最新更新 :
27/04/2026
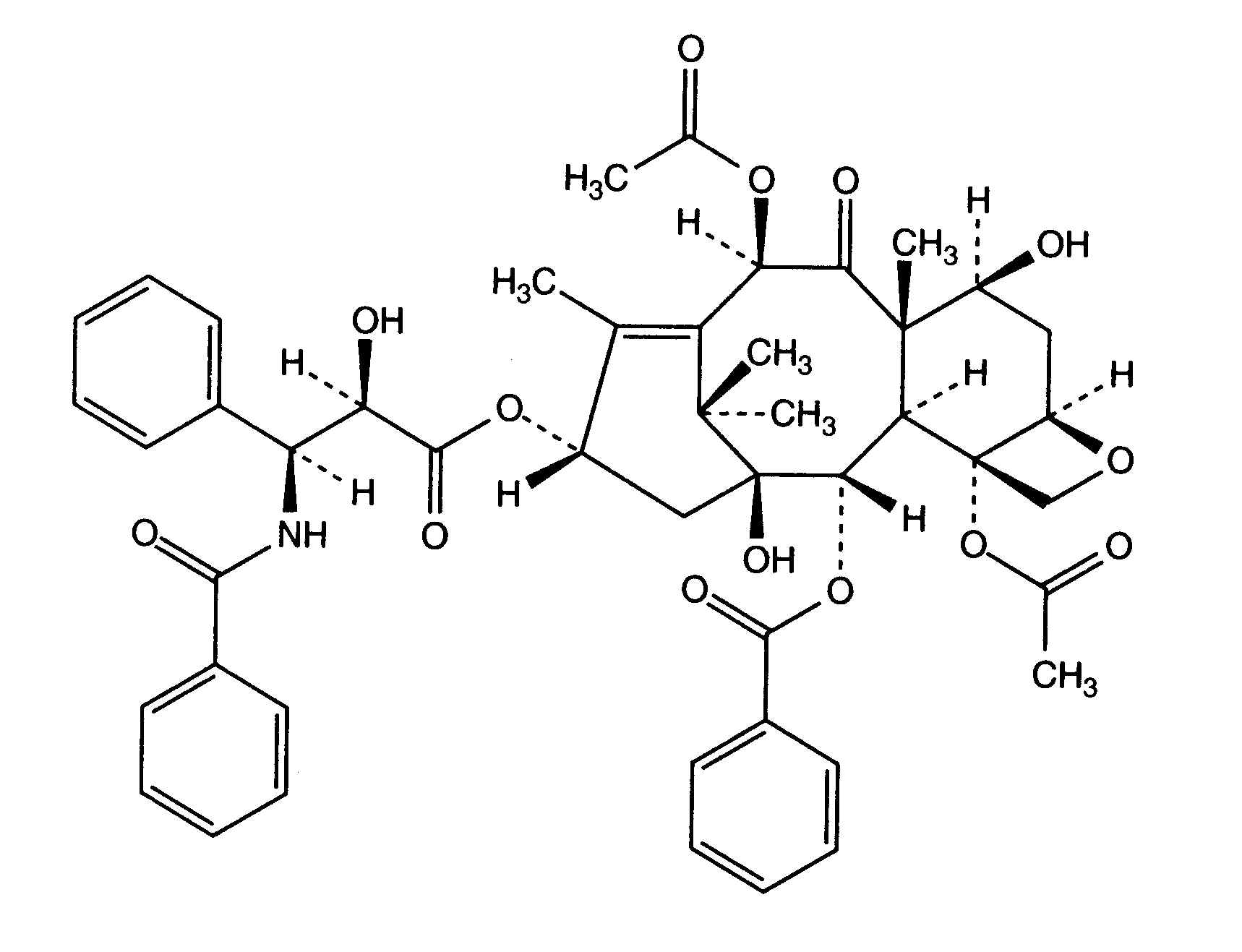
抗癌藥物   Paclitaxel  
注射液
溶液稳定性 混合物稳定性 影响稳定性的因素 兼容性 用药途径 引用文献 PDF
   化学式  

商品名   商品名     

商品名仅供参考, 药品所用的辅料可能依国家或厂商不同有所不同。

Aclipak 马来西亚
Acoexcel 墨西哥
Acupaxil 摩洛哥
Anzatax 伊朗, 土耳其, 埃及, 摩洛哥, 新西蘭, 沙特阿拉伯, 秘鲁, 突尼斯, 阿联酋, 马来西亚
Aritaxel 德国
Cantaxel 印度
Clitaxel 委内瑞拉, 阿根廷
Dalys 阿根廷
Ebetaxel 伊朗, 土耳其, 奥地利, 摩洛哥, 沙特阿拉伯, 突尼斯
Genexol 伊朗, 印度, 埃及
Onxol 美国
Paclinova 阿根廷
Paclitaxin 卢森堡, 巴西, 斯洛文尼亚, 马来西亚
Parexel 厄瓜多尔, 哥伦比亚, 委内瑞拉, 巴西
Paxene 丹麦, 希腊, 波兰, 爱尔兰, 荷兰, 西班牙
Poltaxel 波兰
Ribotax 德国
Taxol 丹麦, 伊朗, 哥伦比亚, 土耳其, 埃及, 奥地利, 委内瑞拉, 巴西, 希腊, 意大利, 摩洛哥, 斯洛文尼亚, 新西蘭, 日本, 波兰, 瑞典, 瑞士, 秘鲁, 荷兰, 葡萄牙, 阿联酋, 马来西亚
Taxomedac 德国
Vitax 土耳其, 巴西, 秘鲁
溶液稳定性   注射液   溶液稳定性 : Paclitaxel     
容器 溶剂 浓度 温度 保存 穩定持續時間 引用文献
玻璃 NaCl 0,9% 0.3 mg/ml 2-8°C 避光
13 白天
2172
A+级

玻璃 NaCl 0,9% 0.3 mg/ml 25°C 避光
3 白天
2172
A+级

玻璃 NaCl 0,9% 1,2 mg/ml 30°C 避光
4 白天
173
A级

玻璃 NaCl 0,9% 1.2 mg/ml 2-8°C 避光
8 白天
2172
A+级

玻璃 NaCl 0,9% 1.2 mg/ml 25°C 避光
5 白天
2172
A+级

玻璃 葡萄糖5% 0,4 & 1,2 mg/ml 20°C-25°C 光
5 白天
1865
B级

玻璃 葡萄糖5% 0.3 mg/ml 2-8°C 避光
20 白天
2172
A+级

玻璃 葡萄糖5% 0.3 & 1.2 mg/ml 25°C 避光
7 白天
2172
A+级

玻璃 葡萄糖5% 1,2 mg/ml 30°C 避光
4 白天
173
A级

玻璃 葡萄糖5% 1.2 mg/ml 2-8°C 避光
8 白天
2172
A+级

聚乙烯 NaCl 0,9% 0.3 mg/ml 2-8°C 避光
13 白天
2172
A+级

聚乙烯 NaCl 0,9% 0.3 & 1.2 mg/ml 25°C 避光
3 白天
2172
A+级

聚乙烯 NaCl 0,9% 1.2 mg/ml 2-8°C 避光
9 白天
2172
A+级

聚乙烯 葡萄糖5% 0,4 & 1,2 mg/ml 20°C-25°C 光/避光
5 白天
1865
B级

聚乙烯 葡萄糖5% 0,4 & 1,2 mg/ml 25°C 光/避光
5 白天
1520
生产厂家提供的稳定性数据

聚乙烯 葡萄糖5% 0,4 & 1,2 mg/ml 4°C 无特殊要求
5 白天
1520
生产厂家提供的稳定性数据

聚乙烯 葡萄糖5% 0,4 & 1,2 mg/ml 4°C 避光
5 白天
1865
B级

聚乙烯 葡萄糖5% 0.3 mg/ml 2-8°C 避光
13 白天
2172
A+级

聚乙烯 葡萄糖5% 0.3 & 1.2 mg/ml 25°C 避光
3 白天
2172
A+级

聚乙烯 葡萄糖5% 1.2 mg/ml 2-8°C 避光
10 白天
2172
A+级

聚烯烃 NaCl 0,9% 0,1 & 1 mg/ml 22°C 无特殊要求
3 白天
157
A+级

聚烯烃 NaCl 0,9% 0,1 & 1 mg/ml 32°C 无特殊要求
3 白天
157
A+级

聚烯烃 NaCl 0,9% 0,1 & 1 mg/ml 4°C 避光
3 白天
157
A+级

聚烯烃 NaCl 0,9% 0,3 mg/ml 5°C 避光
28 白天
2174
A+级

聚烯烃 NaCl 0,9% 0,3 & 0,75 mg/ml 25°C 避光
6 白天
2174
A+级

聚烯烃 NaCl 0,9% 0,3 & 1,2 mg/ml 20°C-23°C 光
48 小时
669
A级

聚烯烃 NaCl 0,9% 0,3 & 1,2 mg/ml 25°C 避光
72 小时
1522
生产厂家提供的稳定性数据

聚烯烃 NaCl 0,9% 0,3 &1,2 mg/ml 4°C 避光
72 小时
2014
C级

聚烯烃 NaCl 0,9% 0,3 >>1,2 mg/ml 30°C 避光
4 白天
173
A级

聚烯烃 NaCl 0,9% 0,6 mg/ml 20°C-23°C 无特殊要求
25 小时
412
A级

聚烯烃 NaCl 0,9% 0,75 mg/ml 5°C 避光
16 白天
2174
A+级

聚烯烃 NaCl 0,9% 0.3 > 1.2 mg/ml 25°C 光
72 小时
1956
生产厂家提供的稳定性数据

聚烯烃 NaCl 0,9% 0.3 > 1.2 mg/ml 5°C 避光
28 白天
1956
生产厂家提供的稳定性数据

聚烯烃 NaCl 0,9% 1,2 mg/ml 20°C-23°C 无特殊要求
25 小时
412
A级

聚烯烃 NaCl 0,9% 1,2 mg/ml 25°C 避光
4 白天
2174
A+级

聚烯烃 NaCl 0,9% 1,2 mg/ml 5°C 避光
12 白天
2174
A+级

聚烯烃 葡萄糖5% 0,1 & 1 mg/ml 22°C 无特殊要求
3 白天
157
A+级

聚烯烃 葡萄糖5% 0,1 & 1 mg/ml 32°C 无特殊要求
3 白天
157
A+级

聚烯烃 葡萄糖5% 0,1 & 1 mg/ml 4°C 避光
3 白天
157
A+级

聚烯烃 葡萄糖5% 0,3 mg/ml 25°C 避光
8 白天
2174
A+级

聚烯烃 葡萄糖5% 0,3 mg/ml 5°C 避光
28 白天
2174
A+级

聚烯烃 葡萄糖5% 0,3 & 1,2 mg/ml 20°C-23°C 光
48 小时
669
A级

聚烯烃 葡萄糖5% 0,3 & 1,2 mg/ml 25°C 避光
72 小时
1522
生产厂家提供的稳定性数据

聚烯烃 葡萄糖5% 0,3 &1,2 mg/ml 4°C 避光
72 小时
2014
C级

聚烯烃 葡萄糖5% 0,3 >>1,2 mg/ml 30°C 避光
4 白天
173
A级

聚烯烃 葡萄糖5% 0,6 mg/ml 20°C-23°C 无特殊要求
25 小时
412
A级

聚烯烃 葡萄糖5% 0,75 mg/ml 25°C 避光
4 白天
2174
A+级

聚烯烃 葡萄糖5% 0,75 mg/ml 5°C 避光
16 白天
2174
A+级

聚烯烃 葡萄糖5% 0.3 > 1.2 mg/ml 25°C 光
72 小时
1956
生产厂家提供的稳定性数据

聚烯烃 葡萄糖5% 0.3 > 1.2 mg/ml 5°C 避光
14 白天
1956
生产厂家提供的稳定性数据

聚烯烃 葡萄糖5% 1,2 mg/ml 20°C-23°C 无特殊要求
12 小时
412
A级

聚烯烃 葡萄糖5% 1,2 mg/ml 25°C 避光
4 白天
2174
A+级

聚烯烃 葡萄糖5% 1,2 mg/ml 5°C 避光
12 白天
2174
A+级


  Mentions Légales