стабільність фармацевтичних препаратів Стійкість сумішей Фактори, що впливають на стабільність Сумісність Список літератури pdf
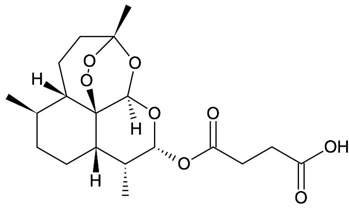
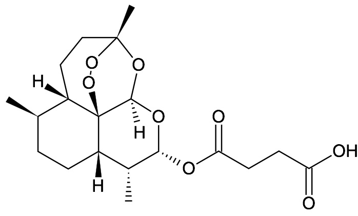
   Хімічна структура  

супозиторій
Стабільність фармацевтичних препаратів   супозиторій   Стабільність фармацевтичних препаратів : Artesunate     
Контейнер Origine допоміжна речовина температура Зберігання Тривалість стабільності Список літератури
скло powder 5 g
Artesunate
Carbopol® 974P 0.8 g
Етанол 10 g
NaOH 5M 1.64 g
Очищена вода 86.36 g
22°C Не визначено
3 День
2655


  Mentions Légales