Pēdējā atjaunošana :
21/01/2026
Pretparazītu līdzeklis   Artesunate  
Supozitorijs
Injekcija
Stabilitāte farmaceitisko preparātu Maisījuma stabilitāte Stabilitāti ietekmējoši faktori Saderība Literatūras saraksts pdf
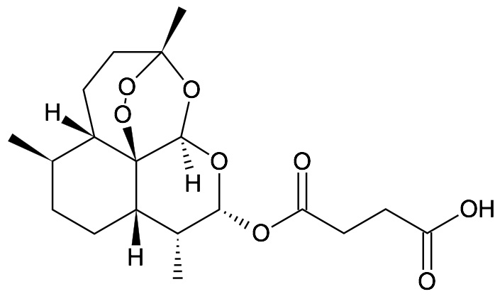
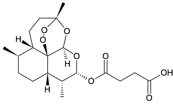
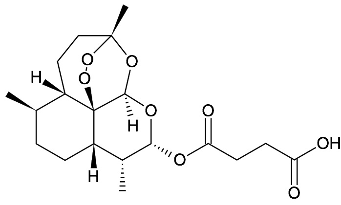
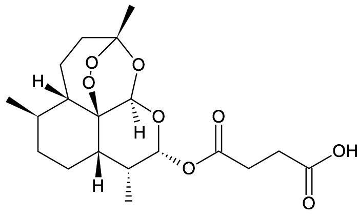
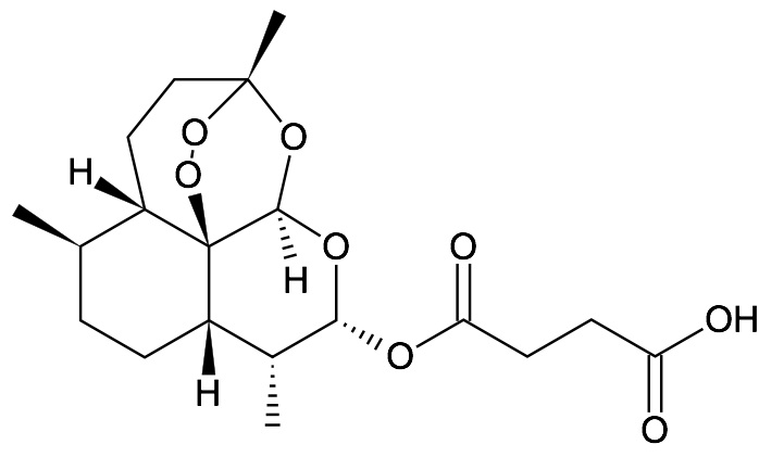
   Ķīmiskā uzbūve   

Supozitorijs
Stabilitāte farmaceitisko preparātu   Supozitorijs   Stabilitāte farmaceitisko preparātu : Artesunate     
Iepakojums Origine Palīgviela Temperatūra Glabāšana Stabilitātes ilgums Literatūras saraksts
Stikls Pūderis 5 g
Artesunate
Carbopol® 974P 0.8 g
Etanols 10 g
NaOH 5M 1.64 g
Attīrīts ūdens 86.36 g
22°C Nav specifisks
3 Diena
2655


  Mentions Légales