Última actualização :
21/01/2026
Antiparasitario   Artesunate  
supositório
injetável
Estabilidade de preparações farmacêuticas Estabilidade em misturas Factores que afectam a sua estabilidade Compatibilidade Bibliografía pdf
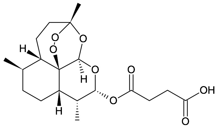
   estrutura química  

supositório
Estabilidade de preparações farmacêuticas   supositório   Estabilidade de preparações farmacêuticas : Artesunate     
Embalagem Origine excipiente temperatura conservação Duração da estabilidade Bibliografia
vidro pó 5 g
Artesunate
Carbopol® 974P 0.8 g
Etanol 10 g
NaOH 5M 1.64 g
A água purificada 86.36 g
22°C no especificado
3 dia
2655


  Mentions Légales