Poslední aktualizace :
27/01/2026
vėžio narkotikų   Paclitaxel  
Įpurškimas
Tirpalų stabilumas Mišinių stabilumas Stabilumą lemiantys veiksniai Suderinamumas Leidimo būdai Bibliografija pdf
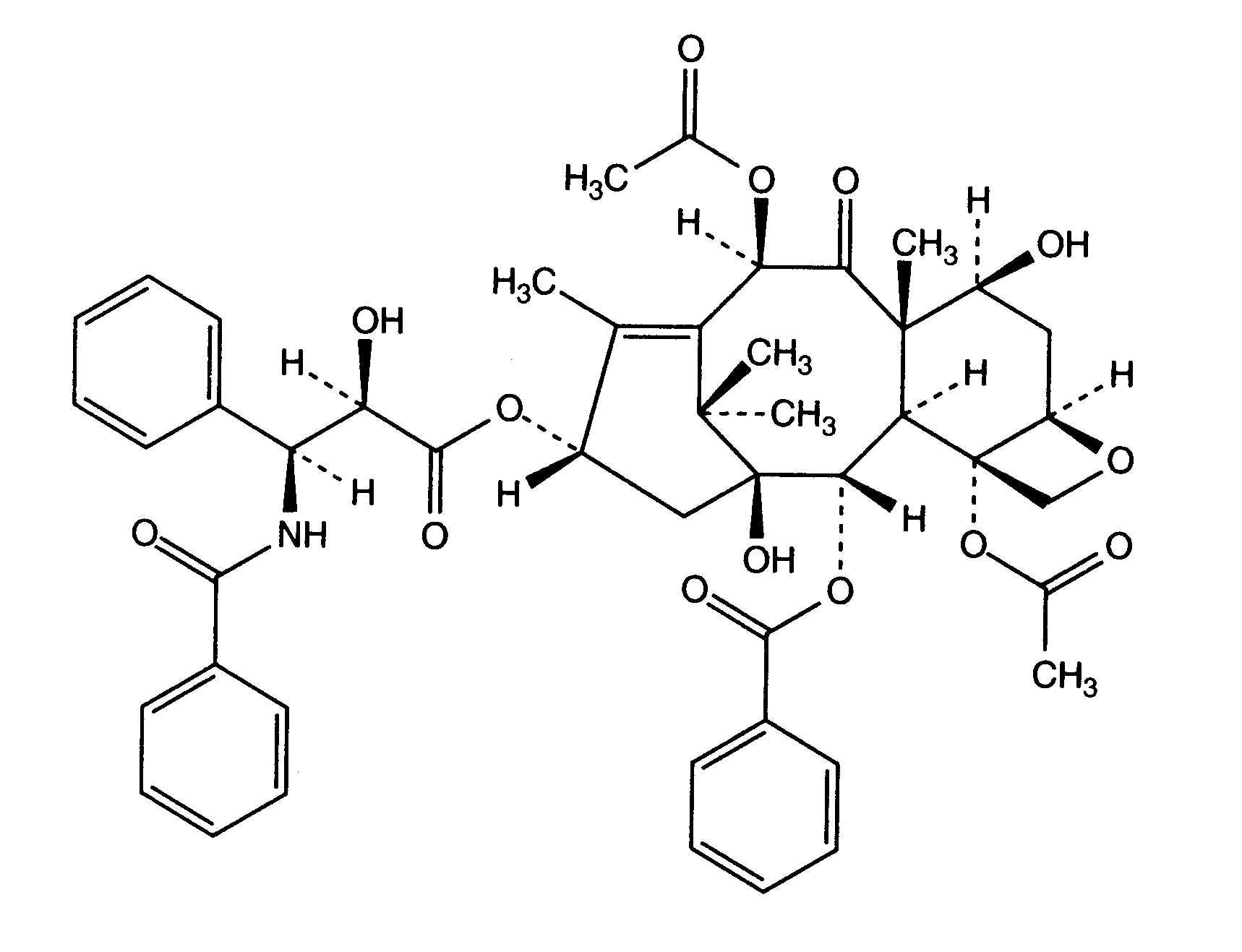
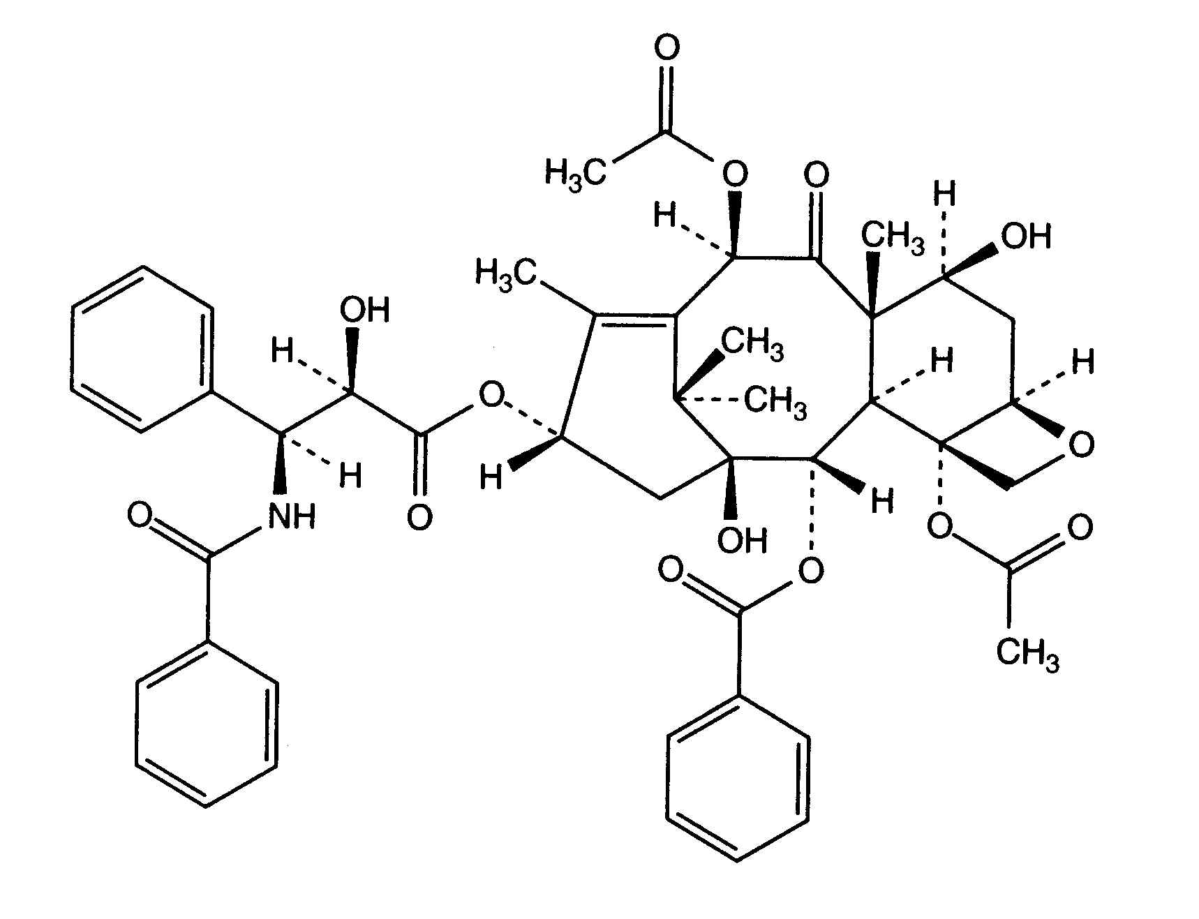
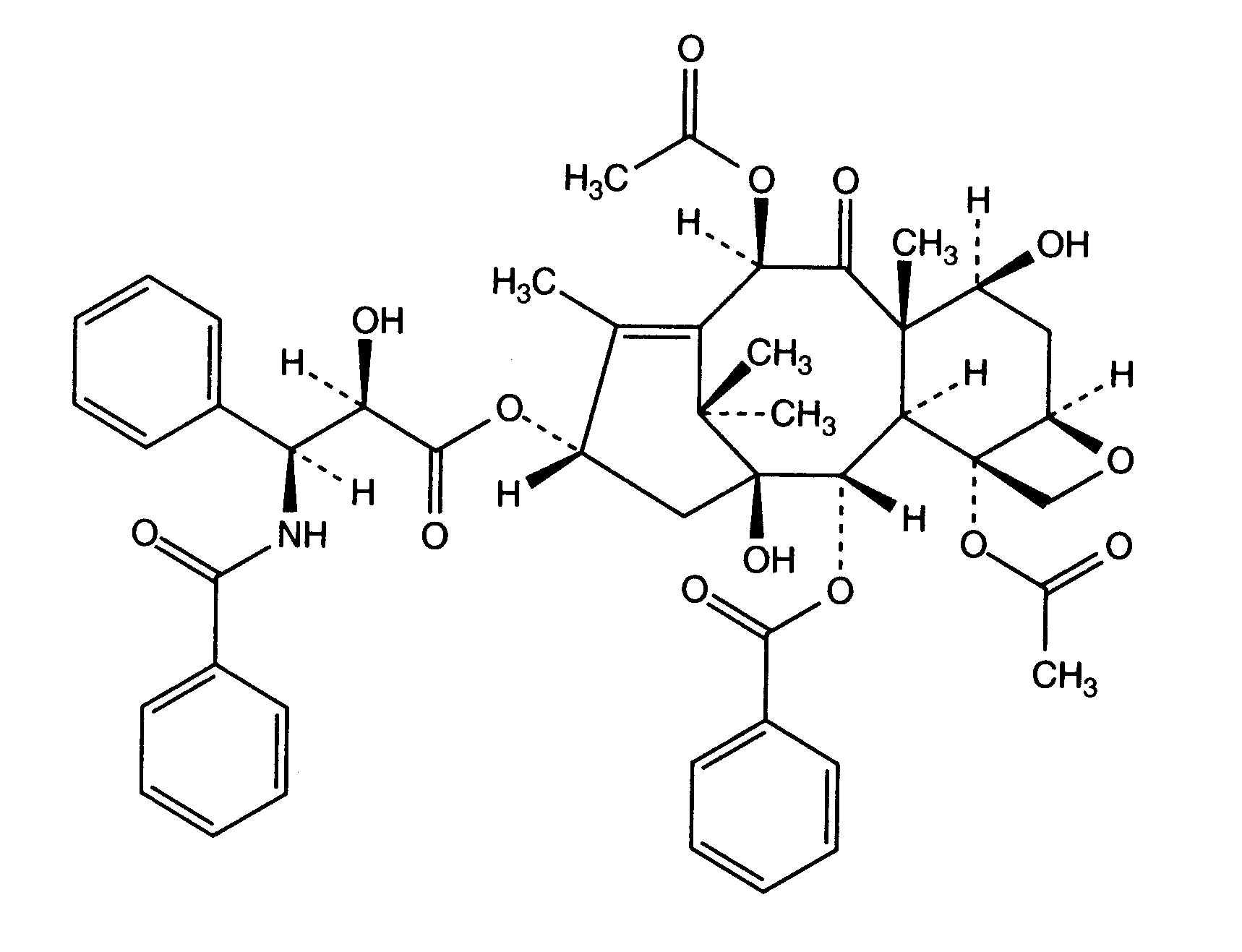
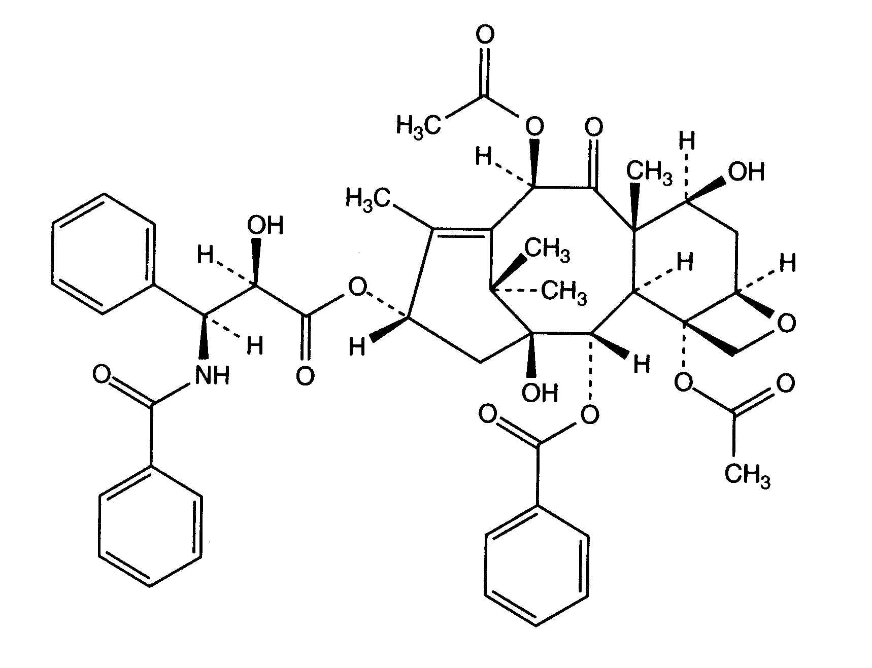
   Cheminė sandara  

Prekinis pavadinimas   Prekinis pavadinimas     

Trade names are indicative and excipients composition can be different depending on the country and manufacturers

Aclipak Malaizija
Acoexcel Meksikas
Acupaxil Marokas
Anzatax Egiptas, Iranas, Jungtiniai Arabų Emyratai, Malaizija, Marokas, Naujojoje Zelandijoje, Peru, Saudo Arabija, Tunisas, Turkija
Aritaxel Vokietija
Cantaxel Indija
Clitaxel Argentina, Venesuela
Dalys Argentina
Ebetaxel Austrija, Iranas, Marokas, Saudo Arabija, Tunisas, Turkija
Genexol Egiptas, Indija, Iranas
Onxol Jungtinės Amerikos Valstijos
Paclinova Argentina
Paclitaxin Brazilija, Liuksemburgas, Malaizija, Slovėnija
Parexel Brazilija, Ekvadoras, Kolumbija, Venesuela
Paxene Airija, Danija, Graikija, Ispanija, Lenkija, Olandija
Poltaxel Lenkija
Ribotax Vokietija
Taxol Austrija, Brazilija, Danija, Egiptas, Graikija, Iranas, Italija, Japonija, Jungtiniai Arabų Emyratai, Kolumbija, Lenkija, Malaizija, Marokas, Naujojoje Zelandijoje, Olandija, Peru, Portugalija, Slovėnija, Švedija, Šveicarija, Turkija, Venesuela
Taxomedac Vokietija
Vitax Brazilija, Peru, Turkija
Tirpalų stabilumas   Įpurškimas   Tirpalų stabilumas : Paclitaxel     
Pakuotė Tirpiklis Koncentracija Temperatūra Laikymas Stabilumo trukmė Nuorodos
Stiklas Natrio chloridas 0,9% 0.3 mg/ml 2-8°C Apsaugotas nuo šviesos
13 Diena
2172
Bandymo lygis A+

Stiklas Natrio chloridas 0,9% 0.3 mg/ml 25°C Apsaugotas nuo šviesos
3 Diena
2172
Bandymo lygis A+

Stiklas Natrio chloridas 0,9% 1,2 mg/ml 30°C Apsaugotas nuo šviesos
4 Diena
173
Bandymo lygis A

Stiklas Natrio chloridas 0,9% 1.2 mg/ml 2-8°C Apsaugotas nuo šviesos
8 Diena
2172
Bandymo lygis A+

Stiklas Natrio chloridas 0,9% 1.2 mg/ml 25°C Apsaugotas nuo šviesos
5 Diena
2172
Bandymo lygis A+

Stiklas Gliukozė 5% 0,4 & 1,2 mg/ml 20°C-25°C Šviesa
5 Diena
1865
Bandymo lygis B

Stiklas Gliukozė 5% 0.3 mg/ml 2-8°C Apsaugotas nuo šviesos
20 Diena
2172
Bandymo lygis A+

Stiklas Gliukozė 5% 0.3 & 1.2 mg/ml 25°C Apsaugotas nuo šviesos
7 Diena
2172
Bandymo lygis A+

Stiklas Gliukozė 5% 1,2 mg/ml 30°C Apsaugotas nuo šviesos
4 Diena
173
Bandymo lygis A

Stiklas Gliukozė 5% 1.2 mg/ml 2-8°C Apsaugotas nuo šviesos
8 Diena
2172
Bandymo lygis A+

Polietilenas Natrio chloridas 0,9% 0.3 mg/ml 2-8°C Apsaugotas nuo šviesos
13 Diena
2172
Bandymo lygis A+

Polietilenas Natrio chloridas 0,9% 0.3 & 1.2 mg/ml 25°C Apsaugotas nuo šviesos
3 Diena
2172
Bandymo lygis A+

Polietilenas Natrio chloridas 0,9% 1.2 mg/ml 2-8°C Apsaugotas nuo šviesos
9 Diena
2172
Bandymo lygis A+

Polietilenas Gliukozė 5% 0,4 & 1,2 mg/ml 20°C-25°C Ir šviesoje, ir tamsoje
5 Diena
1865
Bandymo lygis B

Polietilenas Gliukozė 5% 0,4 & 1,2 mg/ml 25°C Ir šviesoje, ir tamsoje
5 Diena
1520
Gamintojo stabilumo duomenys

Polietilenas Gliukozė 5% 0,4 & 1,2 mg/ml 4°C Nenurodyta
5 Diena
1520
Gamintojo stabilumo duomenys

Polietilenas Gliukozė 5% 0,4 & 1,2 mg/ml 4°C Apsaugotas nuo šviesos
5 Diena
1865
Bandymo lygis B

Polietilenas Gliukozė 5% 0.3 mg/ml 2-8°C Apsaugotas nuo šviesos
13 Diena
2172
Bandymo lygis A+

Polietilenas Gliukozė 5% 0.3 & 1.2 mg/ml 25°C Apsaugotas nuo šviesos
3 Diena
2172
Bandymo lygis A+

Polietilenas Gliukozė 5% 1.2 mg/ml 2-8°C Apsaugotas nuo šviesos
10 Diena
2172
Bandymo lygis A+

Poliolefinas Natrio chloridas 0,9% 0,1 & 1 mg/ml 22°C Nenurodyta
3 Diena
157
Bandymo lygis A+

Poliolefinas Natrio chloridas 0,9% 0,1 & 1 mg/ml 32°C Nenurodyta
3 Diena
157
Bandymo lygis A+

Poliolefinas Natrio chloridas 0,9% 0,1 & 1 mg/ml 4°C Apsaugotas nuo šviesos
3 Diena
157
Bandymo lygis A+

Poliolefinas Natrio chloridas 0,9% 0,3 mg/ml 5°C Apsaugotas nuo šviesos
28 Diena
2174
Bandymo lygis A+

Poliolefinas Natrio chloridas 0,9% 0,3 & 0,75 mg/ml 25°C Apsaugotas nuo šviesos
6 Diena
2174
Bandymo lygis A+

Poliolefinas Natrio chloridas 0,9% 0,3 & 1,2 mg/ml 20°C-23°C Šviesa
48 Valanda
669
Bandymo lygis A

Poliolefinas Natrio chloridas 0,9% 0,3 & 1,2 mg/ml 25°C Apsaugotas nuo šviesos
72 Valanda
1522
Gamintojo stabilumo duomenys

Poliolefinas Natrio chloridas 0,9% 0,3 &1,2 mg/ml 4°C Apsaugotas nuo šviesos
72 Valanda
2014
Bandymo lygis C

Poliolefinas Natrio chloridas 0,9% 0,3 >>1,2 mg/ml 30°C Apsaugotas nuo šviesos
4 Diena
173
Bandymo lygis A

Poliolefinas Natrio chloridas 0,9% 0,6 mg/ml 20°C-23°C Nenurodyta
25 Valanda
412
Bandymo lygis A

Poliolefinas Natrio chloridas 0,9% 0,75 mg/ml 5°C Apsaugotas nuo šviesos
16 Diena
2174
Bandymo lygis A+

Poliolefinas Natrio chloridas 0,9% 0.3 > 1.2 mg/ml 25°C Šviesa
72 Valanda
1956
Gamintojo stabilumo duomenys

Poliolefinas Natrio chloridas 0,9% 0.3 > 1.2 mg/ml 5°C Apsaugotas nuo šviesos
28 Diena
1956
Gamintojo stabilumo duomenys

Poliolefinas Natrio chloridas 0,9% 1,2 mg/ml 20°C-23°C Nenurodyta
25 Valanda
412
Bandymo lygis A

Poliolefinas Natrio chloridas 0,9% 1,2 mg/ml 25°C Apsaugotas nuo šviesos
4 Diena
2174
Bandymo lygis A+

Poliolefinas Natrio chloridas 0,9% 1,2 mg/ml 5°C Apsaugotas nuo šviesos
12 Diena
2174
Bandymo lygis A+

Poliolefinas Gliukozė 5% 0,1 & 1 mg/ml 22°C Nenurodyta
3 Diena
157
Bandymo lygis A+

Poliolefinas Gliukozė 5% 0,1 & 1 mg/ml 32°C Nenurodyta
3 Diena
157
Bandymo lygis A+

Poliolefinas Gliukozė 5% 0,1 & 1 mg/ml 4°C Apsaugotas nuo šviesos
3 Diena
157
Bandymo lygis A+

Poliolefinas Gliukozė 5% 0,3 mg/ml 25°C Apsaugotas nuo šviesos
8 Diena
2174
Bandymo lygis A+

Poliolefinas Gliukozė 5% 0,3 mg/ml 5°C Apsaugotas nuo šviesos
28 Diena
2174
Bandymo lygis A+

Poliolefinas Gliukozė 5% 0,3 & 1,2 mg/ml 20°C-23°C Šviesa
48 Valanda
669
Bandymo lygis A

Poliolefinas Gliukozė 5% 0,3 & 1,2 mg/ml 25°C Apsaugotas nuo šviesos
72 Valanda
1522
Gamintojo stabilumo duomenys

Poliolefinas Gliukozė 5% 0,3 &1,2 mg/ml 4°C Apsaugotas nuo šviesos
72 Valanda
2014
Bandymo lygis C

Poliolefinas Gliukozė 5% 0,3 >>1,2 mg/ml 30°C Apsaugotas nuo šviesos
4 Diena
173
Bandymo lygis A

Poliolefinas Gliukozė 5% 0,6 mg/ml 20°C-23°C Nenurodyta
25 Valanda
412
Bandymo lygis A

Poliolefinas Gliukozė 5% 0,75 mg/ml 25°C Apsaugotas nuo šviesos
4 Diena
2174
Bandymo lygis A+

Poliolefinas Gliukozė 5% 0,75 mg/ml 5°C Apsaugotas nuo šviesos
16 Diena
2174
Bandymo lygis A+

Poliolefinas Gliukozė 5% 0.3 > 1.2 mg/ml 25°C Šviesa
72 Valanda
1956
Gamintojo stabilumo duomenys

Poliolefinas Gliukozė 5% 0.3 > 1.2 mg/ml 5°C Apsaugotas nuo šviesos
14 Diena
1956
Gamintojo stabilumo duomenys

Poliolefinas Gliukozė 5% 1,2 mg/ml 20°C-23°C Nenurodyta
12 Valanda
412
Bandymo lygis A

Poliolefinas Gliukozė 5% 1,2 mg/ml 25°C Apsaugotas nuo šviesos
4 Diena
2174
Bandymo lygis A+

Poliolefinas Gliukozė 5% 1,2 mg/ml 5°C Apsaugotas nuo šviesos
12 Diena
2174
Bandymo lygis A+


  Mentions Légales