Последно актуализиране :
21/01/2026
Противопаразитно средство   Artesunate  
Супозитория
Инжекция/Инжекционен
Стабилност на лекарствени препарати Стабилност на смеси Фактори, повлияващи стабилността Съвместимост Библиография Pdf
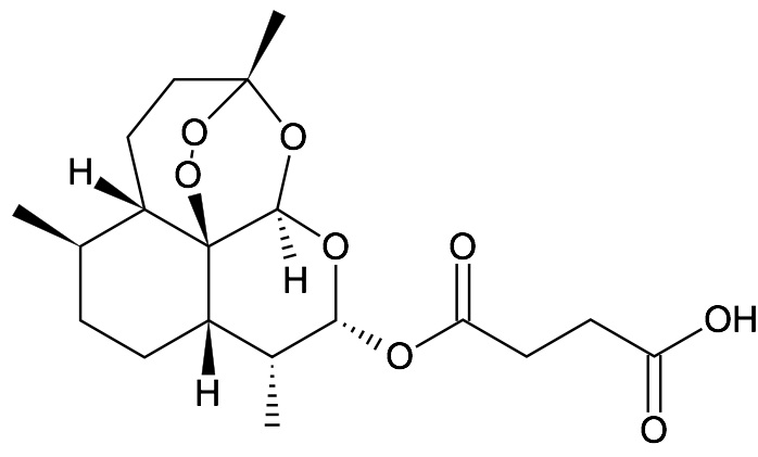
   Химична структура  

Супозитория
Стабилност на лекарствени препарати   Супозитория   Стабилност на лекарствени препарати : Artesunate     
Контейнер Origine Помощно вещество Температура Съхранение Продължителност на стабилността Библиография
Стъкло Прах 5 g
Artesunate
Карбопол® 974P 0.8 g
Етанол 10 g
Натриева основа 5M 1.64 g
Пречистена вода 86.36 g
22°C Не е уточнено
3 Ден
2655


  Mentions Légales