Seneste opdatering :
05/12/2025
Antiparacitær   Artesunate  
Stikpille
Injektion
Stabilitet af farmaceutiske tilberedninger Stabilitet i blandinger Faktorer der påvirker stabiliteten Kompatibilitet Bibliografi pdf
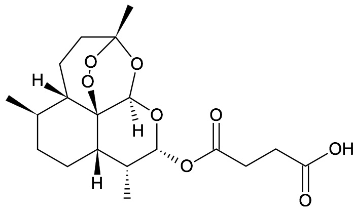
   Kemisk struktur  

Stikpille
Stabilitet af farmaceutiske tilberedninger   Stikpille   Stabilitet af farmaceutiske tilberedninger : Artesunate     
Beholder Origine Hjælpestof Temperatur Konservering Varighed af stabilitet Bibliografi
Glas Pulver 5 g
Artesunate
Carbopol® 974P 0.8 g
Ethanol 10 g
NaOH 5M 1.64 g
Renset vand 86.36 g
22°C Ikke nærmere angivet
3 Dag
2655


  Mentions Légales