Cập nhật lần cuối :
27/04/2026
thuốc trị ung thư   Paclitaxel  
Dạng tiêm
Tính ổn định của các dung dịch Độ ổn định khi trộn lẫn Những yếu tố ảnh hưởng đến độ ổn định Khả năng tương thích Đường dùng Tài liệu tham khảo Pdf
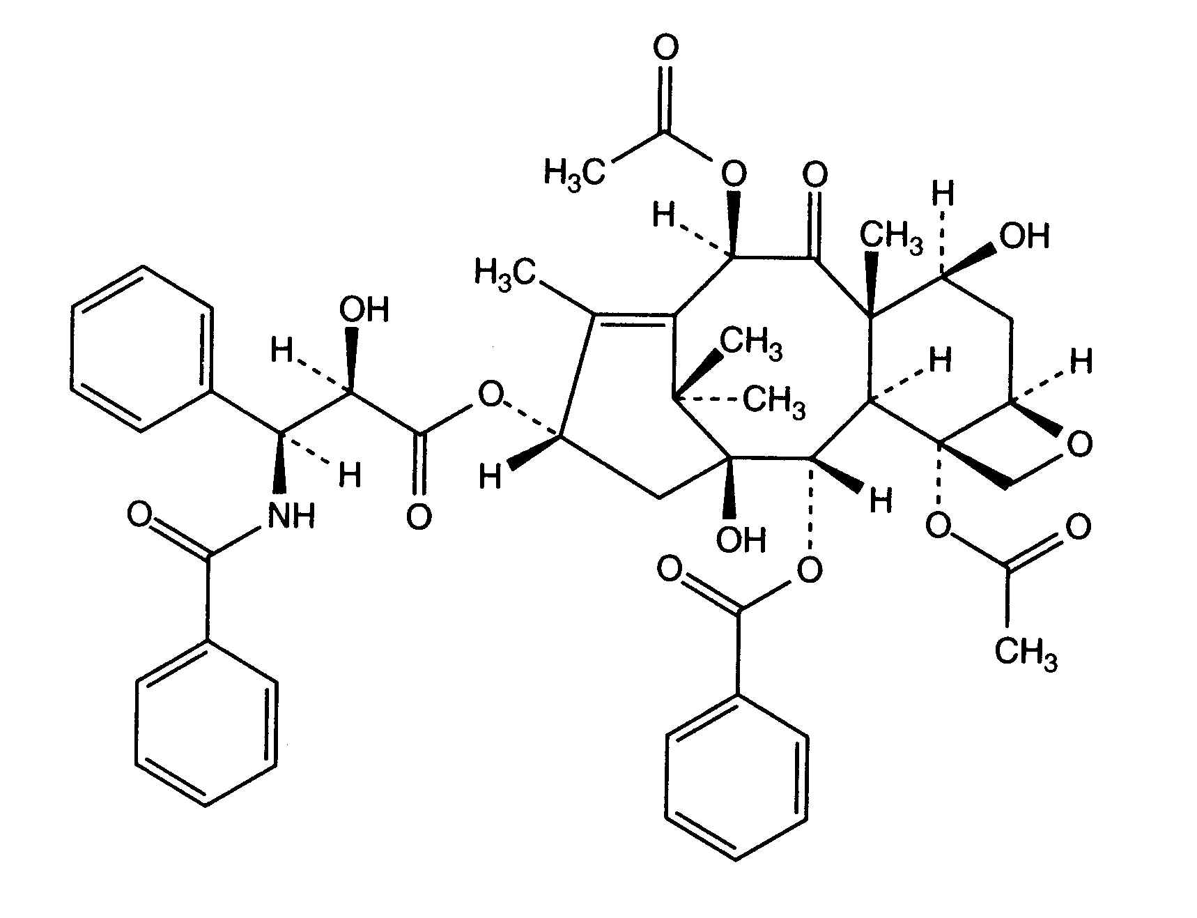
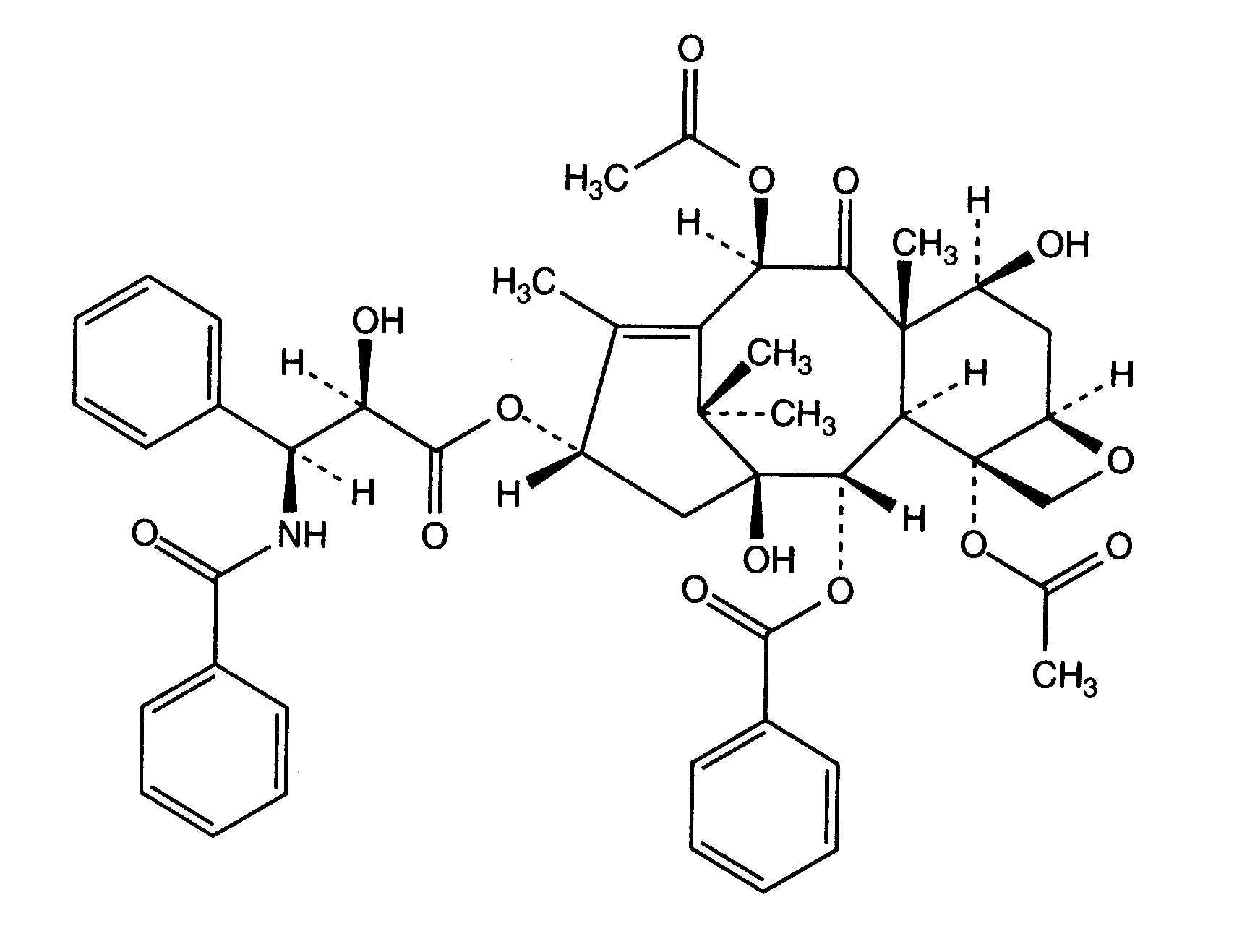
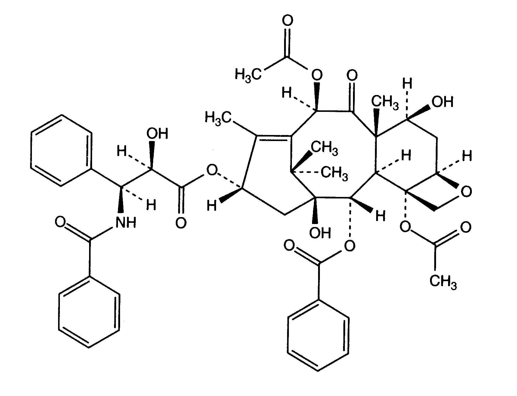
   Cấu trúc hóa học  

Tên thương mại   Tên thương mại     

Các tên thương mại được cung cấp và thành phần tá dược có thể khác nhau giữa các quốc gia và các hãng dược

Aclipak Malaysia
Acoexcel Mexico
Acupaxil Morocco
Anzatax Ả Rập, Ả Rập Saudi, Iran, Malaysia, Morocco, new zealand, Peru, Thổ Nhĩ Kỳ, Tunisia, United Arab Emirates
Aritaxel Đức
Cantaxel Ấn Độ
Clitaxel Argentina, Venezuela
Dalys Argentina
Ebetaxel Ả Rập Saudi, Áo, Iran, Morocco, Thổ Nhĩ Kỳ, Tunisia
Genexol Ả Rập, Ấn Độ, Iran
Onxol Hoa Kỳ
Paclinova Argentina
Paclitaxin Brazil, Luxembourg, Malaysia, Slovenia
Parexel Brazil, Colombia, Ecuador, Venezuela
Paxene Ba Lan, Hà Lan, Hy Lạp, Ireland, Tây Ban Nha, Đan Mạch
Poltaxel Ba Lan
Ribotax Đức
Taxol Ả Rập, Áo, Ba Lan, Bồ Đào Nha, Brazil, Colombia, Hà Lan, Hy Lạp, Iran, Malaysia, Morocco, new zealand, Nhật, Peru, Slovenia, Thổ Nhĩ Kỳ, Thụy Sỹ, Thụy Điển, United Arab Emirates, Venezuela, Ý, Đan Mạch
Taxomedac Đức
Vitax Brazil, Peru, Thổ Nhĩ Kỳ
Tính ổn định của các dung dịch   Dạng tiêm   Tính ổn định của các dung dịch : Paclitaxel     
Bao bì Dung môi Nồng độ Nhiệt độ Bảo quản Thời gian ổn định Mục lục
Thủy tinh NaCl 0,9% 0.3 mg/ml 2-8°C Tránh ánh sáng
13 Ngày
2172
Cấp độ bằng chứng A+

Thủy tinh NaCl 0,9% 0.3 mg/ml 25°C Tránh ánh sáng
3 Ngày
2172
Cấp độ bằng chứng A+

Thủy tinh NaCl 0,9% 1,2 mg/ml 30°C Tránh ánh sáng
4 Ngày
173
Cấp độ bằng chứng A

Thủy tinh NaCl 0,9% 1.2 mg/ml 2-8°C Tránh ánh sáng
8 Ngày
2172
Cấp độ bằng chứng A+

Thủy tinh NaCl 0,9% 1.2 mg/ml 25°C Tránh ánh sáng
5 Ngày
2172
Cấp độ bằng chứng A+

Thủy tinh Glucose 5% 0,4 & 1,2 mg/ml 20°C-25°C Ánh sáng
5 Ngày
1865
Cấp độ bằng chứng B

Thủy tinh Glucose 5% 0.3 mg/ml 2-8°C Tránh ánh sáng
20 Ngày
2172
Cấp độ bằng chứng A+

Thủy tinh Glucose 5% 0.3 & 1.2 mg/ml 25°C Tránh ánh sáng
7 Ngày
2172
Cấp độ bằng chứng A+

Thủy tinh Glucose 5% 1,2 mg/ml 30°C Tránh ánh sáng
4 Ngày
173
Cấp độ bằng chứng A

Thủy tinh Glucose 5% 1.2 mg/ml 2-8°C Tránh ánh sáng
8 Ngày
2172
Cấp độ bằng chứng A+

Nhựa polyethylen NaCl 0,9% 0.3 mg/ml 2-8°C Tránh ánh sáng
13 Ngày
2172
Cấp độ bằng chứng A+

Nhựa polyethylen NaCl 0,9% 0.3 & 1.2 mg/ml 25°C Tránh ánh sáng
3 Ngày
2172
Cấp độ bằng chứng A+

Nhựa polyethylen NaCl 0,9% 1.2 mg/ml 2-8°C Tránh ánh sáng
9 Ngày
2172
Cấp độ bằng chứng A+

Nhựa polyethylen Glucose 5% 0,4 & 1,2 mg/ml 20°C-25°C Có hoặc không có tiếp xúc với ánh sáng
5 Ngày
1865
Cấp độ bằng chứng B

Nhựa polyethylen Glucose 5% 0,4 & 1,2 mg/ml 25°C Có hoặc không có tiếp xúc với ánh sáng
5 Ngày
1520
Các dữ liệu về độ ổn định của nhà sản xuất

Nhựa polyethylen Glucose 5% 0,4 & 1,2 mg/ml 4°C Không rõ
5 Ngày
1520
Các dữ liệu về độ ổn định của nhà sản xuất

Nhựa polyethylen Glucose 5% 0,4 & 1,2 mg/ml 4°C Tránh ánh sáng
5 Ngày
1865
Cấp độ bằng chứng B

Nhựa polyethylen Glucose 5% 0.3 mg/ml 2-8°C Tránh ánh sáng
13 Ngày
2172
Cấp độ bằng chứng A+

Nhựa polyethylen Glucose 5% 0.3 & 1.2 mg/ml 25°C Tránh ánh sáng
3 Ngày
2172
Cấp độ bằng chứng A+

Nhựa polyethylen Glucose 5% 1.2 mg/ml 2-8°C Tránh ánh sáng
10 Ngày
2172
Cấp độ bằng chứng A+

Nhựa polyolefin NaCl 0,9% 0,1 & 1 mg/ml 22°C Không rõ
3 Ngày
157
Cấp độ bằng chứng A+

Nhựa polyolefin NaCl 0,9% 0,1 & 1 mg/ml 32°C Không rõ
3 Ngày
157
Cấp độ bằng chứng A+

Nhựa polyolefin NaCl 0,9% 0,1 & 1 mg/ml 4°C Tránh ánh sáng
3 Ngày
157
Cấp độ bằng chứng A+

Nhựa polyolefin NaCl 0,9% 0,3 mg/ml 5°C Tránh ánh sáng
28 Ngày
2174
Cấp độ bằng chứng A+

Nhựa polyolefin NaCl 0,9% 0,3 & 0,75 mg/ml 25°C Tránh ánh sáng
6 Ngày
2174
Cấp độ bằng chứng A+

Nhựa polyolefin NaCl 0,9% 0,3 & 1,2 mg/ml 20°C-23°C Ánh sáng
48 Giờ
669
Cấp độ bằng chứng A

Nhựa polyolefin NaCl 0,9% 0,3 & 1,2 mg/ml 25°C Tránh ánh sáng
72 Giờ
1522
Các dữ liệu về độ ổn định của nhà sản xuất

Nhựa polyolefin NaCl 0,9% 0,3 &1,2 mg/ml 4°C Tránh ánh sáng
72 Giờ
2014
Cấp độ bằng chứng C

Nhựa polyolefin NaCl 0,9% 0,3 >>1,2 mg/ml 30°C Tránh ánh sáng
4 Ngày
173
Cấp độ bằng chứng A

Nhựa polyolefin NaCl 0,9% 0,6 mg/ml 20°C-23°C Không rõ
25 Giờ
412
Cấp độ bằng chứng A

Nhựa polyolefin NaCl 0,9% 0,75 mg/ml 5°C Tránh ánh sáng
16 Ngày
2174
Cấp độ bằng chứng A+

Nhựa polyolefin NaCl 0,9% 0.3 > 1.2 mg/ml 25°C Ánh sáng
72 Giờ
1956
Các dữ liệu về độ ổn định của nhà sản xuất

Nhựa polyolefin NaCl 0,9% 0.3 > 1.2 mg/ml 5°C Tránh ánh sáng
28 Ngày
1956
Các dữ liệu về độ ổn định của nhà sản xuất

Nhựa polyolefin NaCl 0,9% 1,2 mg/ml 20°C-23°C Không rõ
25 Giờ
412
Cấp độ bằng chứng A

Nhựa polyolefin NaCl 0,9% 1,2 mg/ml 25°C Tránh ánh sáng
4 Ngày
2174
Cấp độ bằng chứng A+

Nhựa polyolefin NaCl 0,9% 1,2 mg/ml 5°C Tránh ánh sáng
12 Ngày
2174
Cấp độ bằng chứng A+

Nhựa polyolefin Glucose 5% 0,1 & 1 mg/ml 22°C Không rõ
3 Ngày
157
Cấp độ bằng chứng A+

Nhựa polyolefin Glucose 5% 0,1 & 1 mg/ml 32°C Không rõ
3 Ngày
157
Cấp độ bằng chứng A+

Nhựa polyolefin Glucose 5% 0,1 & 1 mg/ml 4°C Tránh ánh sáng
3 Ngày
157
Cấp độ bằng chứng A+

Nhựa polyolefin Glucose 5% 0,3 mg/ml 25°C Tránh ánh sáng
8 Ngày
2174
Cấp độ bằng chứng A+

Nhựa polyolefin Glucose 5% 0,3 mg/ml 5°C Tránh ánh sáng
28 Ngày
2174
Cấp độ bằng chứng A+

Nhựa polyolefin Glucose 5% 0,3 & 1,2 mg/ml 20°C-23°C Ánh sáng
48 Giờ
669
Cấp độ bằng chứng A

Nhựa polyolefin Glucose 5% 0,3 & 1,2 mg/ml 25°C Tránh ánh sáng
72 Giờ
1522
Các dữ liệu về độ ổn định của nhà sản xuất

Nhựa polyolefin Glucose 5% 0,3 &1,2 mg/ml 4°C Tránh ánh sáng
72 Giờ
2014
Cấp độ bằng chứng C

Nhựa polyolefin Glucose 5% 0,3 >>1,2 mg/ml 30°C Tránh ánh sáng
4 Ngày
173
Cấp độ bằng chứng A

Nhựa polyolefin Glucose 5% 0,6 mg/ml 20°C-23°C Không rõ
25 Giờ
412
Cấp độ bằng chứng A

Nhựa polyolefin Glucose 5% 0,75 mg/ml 25°C Tránh ánh sáng
4 Ngày
2174
Cấp độ bằng chứng A+

Nhựa polyolefin Glucose 5% 0,75 mg/ml 5°C Tránh ánh sáng
16 Ngày
2174
Cấp độ bằng chứng A+

Nhựa polyolefin Glucose 5% 0.3 > 1.2 mg/ml 25°C Ánh sáng
72 Giờ
1956
Các dữ liệu về độ ổn định của nhà sản xuất

Nhựa polyolefin Glucose 5% 0.3 > 1.2 mg/ml 5°C Tránh ánh sáng
14 Ngày
1956
Các dữ liệu về độ ổn định của nhà sản xuất

Nhựa polyolefin Glucose 5% 1,2 mg/ml 20°C-23°C Không rõ
12 Giờ
412
Cấp độ bằng chứng A

Nhựa polyolefin Glucose 5% 1,2 mg/ml 25°C Tránh ánh sáng
4 Ngày
2174
Cấp độ bằng chứng A+

Nhựa polyolefin Glucose 5% 1,2 mg/ml 5°C Tránh ánh sáng
12 Ngày
2174
Cấp độ bằng chứng A+


  Mentions Légales