Ostatnia aktualizacja :
05/12/2025
Lek przeciwpasożytniczy   Artesunate  
Czopek
Injekcje
Stabilność preparatów farmaceutycznych Trwałość w mieszaninie Czynnik wpływający na trwałość Zgodność Bibliografia pdf
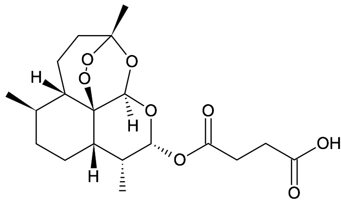
   Struktura chemiczna  

Czopek
Stabilność preparatów farmaceutycznych   Czopek   Stabilność preparatów farmaceutycznych : Artesunate     
Pojemnik Origine Substancja pomocniczna Temperatura Przechowywanie Czas trwania stabilności Bibliografia
Szkło Proszek 5 g
Artesunate
Carbopol® 974P 0.8 g
Etanol 10 g
NaOH 5M 1.64 g
Woda oczyszczona 86.36 g
22°C Nie wyszczególniony
3 Dzień
2655


  Mentions Légales