Senaste uppdateringen :
27/04/2026
cancerläkemedel   Paclitaxel  
injektion
Lösningars stabilitet Stabilitet i blandningar Faktorer som påverkar stabiliteten Kompatibilitet Administreringssätt Hänvisningar pdf
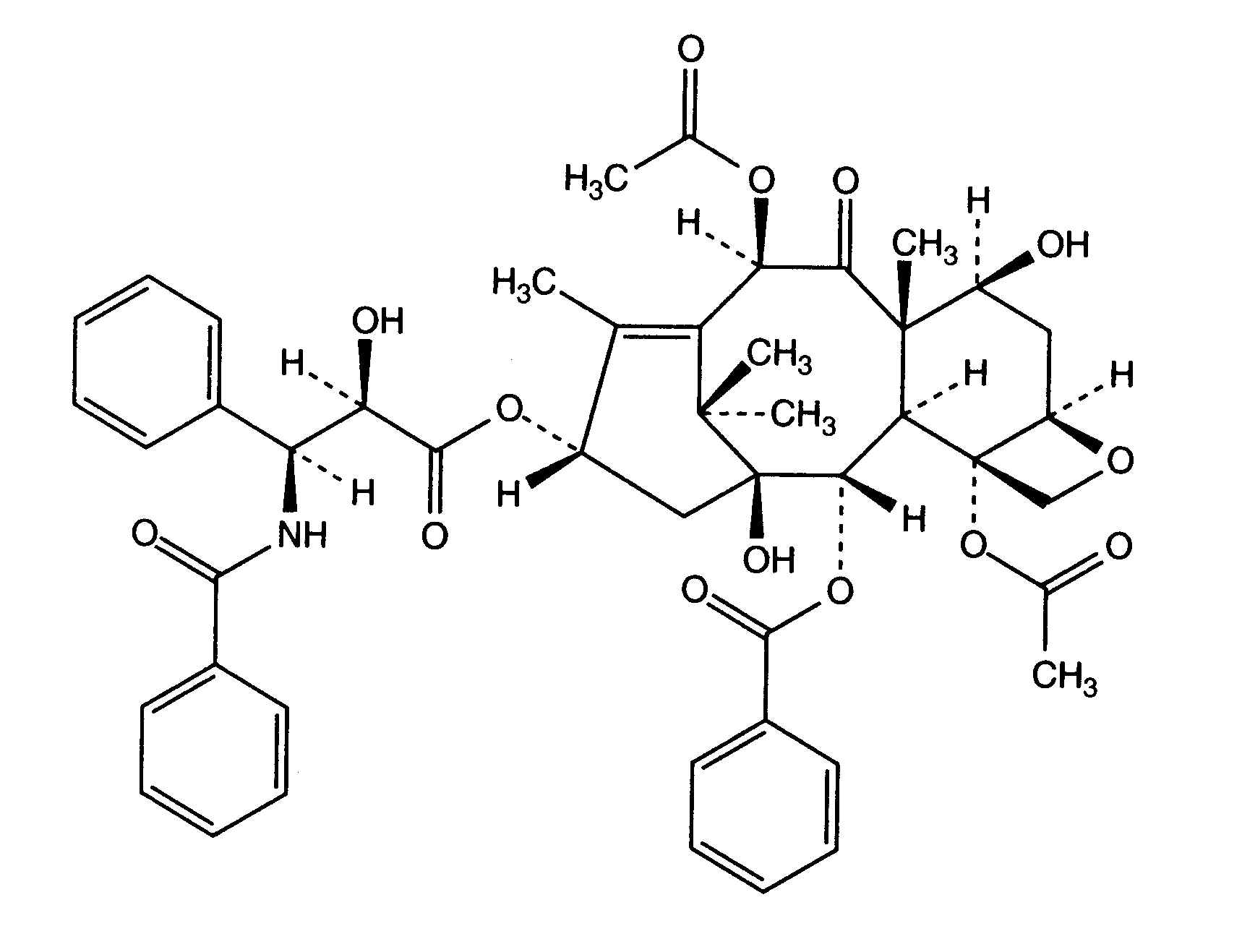
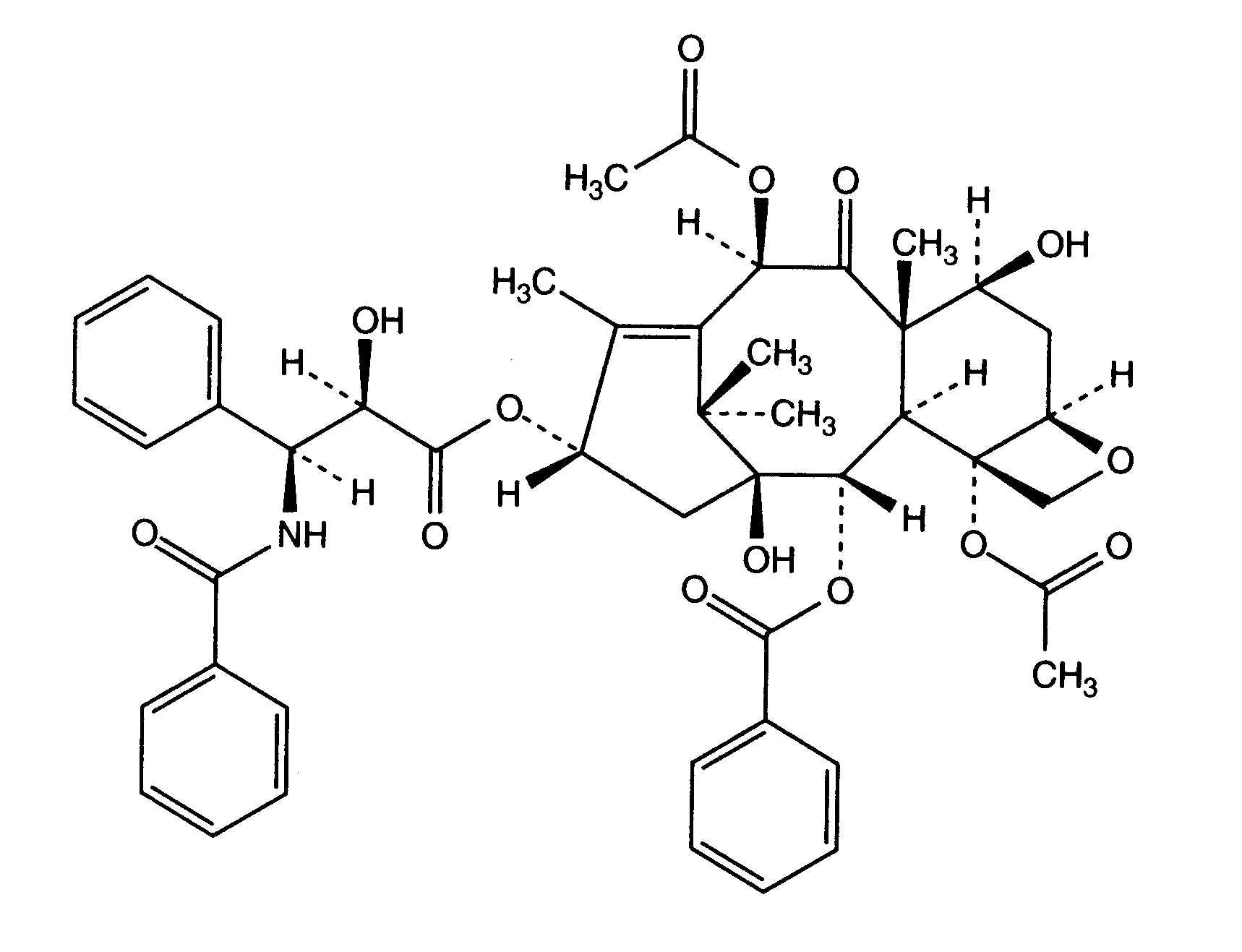
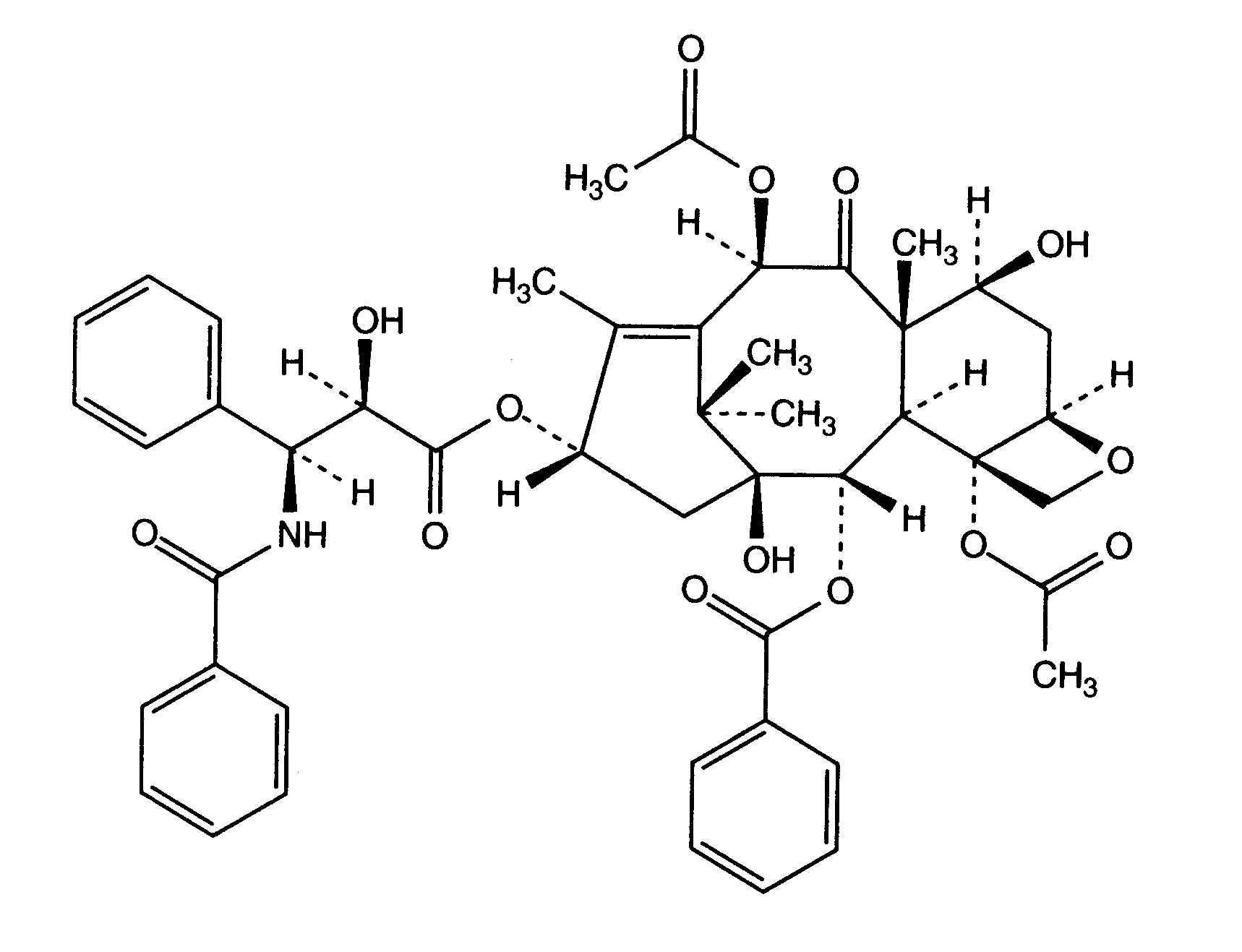
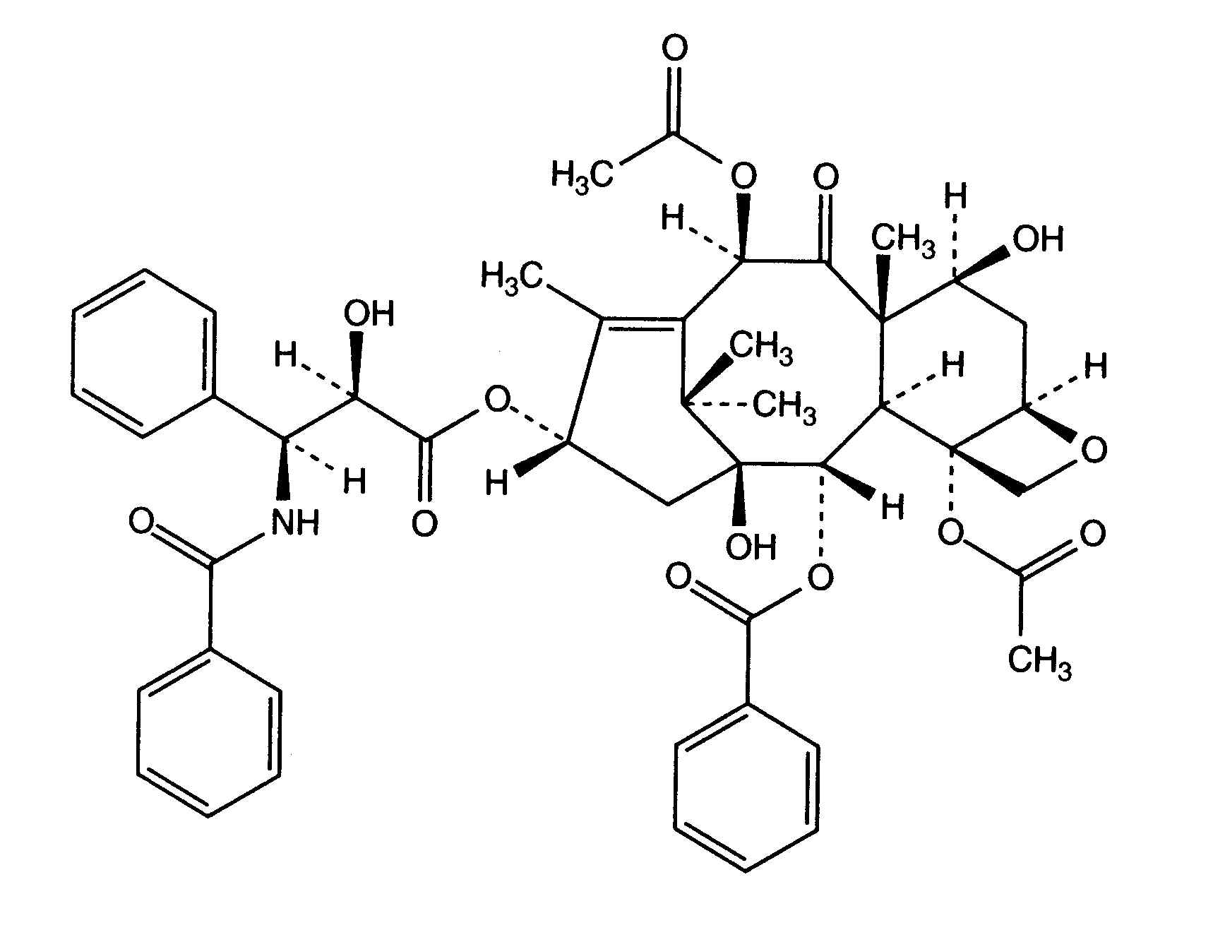
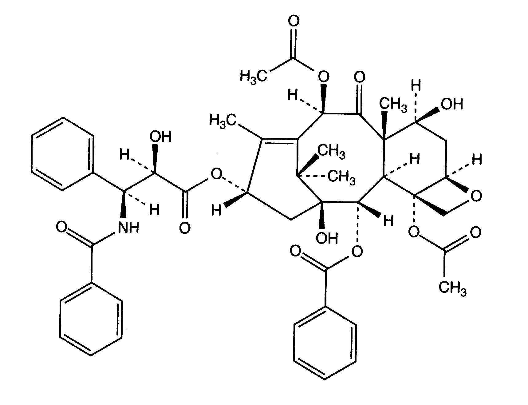
   Molekylstruktur  

Varunamn   Varunamn     

Angivna handelsnamn på läkemedel är enbart vägledande då formulering inklusive hjälpämnen kan variera mellan länder och tillverkare

Aclipak Malaysia
Acoexcel Mexiko
Acupaxil Marocko
Anzatax Egypten, Förenade Arabemiraten, Iran, Malaysia, Marocko, nya Zeeland, Peru, Saudi-Arabien, Tunisien, Turkiet
Aritaxel Tyskland
Cantaxel Indien
Clitaxel Argentina, Venezuela
Dalys Argentina
Ebetaxel Iran, Marocko, Österrike, Saudi-Arabien, Tunisien, Turkiet
Genexol Egypten, Indien, Iran
Onxol Förenta Staterna
Paclinova Argentina
Paclitaxin Brasilien, Luxemburg, Malaysia, Slovenien
Parexel Brasilien, Colombia, Ecuador, Venezuela
Paxene Danmark, Grekland, Irland, Nederländerna, Polen, Spanien
Poltaxel Polen
Ribotax Tyskland
Taxol Brasilien, Colombia, Danmark, Egypten, Förenade Arabemiraten, Grekland, Iran, Italien, Japan, Malaysia, Marocko, Nederländerna, nya Zeeland, Österrike, Peru, Polen, Portugal, Schweiz, Slovenien, Sverige, Turkiet, Venezuela
Taxomedac Tyskland
Vitax Brasilien, Peru, Turkiet
Lösningars stabilitet   injektion   Lösningars stabilitet : Paclitaxel     
Behållare Lösningsmedel Koncentration Temperatur Förvaring Stabilitets varaktighet Hänvisningar
Glas Natriumklorid 0,9 % 0.3 mg/ml 2-8°C Skyddas från ljus
13 Dag
2172
Evidensnivå A+

Glas Natriumklorid 0,9 % 0.3 mg/ml 25°C Skyddas från ljus
3 Dag
2172
Evidensnivå A+

Glas Natriumklorid 0,9 % 1,2 mg/ml 30°C Skyddas från ljus
4 Dag
173
Evidensnivå A

Glas Natriumklorid 0,9 % 1.2 mg/ml 2-8°C Skyddas från ljus
8 Dag
2172
Evidensnivå A+

Glas Natriumklorid 0,9 % 1.2 mg/ml 25°C Skyddas från ljus
5 Dag
2172
Evidensnivå A+

Glas Glukos 5 % 0,4 & 1,2 mg/ml 20°C-25°C Ljus
5 Dag
1865
Evidensnivå B

Glas Glukos 5 % 0.3 mg/ml 2-8°C Skyddas från ljus
20 Dag
2172
Evidensnivå A+

Glas Glukos 5 % 0.3 & 1.2 mg/ml 25°C Skyddas från ljus
7 Dag
2172
Evidensnivå A+

Glas Glukos 5 % 1,2 mg/ml 30°C Skyddas från ljus
4 Dag
173
Evidensnivå A

Glas Glukos 5 % 1.2 mg/ml 2-8°C Skyddas från ljus
8 Dag
2172
Evidensnivå A+

Polyetylen Natriumklorid 0,9 % 0.3 mg/ml 2-8°C Skyddas från ljus
13 Dag
2172
Evidensnivå A+

Polyetylen Natriumklorid 0,9 % 0.3 & 1.2 mg/ml 25°C Skyddas från ljus
3 Dag
2172
Evidensnivå A+

Polyetylen Natriumklorid 0,9 % 1.2 mg/ml 2-8°C Skyddas från ljus
9 Dag
2172
Evidensnivå A+

Polyetylen Glukos 5 % 0,4 & 1,2 mg/ml 20°C-25°C Med eller utan ljus
5 Dag
1865
Evidensnivå B

Polyetylen Glukos 5 % 0,4 & 1,2 mg/ml 25°C Med eller utan ljus
5 Dag
1520
Tillverkarens stabilitetsuppgifter

Polyetylen Glukos 5 % 0,4 & 1,2 mg/ml 4°C Ej angiven
5 Dag
1520
Tillverkarens stabilitetsuppgifter

Polyetylen Glukos 5 % 0,4 & 1,2 mg/ml 4°C Skyddas från ljus
5 Dag
1865
Evidensnivå B

Polyetylen Glukos 5 % 0.3 mg/ml 2-8°C Skyddas från ljus
13 Dag
2172
Evidensnivå A+

Polyetylen Glukos 5 % 0.3 & 1.2 mg/ml 25°C Skyddas från ljus
3 Dag
2172
Evidensnivå A+

Polyetylen Glukos 5 % 1.2 mg/ml 2-8°C Skyddas från ljus
10 Dag
2172
Evidensnivå A+

Polyolefin Natriumklorid 0,9 % 0,1 & 1 mg/ml 22°C Ej angiven
3 Dag
157
Evidensnivå A+

Polyolefin Natriumklorid 0,9 % 0,1 & 1 mg/ml 32°C Ej angiven
3 Dag
157
Evidensnivå A+

Polyolefin Natriumklorid 0,9 % 0,1 & 1 mg/ml 4°C Skyddas från ljus
3 Dag
157
Evidensnivå A+

Polyolefin Natriumklorid 0,9 % 0,3 mg/ml 5°C Skyddas från ljus
28 Dag
2174
Evidensnivå A+

Polyolefin Natriumklorid 0,9 % 0,3 & 0,75 mg/ml 25°C Skyddas från ljus
6 Dag
2174
Evidensnivå A+

Polyolefin Natriumklorid 0,9 % 0,3 & 1,2 mg/ml 20°C-23°C Ljus
48 Timma
669
Evidensnivå A

Polyolefin Natriumklorid 0,9 % 0,3 & 1,2 mg/ml 25°C Skyddas från ljus
72 Timma
1522
Tillverkarens stabilitetsuppgifter

Polyolefin Natriumklorid 0,9 % 0,3 &1,2 mg/ml 4°C Skyddas från ljus
72 Timma
2014
Evidensnivå C

Polyolefin Natriumklorid 0,9 % 0,3 >>1,2 mg/ml 30°C Skyddas från ljus
4 Dag
173
Evidensnivå A

Polyolefin Natriumklorid 0,9 % 0,6 mg/ml 20°C-23°C Ej angiven
25 Timma
412
Evidensnivå A

Polyolefin Natriumklorid 0,9 % 0,75 mg/ml 5°C Skyddas från ljus
16 Dag
2174
Evidensnivå A+

Polyolefin Natriumklorid 0,9 % 0.3 > 1.2 mg/ml 25°C Ljus
72 Timma
1956
Tillverkarens stabilitetsuppgifter

Polyolefin Natriumklorid 0,9 % 0.3 > 1.2 mg/ml 5°C Skyddas från ljus
28 Dag
1956
Tillverkarens stabilitetsuppgifter

Polyolefin Natriumklorid 0,9 % 1,2 mg/ml 20°C-23°C Ej angiven
25 Timma
412
Evidensnivå A

Polyolefin Natriumklorid 0,9 % 1,2 mg/ml 25°C Skyddas från ljus
4 Dag
2174
Evidensnivå A+

Polyolefin Natriumklorid 0,9 % 1,2 mg/ml 5°C Skyddas från ljus
12 Dag
2174
Evidensnivå A+

Polyolefin Glukos 5 % 0,1 & 1 mg/ml 22°C Ej angiven
3 Dag
157
Evidensnivå A+

Polyolefin Glukos 5 % 0,1 & 1 mg/ml 32°C Ej angiven
3 Dag
157
Evidensnivå A+

Polyolefin Glukos 5 % 0,1 & 1 mg/ml 4°C Skyddas från ljus
3 Dag
157
Evidensnivå A+

Polyolefin Glukos 5 % 0,3 mg/ml 25°C Skyddas från ljus
8 Dag
2174
Evidensnivå A+

Polyolefin Glukos 5 % 0,3 mg/ml 5°C Skyddas från ljus
28 Dag
2174
Evidensnivå A+

Polyolefin Glukos 5 % 0,3 & 1,2 mg/ml 20°C-23°C Ljus
48 Timma
669
Evidensnivå A

Polyolefin Glukos 5 % 0,3 & 1,2 mg/ml 25°C Skyddas från ljus
72 Timma
1522
Tillverkarens stabilitetsuppgifter

Polyolefin Glukos 5 % 0,3 &1,2 mg/ml 4°C Skyddas från ljus
72 Timma
2014
Evidensnivå C

Polyolefin Glukos 5 % 0,3 >>1,2 mg/ml 30°C Skyddas från ljus
4 Dag
173
Evidensnivå A

Polyolefin Glukos 5 % 0,6 mg/ml 20°C-23°C Ej angiven
25 Timma
412
Evidensnivå A

Polyolefin Glukos 5 % 0,75 mg/ml 25°C Skyddas från ljus
4 Dag
2174
Evidensnivå A+

Polyolefin Glukos 5 % 0,75 mg/ml 5°C Skyddas från ljus
16 Dag
2174
Evidensnivå A+

Polyolefin Glukos 5 % 0.3 > 1.2 mg/ml 25°C Ljus
72 Timma
1956
Tillverkarens stabilitetsuppgifter

Polyolefin Glukos 5 % 0.3 > 1.2 mg/ml 5°C Skyddas från ljus
14 Dag
1956
Tillverkarens stabilitetsuppgifter

Polyolefin Glukos 5 % 1,2 mg/ml 20°C-23°C Ej angiven
12 Timma
412
Evidensnivå A

Polyolefin Glukos 5 % 1,2 mg/ml 25°C Skyddas från ljus
4 Dag
2174
Evidensnivå A+

Polyolefin Glukos 5 % 1,2 mg/ml 5°C Skyddas från ljus
12 Dag
2174
Evidensnivå A+


  Mentions Légales