最新更新 :
27/04/2026
抗寄生虫药   Artesunate  
肛门塞剂
注射液
制剂的稳定性 混合物稳定性 影响稳定性的因素 兼容性 引用文献 PDF
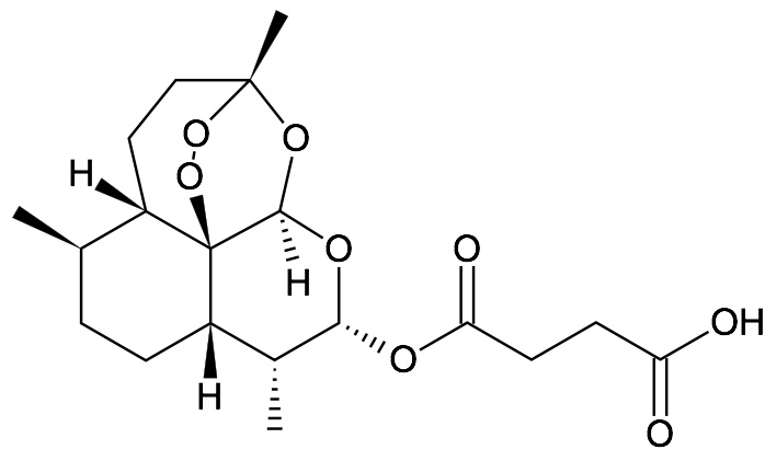
   化学式  

肛门塞剂
制剂的稳定性   肛门塞剂   制剂的稳定性 : Artesunate     
容器 Origine 添加剂 温度 保存 穩定持續時間 引用文献
玻璃 粉剂 5 g
Artesunate
Carbopol® 974P 0.8 g
乙醇 10 g
NaOH 5M 1.64 g
净化水 86.36 g
22°C 无特殊要求
3 白天
2655


  Mentions Légales