Ultimele actualizari :
27/04/2026
Citostatic   Paclitaxel  
Injectabil
Stabilitatea in solutie Stabilitatea in amestec Factorii care influenteaza stabilitatea Compatibilitate Microunde Bibliografie pdf
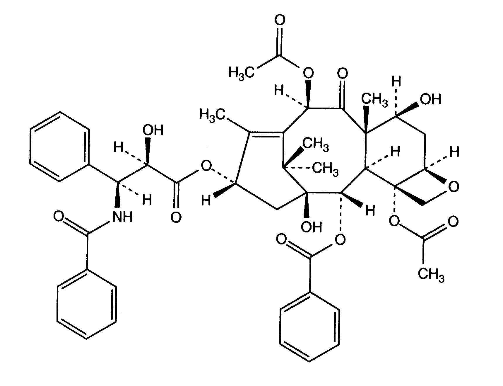
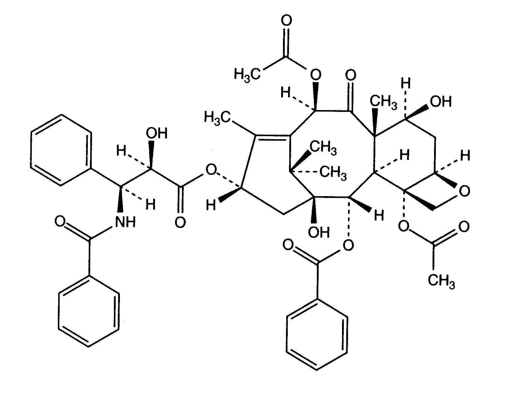
   Formula chimica  

Denumirea comerciala   Denumirea comerciala     

Trade names are indicative and excipients composition can be different depending on the country and manufacturers

Aclipak Malaezia
Acoexcel Mexic
Acupaxil Maroc
Anzatax Arabia Saudita, Egipt, Emiratele Arabe Unite, Iran, Malaezia, Maroc, noua Zeelandă, Peru, Tunisia, Turcia
Aritaxel Germania
Cantaxel India
Clitaxel Argentina, Venezuela
Dalys Argentina
Ebetaxel Arabia Saudita, Austria, Iran, Maroc, Tunisia, Turcia
Genexol Egipt, India, Iran
Onxol SUA
Paclinova Argentina
Paclitaxin Brazilia, Luxemburg, Malaezia, Slovenia
Parexel Brazilia, Columbia, Ecuador, Venezuela
Paxene Danemarca, Grecia, Irlanda, Olanda, Polonia, Spania
Poltaxel Polonia
Ribotax Germania
Taxol Austria, Brazilia, Columbia, Danemarca, Egipt, Elvetia, Emiratele Arabe Unite, Grecia, Iran, Italia, Japonia, Malaezia, Maroc, noua Zeelandă, Olanda, Peru, Polonia, Portugalia, Slovenia, Suedia, Turcia, Venezuela
Taxomedac Germania
Vitax Brazilia, Peru, Turcia
Stabilitatea in solutie   Injectabil   Stabilitatea in solutie : Paclitaxel     
Continut Solvent Concentratie Temperatura Conservare Durata stabilității Bibiografie
sticla clorura de sodiu 0,9% 0.3 mg/ml 2-8°C Ferit de lumina
13 Ziua
2172
Nivel de evidență A+

sticla clorura de sodiu 0,9% 0.3 mg/ml 25°C Ferit de lumina
3 Ziua
2172
Nivel de evidență A+

sticla clorura de sodiu 0,9% 1,2 mg/ml 30°C Ferit de lumina
4 Ziua
173
Nivel de evidență A

sticla clorura de sodiu 0,9% 1.2 mg/ml 2-8°C Ferit de lumina
8 Ziua
2172
Nivel de evidență A+

sticla clorura de sodiu 0,9% 1.2 mg/ml 25°C Ferit de lumina
5 Ziua
2172
Nivel de evidență A+

sticla Glucoza 5% 0,4 & 1,2 mg/ml 20°C-25°C Lumina
5 Ziua
1865
Nivel de evidență B

sticla Glucoza 5% 0.3 mg/ml 2-8°C Ferit de lumina
20 Ziua
2172
Nivel de evidență A+

sticla Glucoza 5% 0.3 & 1.2 mg/ml 25°C Ferit de lumina
7 Ziua
2172
Nivel de evidență A+

sticla Glucoza 5% 1,2 mg/ml 30°C Ferit de lumina
4 Ziua
173
Nivel de evidență A

sticla Glucoza 5% 1.2 mg/ml 2-8°C Ferit de lumina
8 Ziua
2172
Nivel de evidență A+

polietilen clorura de sodiu 0,9% 0.3 mg/ml 2-8°C Ferit de lumina
13 Ziua
2172
Nivel de evidență A+

polietilen clorura de sodiu 0,9% 0.3 & 1.2 mg/ml 25°C Ferit de lumina
3 Ziua
2172
Nivel de evidență A+

polietilen clorura de sodiu 0,9% 1.2 mg/ml 2-8°C Ferit de lumina
9 Ziua
2172
Nivel de evidență A+

polietilen Glucoza 5% 0,4 & 1,2 mg/ml 20°C-25°C In prezenta sau absenta luminii
5 Ziua
1865
Nivel de evidență B

polietilen Glucoza 5% 0,4 & 1,2 mg/ml 25°C In prezenta sau absenta luminii
5 Ziua
1520
Documentele de stabilitate ale producătorului

polietilen Glucoza 5% 0,4 & 1,2 mg/ml 4°C Neprecizat
5 Ziua
1520
Documentele de stabilitate ale producătorului

polietilen Glucoza 5% 0,4 & 1,2 mg/ml 4°C Ferit de lumina
5 Ziua
1865
Nivel de evidență B

polietilen Glucoza 5% 0.3 mg/ml 2-8°C Ferit de lumina
13 Ziua
2172
Nivel de evidență A+

polietilen Glucoza 5% 0.3 & 1.2 mg/ml 25°C Ferit de lumina
3 Ziua
2172
Nivel de evidență A+

polietilen Glucoza 5% 1.2 mg/ml 2-8°C Ferit de lumina
10 Ziua
2172
Nivel de evidență A+

poliolefine clorura de sodiu 0,9% 0,1 & 1 mg/ml 22°C Neprecizat
3 Ziua
157
Nivel de evidență A+

poliolefine clorura de sodiu 0,9% 0,1 & 1 mg/ml 32°C Neprecizat
3 Ziua
157
Nivel de evidență A+

poliolefine clorura de sodiu 0,9% 0,1 & 1 mg/ml 4°C Ferit de lumina
3 Ziua
157
Nivel de evidență A+

poliolefine clorura de sodiu 0,9% 0,3 mg/ml 5°C Ferit de lumina
28 Ziua
2174
Nivel de evidență A+

poliolefine clorura de sodiu 0,9% 0,3 & 0,75 mg/ml 25°C Ferit de lumina
6 Ziua
2174
Nivel de evidență A+

poliolefine clorura de sodiu 0,9% 0,3 & 1,2 mg/ml 20°C-23°C Lumina
48 Ora
669
Nivel de evidență A

poliolefine clorura de sodiu 0,9% 0,3 & 1,2 mg/ml 25°C Ferit de lumina
72 Ora
1522
Documentele de stabilitate ale producătorului

poliolefine clorura de sodiu 0,9% 0,3 &1,2 mg/ml 4°C Ferit de lumina
72 Ora
2014
Nivel de evidență C

poliolefine clorura de sodiu 0,9% 0,3 >>1,2 mg/ml 30°C Ferit de lumina
4 Ziua
173
Nivel de evidență A

poliolefine clorura de sodiu 0,9% 0,6 mg/ml 20°C-23°C Neprecizat
25 Ora
412
Nivel de evidență A

poliolefine clorura de sodiu 0,9% 0,75 mg/ml 5°C Ferit de lumina
16 Ziua
2174
Nivel de evidență A+

poliolefine clorura de sodiu 0,9% 0.3 > 1.2 mg/ml 25°C Lumina
72 Ora
1956
Documentele de stabilitate ale producătorului

poliolefine clorura de sodiu 0,9% 0.3 > 1.2 mg/ml 5°C Ferit de lumina
28 Ziua
1956
Documentele de stabilitate ale producătorului

poliolefine clorura de sodiu 0,9% 1,2 mg/ml 20°C-23°C Neprecizat
25 Ora
412
Nivel de evidență A

poliolefine clorura de sodiu 0,9% 1,2 mg/ml 25°C Ferit de lumina
4 Ziua
2174
Nivel de evidență A+

poliolefine clorura de sodiu 0,9% 1,2 mg/ml 5°C Ferit de lumina
12 Ziua
2174
Nivel de evidență A+

poliolefine Glucoza 5% 0,1 & 1 mg/ml 22°C Neprecizat
3 Ziua
157
Nivel de evidență A+

poliolefine Glucoza 5% 0,1 & 1 mg/ml 32°C Neprecizat
3 Ziua
157
Nivel de evidență A+

poliolefine Glucoza 5% 0,1 & 1 mg/ml 4°C Ferit de lumina
3 Ziua
157
Nivel de evidență A+

poliolefine Glucoza 5% 0,3 mg/ml 25°C Ferit de lumina
8 Ziua
2174
Nivel de evidență A+

poliolefine Glucoza 5% 0,3 mg/ml 5°C Ferit de lumina
28 Ziua
2174
Nivel de evidență A+

poliolefine Glucoza 5% 0,3 & 1,2 mg/ml 20°C-23°C Lumina
48 Ora
669
Nivel de evidență A

poliolefine Glucoza 5% 0,3 & 1,2 mg/ml 25°C Ferit de lumina
72 Ora
1522
Documentele de stabilitate ale producătorului

poliolefine Glucoza 5% 0,3 &1,2 mg/ml 4°C Ferit de lumina
72 Ora
2014
Nivel de evidență C

poliolefine Glucoza 5% 0,3 >>1,2 mg/ml 30°C Ferit de lumina
4 Ziua
173
Nivel de evidență A

poliolefine Glucoza 5% 0,6 mg/ml 20°C-23°C Neprecizat
25 Ora
412
Nivel de evidență A

poliolefine Glucoza 5% 0,75 mg/ml 25°C Ferit de lumina
4 Ziua
2174
Nivel de evidență A+

poliolefine Glucoza 5% 0,75 mg/ml 5°C Ferit de lumina
16 Ziua
2174
Nivel de evidență A+

poliolefine Glucoza 5% 0.3 > 1.2 mg/ml 25°C Lumina
72 Ora
1956
Documentele de stabilitate ale producătorului

poliolefine Glucoza 5% 0.3 > 1.2 mg/ml 5°C Ferit de lumina
14 Ziua
1956
Documentele de stabilitate ale producătorului

poliolefine Glucoza 5% 1,2 mg/ml 20°C-23°C Neprecizat
12 Ora
412
Nivel de evidență A

poliolefine Glucoza 5% 1,2 mg/ml 25°C Ferit de lumina
4 Ziua
2174
Nivel de evidență A+

poliolefine Glucoza 5% 1,2 mg/ml 5°C Ferit de lumina
12 Ziua
2174
Nivel de evidență A+


  Mentions Légales