viimane versioon :
27/04/2026
vähiravimite   Paclitaxel  
Süsteravim
Stabiilsus lahustes Stabiilsust mõjutavad tegurid stabiilsust mõjutavad faktorid Sobimatus Manustamis viis Viited pdf
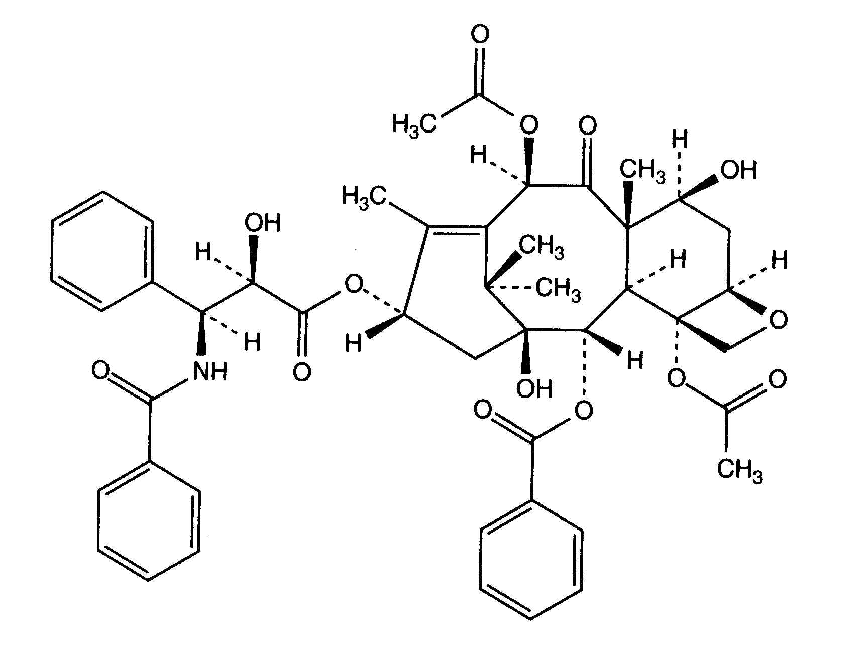
   keemiline struktuur  

Kaubanduslikud nimed erinevates maades   Kaubanduslikud nimed erinevates maades     

Preparaatide nimed on näitlikud ja abianete sisaldus võib erineda sõltuvalt riigist ja laborist

Aclipak Malaisia
Acoexcel Mehhiko
Acupaxil Maroko
Anzatax Araabia Ühendemiraadid, Egiptus, Iraan, Malaisia, Maroko, Maroko, Saudi Araabia, Tuneesia, Türgi, uus-Meremaa
Aritaxel Saksamaa
Cantaxel India
Clitaxel Argentiina, Venetsueela
Dalys Argentiina
Ebetaxel Austria, Iraan, Maroko, Saudi Araabia, Tuneesia, Türgi
Genexol Egiptus, India, Iraan
Onxol Ameerika ühendriigid
Paclinova Argentiina
Paclitaxin Brasiilia, Luksemburg, Malaisia, Sloveenia
Parexel Brasiilia, Ecuador, Kolumbia, Venetsueela
Paxene Hispaania, Holland, Iirimaa, Kreeka, Poola, Taani
Poltaxel Poola
Ribotax Saksamaa
Taxol Araabia Ühendemiraadid, Austria, Brasiilia, Egiptus, Holland, Iraan, Itaalia, Jaapan, Kolumbia, Kreeka, Malaisia, Maroko, Maroko, Poola, Portugal, Rootsi, Sloveenia, Sveits, Taani, Türgi, uus-Meremaa, Venetsueela
Taxomedac Saksamaa
Vitax Brasiilia, Maroko, Türgi
Stabiilsus lahustes   Süsteravim   Stabiilsus lahustes : Paclitaxel     
konteiner lahusti kontsentratsioon temperatuur ladustamine Stabiilsuse kestus Viited
klaas naatriumkloriid 0.9% 0.3 mg/ml 2-8°C kaitsta valguse eest
13 päev
2172
Tõenduspõhisuse tase A+

klaas naatriumkloriid 0.9% 0.3 mg/ml 25°C kaitsta valguse eest
3 päev
2172
Tõenduspõhisuse tase A+

klaas naatriumkloriid 0.9% 1,2 mg/ml 30°C kaitsta valguse eest
4 päev
173
Tõenduspõhisuse tase A

klaas naatriumkloriid 0.9% 1.2 mg/ml 2-8°C kaitsta valguse eest
8 päev
2172
Tõenduspõhisuse tase A+

klaas naatriumkloriid 0.9% 1.2 mg/ml 25°C kaitsta valguse eest
5 päev
2172
Tõenduspõhisuse tase A+

klaas glükoos 5% 0,4 & 1,2 mg/ml 20°C-25°C valgus
5 päev
1865
Tõenduspõhisuse tase B

klaas glükoos 5% 0.3 mg/ml 2-8°C kaitsta valguse eest
20 päev
2172
Tõenduspõhisuse tase A+

klaas glükoos 5% 0.3 & 1.2 mg/ml 25°C kaitsta valguse eest
7 päev
2172
Tõenduspõhisuse tase A+

klaas glükoos 5% 1,2 mg/ml 30°C kaitsta valguse eest
4 päev
173
Tõenduspõhisuse tase A

klaas glükoos 5% 1.2 mg/ml 2-8°C kaitsta valguse eest
8 päev
2172
Tõenduspõhisuse tase A+

polüetüleen naatriumkloriid 0.9% 0.3 mg/ml 2-8°C kaitsta valguse eest
13 päev
2172
Tõenduspõhisuse tase A+

polüetüleen naatriumkloriid 0.9% 0.3 & 1.2 mg/ml 25°C kaitsta valguse eest
3 päev
2172
Tõenduspõhisuse tase A+

polüetüleen naatriumkloriid 0.9% 1.2 mg/ml 2-8°C kaitsta valguse eest
9 päev
2172
Tõenduspõhisuse tase A+

polüetüleen glükoos 5% 0,4 & 1,2 mg/ml 20°C-25°C valgusega või ilma valguseta
5 päev
1865
Tõenduspõhisuse tase B

polüetüleen glükoos 5% 0,4 & 1,2 mg/ml 25°C valgusega või ilma valguseta
5 päev
1520
Tootja info stabiilsuse kohta

polüetüleen glükoos 5% 0,4 & 1,2 mg/ml 4°C pole täpsustatud
5 päev
1520
Tootja info stabiilsuse kohta

polüetüleen glükoos 5% 0,4 & 1,2 mg/ml 4°C kaitsta valguse eest
5 päev
1865
Tõenduspõhisuse tase B

polüetüleen glükoos 5% 0.3 mg/ml 2-8°C kaitsta valguse eest
13 päev
2172
Tõenduspõhisuse tase A+

polüetüleen glükoos 5% 0.3 & 1.2 mg/ml 25°C kaitsta valguse eest
3 päev
2172
Tõenduspõhisuse tase A+

polüetüleen glükoos 5% 1.2 mg/ml 2-8°C kaitsta valguse eest
10 päev
2172
Tõenduspõhisuse tase A+

polüolefiin naatriumkloriid 0.9% 0,1 & 1 mg/ml 22°C pole täpsustatud
3 päev
157
Tõenduspõhisuse tase A+

polüolefiin naatriumkloriid 0.9% 0,1 & 1 mg/ml 32°C pole täpsustatud
3 päev
157
Tõenduspõhisuse tase A+

polüolefiin naatriumkloriid 0.9% 0,1 & 1 mg/ml 4°C kaitsta valguse eest
3 päev
157
Tõenduspõhisuse tase A+

polüolefiin naatriumkloriid 0.9% 0,3 mg/ml 5°C kaitsta valguse eest
28 päev
2174
Tõenduspõhisuse tase A+

polüolefiin naatriumkloriid 0.9% 0,3 & 0,75 mg/ml 25°C kaitsta valguse eest
6 päev
2174
Tõenduspõhisuse tase A+

polüolefiin naatriumkloriid 0.9% 0,3 & 1,2 mg/ml 20°C-23°C valgus
48 Tund
669
Tõenduspõhisuse tase A

polüolefiin naatriumkloriid 0.9% 0,3 & 1,2 mg/ml 25°C kaitsta valguse eest
72 Tund
1522
Tootja info stabiilsuse kohta

polüolefiin naatriumkloriid 0.9% 0,3 &1,2 mg/ml 4°C kaitsta valguse eest
72 Tund
2014
Tõenduspõhisuse tase C

polüolefiin naatriumkloriid 0.9% 0,3 >>1,2 mg/ml 30°C kaitsta valguse eest
4 päev
173
Tõenduspõhisuse tase A

polüolefiin naatriumkloriid 0.9% 0,6 mg/ml 20°C-23°C pole täpsustatud
25 Tund
412
Tõenduspõhisuse tase A

polüolefiin naatriumkloriid 0.9% 0,75 mg/ml 5°C kaitsta valguse eest
16 päev
2174
Tõenduspõhisuse tase A+

polüolefiin naatriumkloriid 0.9% 0.3 > 1.2 mg/ml 25°C valgus
72 Tund
1956
Tootja info stabiilsuse kohta

polüolefiin naatriumkloriid 0.9% 0.3 > 1.2 mg/ml 5°C kaitsta valguse eest
28 päev
1956
Tootja info stabiilsuse kohta

polüolefiin naatriumkloriid 0.9% 1,2 mg/ml 20°C-23°C pole täpsustatud
25 Tund
412
Tõenduspõhisuse tase A

polüolefiin naatriumkloriid 0.9% 1,2 mg/ml 25°C kaitsta valguse eest
4 päev
2174
Tõenduspõhisuse tase A+

polüolefiin naatriumkloriid 0.9% 1,2 mg/ml 5°C kaitsta valguse eest
12 päev
2174
Tõenduspõhisuse tase A+

polüolefiin glükoos 5% 0,1 & 1 mg/ml 22°C pole täpsustatud
3 päev
157
Tõenduspõhisuse tase A+

polüolefiin glükoos 5% 0,1 & 1 mg/ml 32°C pole täpsustatud
3 päev
157
Tõenduspõhisuse tase A+

polüolefiin glükoos 5% 0,1 & 1 mg/ml 4°C kaitsta valguse eest
3 päev
157
Tõenduspõhisuse tase A+

polüolefiin glükoos 5% 0,3 mg/ml 25°C kaitsta valguse eest
8 päev
2174
Tõenduspõhisuse tase A+

polüolefiin glükoos 5% 0,3 mg/ml 5°C kaitsta valguse eest
28 päev
2174
Tõenduspõhisuse tase A+

polüolefiin glükoos 5% 0,3 & 1,2 mg/ml 20°C-23°C valgus
48 Tund
669
Tõenduspõhisuse tase A

polüolefiin glükoos 5% 0,3 & 1,2 mg/ml 25°C kaitsta valguse eest
72 Tund
1522
Tootja info stabiilsuse kohta

polüolefiin glükoos 5% 0,3 &1,2 mg/ml 4°C kaitsta valguse eest
72 Tund
2014
Tõenduspõhisuse tase C

polüolefiin glükoos 5% 0,3 >>1,2 mg/ml 30°C kaitsta valguse eest
4 päev
173
Tõenduspõhisuse tase A

polüolefiin glükoos 5% 0,6 mg/ml 20°C-23°C pole täpsustatud
25 Tund
412
Tõenduspõhisuse tase A

polüolefiin glükoos 5% 0,75 mg/ml 25°C kaitsta valguse eest
4 päev
2174
Tõenduspõhisuse tase A+

polüolefiin glükoos 5% 0,75 mg/ml 5°C kaitsta valguse eest
16 päev
2174
Tõenduspõhisuse tase A+

polüolefiin glükoos 5% 0.3 > 1.2 mg/ml 25°C valgus
72 Tund
1956
Tootja info stabiilsuse kohta

polüolefiin glükoos 5% 0.3 > 1.2 mg/ml 5°C kaitsta valguse eest
14 päev
1956
Tootja info stabiilsuse kohta

polüolefiin glükoos 5% 1,2 mg/ml 20°C-23°C pole täpsustatud
12 Tund
412
Tõenduspõhisuse tase A

polüolefiin glükoos 5% 1,2 mg/ml 25°C kaitsta valguse eest
4 päev
2174
Tõenduspõhisuse tase A+

polüolefiin glükoos 5% 1,2 mg/ml 5°C kaitsta valguse eest
12 päev
2174
Tõenduspõhisuse tase A+


  Mentions Légales