Ostatnia aktualizacja :
27/04/2026
Lek cytostatyk   Paclitaxel  
Injekcje
Trwałość roztworów Trwałość w mieszaninie Czynnik wpływający na trwałość Zgodność Sposób podania Bibliografia pdf
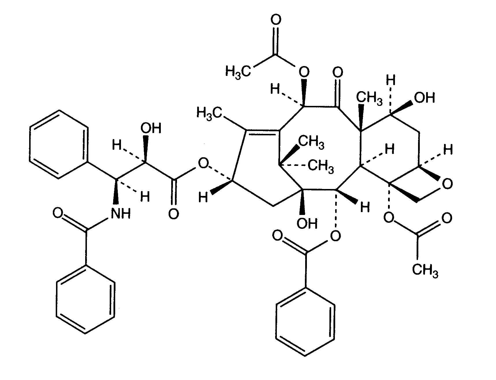
   Struktura chemiczna  

Nazwa handlowa   Nazwa handlowa     

Trade names are indicative and excipients composition can be different depending on the country and manufacturers

Aclipak Malezja
Acoexcel Meksyk
Acupaxil Maroko
Anzatax Arabia Saudyjska, Egipt, Iran, Malezja, Maroko, nowa Zelandia, Peru, Tunisie, Turcja, Zjednoczone Emiraty Arabskie
Aritaxel Niemcy
Cantaxel Indie
Clitaxel Argentyna, Wenezuela
Dalys Argentyna
Ebetaxel Arabia Saudyjska, Austria, Iran, Maroko, Tunisie, Turcja
Genexol Egipt, Indie, Iran
Onxol Stany Zjednoczone Ameryki
Paclinova Argentyna
Paclitaxin Brazylia, Luksemburg, Malezja, Słowenia
Parexel Brazylia, Ekwador, KolumbiaKolumbia, Wenezuela
Paxene Dania, Grecja, Hiszpania, Holandia, Irlandia, Polska
Poltaxel Polska
Ribotax Niemcy
Taxol Austria, Brazylia, Dania, Egipt, Grecja, Holandia, Iran, Japonia, KolumbiaKolumbia, Malezja, Maroko, nowa Zelandia, Peru, Polska, Portugalia, Szwajcaria, Szwecja, Słowenia, Turcja, Wenezuela, Włochy, Zjednoczone Emiraty Arabskie
Taxomedac Niemcy
Vitax Brazylia, Peru, Turcja
Trwałość roztworów   Injekcje   Trwałość roztworów : Paclitaxel     
Pojemnik Rozpuszczalnik Stężenie Temperatura Przechowywanie Czas trwania stabilności Bibliografia
Szkło Chlorek sodu 0,9% 0.3 mg/ml 2-8°C Chronić od światła
13 Dzień
2172
Poziom wiarygodności A+

Szkło Chlorek sodu 0,9% 0.3 mg/ml 25°C Chronić od światła
3 Dzień
2172
Poziom wiarygodności A+

Szkło Chlorek sodu 0,9% 1,2 mg/ml 30°C Chronić od światła
4 Dzień
173
Poziom wiarygodności A

Szkło Chlorek sodu 0,9% 1.2 mg/ml 2-8°C Chronić od światła
8 Dzień
2172
Poziom wiarygodności A+

Szkło Chlorek sodu 0,9% 1.2 mg/ml 25°C Chronić od światła
5 Dzień
2172
Poziom wiarygodności A+

Szkło Glukoza 5% 0,4 & 1,2 mg/ml 20°C-25°C światło
5 Dzień
1865
Poziom wiarygodności B

Szkło Glukoza 5% 0.3 mg/ml 2-8°C Chronić od światła
20 Dzień
2172
Poziom wiarygodności A+

Szkło Glukoza 5% 0.3 & 1.2 mg/ml 25°C Chronić od światła
7 Dzień
2172
Poziom wiarygodności A+

Szkło Glukoza 5% 1,2 mg/ml 30°C Chronić od światła
4 Dzień
173
Poziom wiarygodności A

Szkło Glukoza 5% 1.2 mg/ml 2-8°C Chronić od światła
8 Dzień
2172
Poziom wiarygodności A+

Polietylen Chlorek sodu 0,9% 0.3 mg/ml 2-8°C Chronić od światła
13 Dzień
2172
Poziom wiarygodności A+

Polietylen Chlorek sodu 0,9% 0.3 & 1.2 mg/ml 25°C Chronić od światła
3 Dzień
2172
Poziom wiarygodności A+

Polietylen Chlorek sodu 0,9% 1.2 mg/ml 2-8°C Chronić od światła
9 Dzień
2172
Poziom wiarygodności A+

Polietylen Glukoza 5% 0,4 & 1,2 mg/ml 20°C-25°C Przy świetle lub w ciemności
5 Dzień
1865
Poziom wiarygodności B

Polietylen Glukoza 5% 0,4 & 1,2 mg/ml 25°C Przy świetle lub w ciemności
5 Dzień
1520
Dane stabilności producenta

Polietylen Glukoza 5% 0,4 & 1,2 mg/ml 4°C Nie wyszczególniony
5 Dzień
1520
Dane stabilności producenta

Polietylen Glukoza 5% 0,4 & 1,2 mg/ml 4°C Chronić od światła
5 Dzień
1865
Poziom wiarygodności B

Polietylen Glukoza 5% 0.3 mg/ml 2-8°C Chronić od światła
13 Dzień
2172
Poziom wiarygodności A+

Polietylen Glukoza 5% 0.3 & 1.2 mg/ml 25°C Chronić od światła
3 Dzień
2172
Poziom wiarygodności A+

Polietylen Glukoza 5% 1.2 mg/ml 2-8°C Chronić od światła
10 Dzień
2172
Poziom wiarygodności A+

Poliolefina Chlorek sodu 0,9% 0,1 & 1 mg/ml 22°C Nie wyszczególniony
3 Dzień
157
Poziom wiarygodności A+

Poliolefina Chlorek sodu 0,9% 0,1 & 1 mg/ml 32°C Nie wyszczególniony
3 Dzień
157
Poziom wiarygodności A+

Poliolefina Chlorek sodu 0,9% 0,1 & 1 mg/ml 4°C Chronić od światła
3 Dzień
157
Poziom wiarygodności A+

Poliolefina Chlorek sodu 0,9% 0,3 mg/ml 5°C Chronić od światła
28 Dzień
2174
Poziom wiarygodności A+

Poliolefina Chlorek sodu 0,9% 0,3 & 0,75 mg/ml 25°C Chronić od światła
6 Dzień
2174
Poziom wiarygodności A+

Poliolefina Chlorek sodu 0,9% 0,3 & 1,2 mg/ml 20°C-23°C światło
48 Godzina
669
Poziom wiarygodności A

Poliolefina Chlorek sodu 0,9% 0,3 & 1,2 mg/ml 25°C Chronić od światła
72 Godzina
1522
Dane stabilności producenta

Poliolefina Chlorek sodu 0,9% 0,3 &1,2 mg/ml 4°C Chronić od światła
72 Godzina
2014
Poziom wiarygodności C

Poliolefina Chlorek sodu 0,9% 0,3 >>1,2 mg/ml 30°C Chronić od światła
4 Dzień
173
Poziom wiarygodności A

Poliolefina Chlorek sodu 0,9% 0,6 mg/ml 20°C-23°C Nie wyszczególniony
25 Godzina
412
Poziom wiarygodności A

Poliolefina Chlorek sodu 0,9% 0,75 mg/ml 5°C Chronić od światła
16 Dzień
2174
Poziom wiarygodności A+

Poliolefina Chlorek sodu 0,9% 0.3 > 1.2 mg/ml 25°C światło
72 Godzina
1956
Dane stabilności producenta

Poliolefina Chlorek sodu 0,9% 0.3 > 1.2 mg/ml 5°C Chronić od światła
28 Dzień
1956
Dane stabilności producenta

Poliolefina Chlorek sodu 0,9% 1,2 mg/ml 20°C-23°C Nie wyszczególniony
25 Godzina
412
Poziom wiarygodności A

Poliolefina Chlorek sodu 0,9% 1,2 mg/ml 25°C Chronić od światła
4 Dzień
2174
Poziom wiarygodności A+

Poliolefina Chlorek sodu 0,9% 1,2 mg/ml 5°C Chronić od światła
12 Dzień
2174
Poziom wiarygodności A+

Poliolefina Glukoza 5% 0,1 & 1 mg/ml 22°C Nie wyszczególniony
3 Dzień
157
Poziom wiarygodności A+

Poliolefina Glukoza 5% 0,1 & 1 mg/ml 32°C Nie wyszczególniony
3 Dzień
157
Poziom wiarygodności A+

Poliolefina Glukoza 5% 0,1 & 1 mg/ml 4°C Chronić od światła
3 Dzień
157
Poziom wiarygodności A+

Poliolefina Glukoza 5% 0,3 mg/ml 25°C Chronić od światła
8 Dzień
2174
Poziom wiarygodności A+

Poliolefina Glukoza 5% 0,3 mg/ml 5°C Chronić od światła
28 Dzień
2174
Poziom wiarygodności A+

Poliolefina Glukoza 5% 0,3 & 1,2 mg/ml 20°C-23°C światło
48 Godzina
669
Poziom wiarygodności A

Poliolefina Glukoza 5% 0,3 & 1,2 mg/ml 25°C Chronić od światła
72 Godzina
1522
Dane stabilności producenta

Poliolefina Glukoza 5% 0,3 &1,2 mg/ml 4°C Chronić od światła
72 Godzina
2014
Poziom wiarygodności C

Poliolefina Glukoza 5% 0,3 >>1,2 mg/ml 30°C Chronić od światła
4 Dzień
173
Poziom wiarygodności A

Poliolefina Glukoza 5% 0,6 mg/ml 20°C-23°C Nie wyszczególniony
25 Godzina
412
Poziom wiarygodności A

Poliolefina Glukoza 5% 0,75 mg/ml 25°C Chronić od światła
4 Dzień
2174
Poziom wiarygodności A+

Poliolefina Glukoza 5% 0,75 mg/ml 5°C Chronić od światła
16 Dzień
2174
Poziom wiarygodności A+

Poliolefina Glukoza 5% 0.3 > 1.2 mg/ml 25°C światło
72 Godzina
1956
Dane stabilności producenta

Poliolefina Glukoza 5% 0.3 > 1.2 mg/ml 5°C Chronić od światła
14 Dzień
1956
Dane stabilności producenta

Poliolefina Glukoza 5% 1,2 mg/ml 20°C-23°C Nie wyszczególniony
12 Godzina
412
Poziom wiarygodności A

Poliolefina Glukoza 5% 1,2 mg/ml 25°C Chronić od światła
4 Dzień
2174
Poziom wiarygodności A+

Poliolefina Glukoza 5% 1,2 mg/ml 5°C Chronić od światła
12 Dzień
2174
Poziom wiarygodności A+


  Mentions Légales