Letztes “update” :
27/04/2026
Antiparasitär   Artesunate  
Zäpfchen
Injektion
Stabilität von pharmazeutischen Präparaten Gemengestabilität Stabilitätbeeinflussende Faktoren Kompatibilitäten Literaturverzeichnis pdf
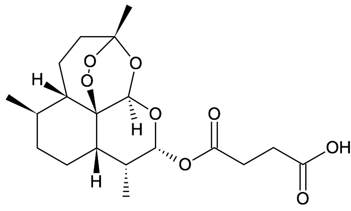
   Chemische Struktur  

Zäpfchen
Stabilität von pharmazeutischen Präparaten   Zäpfchen   Stabilität von pharmazeutischen Präparaten : Artesunate     
Behälter Origine Hilfsstoff Temperatur Konservierung Dauer der Stabilität Literaturverzeichnis
Glas Pulver 5 g
Artesunate
Carbopol® 974P 0.8 g
Ethanol 10 g
NaOH 5M 1.64 g
Gereinigtes Wasser 86.36 g
22°C Nicht genau angegeben
3 Tag
2655


  Mentions Légales