Dernière mise à jour :
27/04/2026
Antiparasitaire   Artesunate  
Suppositoires
injectable
Stabilité des préparations Stabilité en mélange Facteur influençant la stabilité Compatibilités Bibliographie pdf
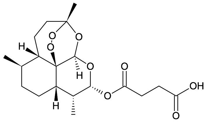
   Structure chimique  

Suppositoires
Stabilité des préparations   Suppositoires   Stabilité des préparations : Artesunate     
Contenant Origine Excipient Température Conservation Durée de stabilité Bibliographie
Verre Poudre 5 g
Artesunate
Carbopol® 974P 0.8 g
Ethanol 10 g
NaOH 5M 1.64 g
Eau purifiée 86.36 g
22°C Non précisée
3 Jour
2655


  Mentions Légales