Última actualización :
21/01/2026
Antiparasitario   Artesunate  
Supositorio
Inyectables
La estabilidad de las preparaciones farmacéuticas Estabilidad en mezcla Factores que influyen sobre la estabilidad Compatibilidades Bibliografía pdf
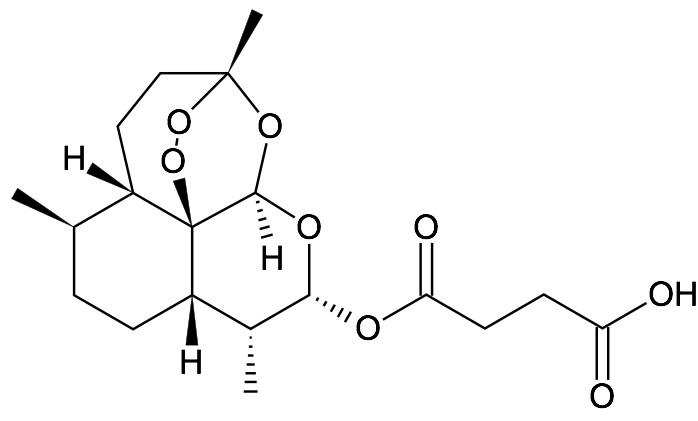
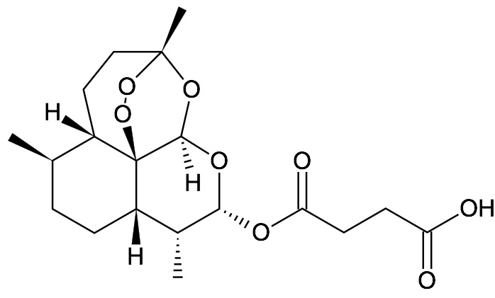
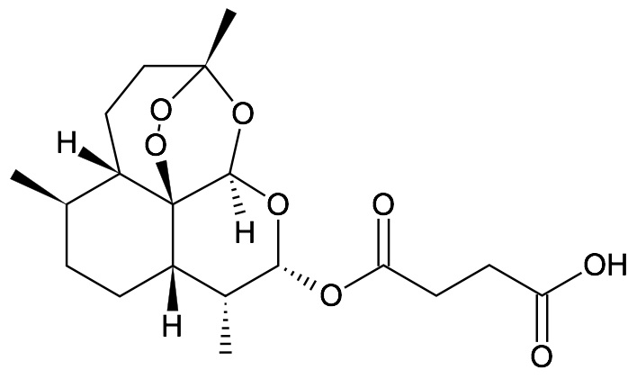
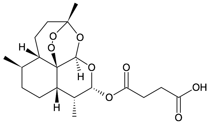
   Estructura química  

Supositorio
La estabilidad de las preparaciones farmacéuticas   Supositorio   La estabilidad de las preparaciones farmacéuticas : Artesunate     
Envase Origine Excipiente Temperatura Conservación Duración de la estabilidad Bibliografía
Vidrio Polvo 5 g
Artesunate
Carbopol® 974P 0.8 g
Etanol 10 g
NaOH 5M 1.64 g
Agua purificada 86.36 g
22°C No precisada
3 Día
2655


  Mentions Légales