Son güncelleme :
27/01/2026
kanser ilaç   Paclitaxel  
Enjeksiyon
Çözeltilerin stabilitesi Karışımlardaki stabilitesi Stabiliteyi etkileyen faktörler Uyumluluk Uygulama yöntemi Kaynaklar pdf
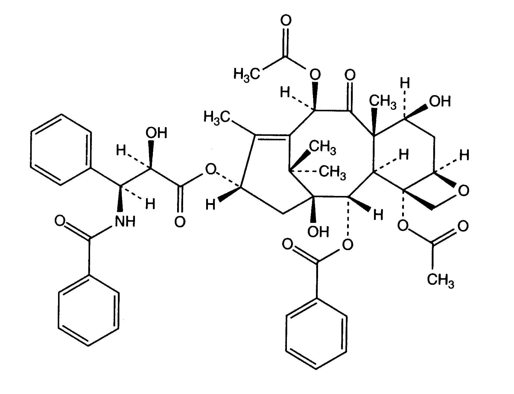
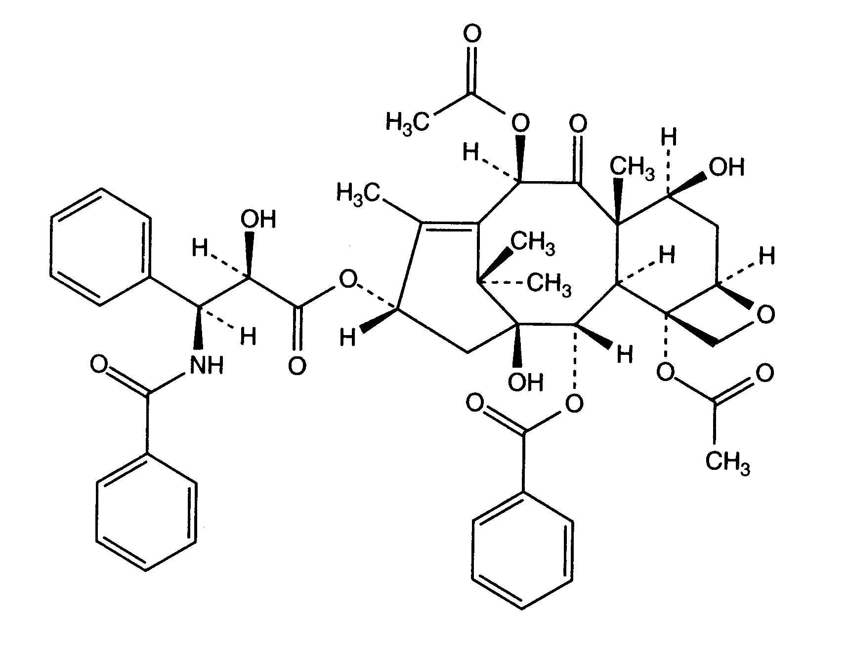
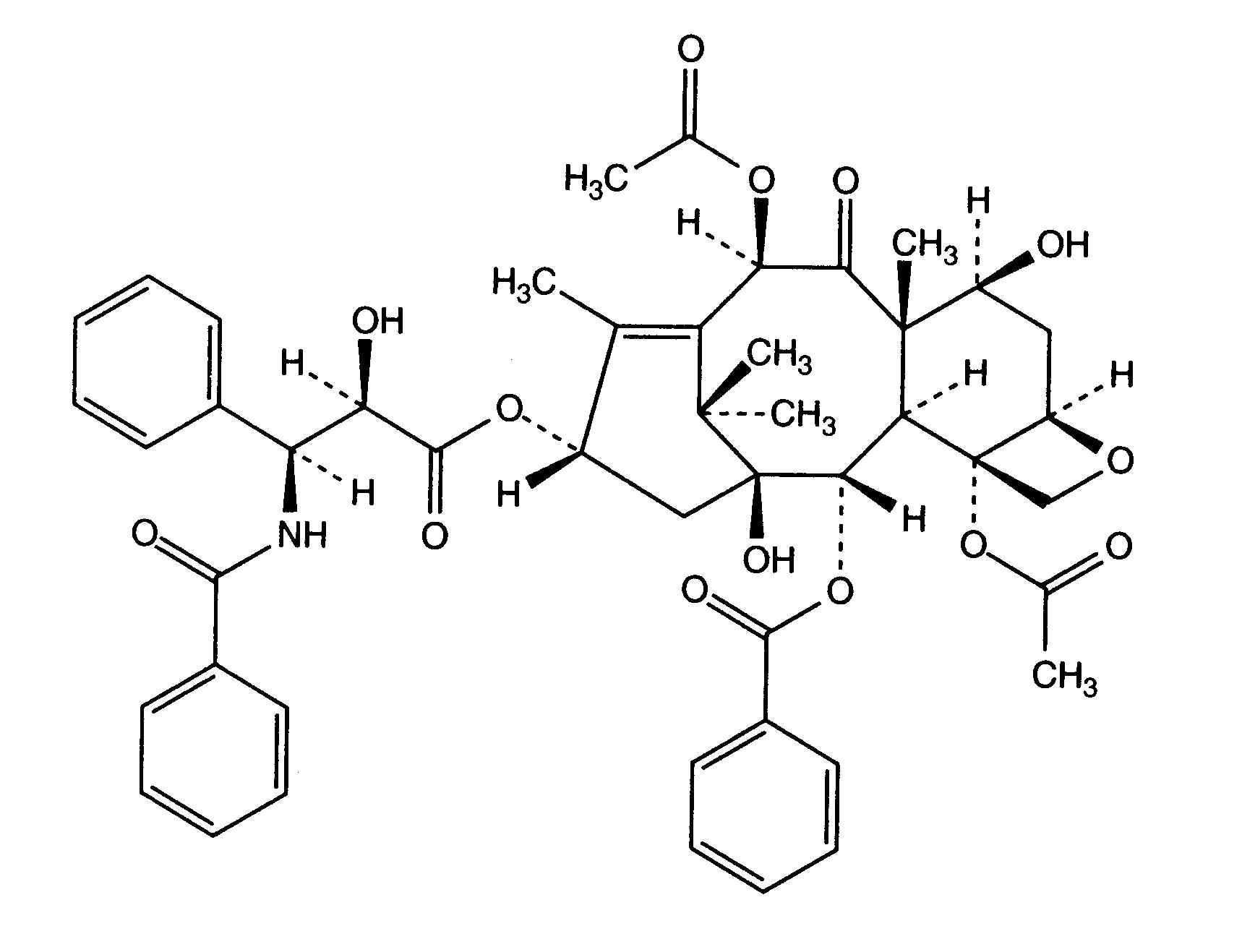
   Kimyasal yapı   

Ticari isim   Ticari isim     

Trade names are indicative and excipients composition can be different depending on the country and manufacturers

Aclipak Malezya
Acoexcel Meksika
Acupaxil Fas
Anzatax Birleşik Arap Emirlikleri, Fas, İran, Malezya, Mısır, Peru, Suudi Arabistan, Tunus, Türkiye, yeni Zelanda
Aritaxel Almanya
Cantaxel Hindistan
Clitaxel Arjantin, Venezuela
Dalys Arjantin
Ebetaxel Avusturya, Fas, İran, Suudi Arabistan, Tunus, Türkiye
Genexol Hindistan, İran, Mısır
Onxol Amerika Birleşik Devletleri
Paclinova Arjantin
Paclitaxin Brezilya, Lüksemburg, Malezya, Slovenya
Parexel Brezilya, Ekvador, Kolombiya, Venezuela
Paxene Danimarka, Hollanda, İrlanda, İspanya, Polonya, Yunanistan
Poltaxel Polonya
Ribotax Almanya
Taxol Avusturya, Birleşik Arap Emirlikleri, Brezilya, Danimarka, Fas, Hollanda, İran, İsveç, İsviçre, İtalya, Japonya, Kolombiya, Malezya, Mısır, Peru, Polonya, Portekiz, Slovenya, Türkiye, Venezuela, yeni Zelanda, Yunanistan
Taxomedac Almanya
Vitax Brezilya, Peru, Türkiye
Çözeltilerin stabilitesi   Enjeksiyon    Çözeltilerin stabilitesi : Paclitaxel     
Saklama kabı Çözücü Konsantrasyon Isı Saklama    Stabilite süresi Kaynaklar
Cam Sodyum klorür % 0,9 0.3 mg/ml 2-8°C Işıktan koruyunuz
13 Gün
2172
Kanıt düzeyi A+

Cam Sodyum klorür % 0,9 0.3 mg/ml 25°C Işıktan koruyunuz
3 Gün
2172
Kanıt düzeyi A+

Cam Sodyum klorür % 0,9 1,2 mg/ml 30°C Işıktan koruyunuz
4 Gün
173
Kanıt düzeyi A

Cam Sodyum klorür % 0,9 1.2 mg/ml 2-8°C Işıktan koruyunuz
8 Gün
2172
Kanıt düzeyi A+

Cam Sodyum klorür % 0,9 1.2 mg/ml 25°C Işıktan koruyunuz
5 Gün
2172
Kanıt düzeyi A+

Cam Glukoz %5 0,4 & 1,2 mg/ml 20°C-25°C I_ık
5 Gün
1865
Kanıt düzeyi B

Cam Glukoz %5 0.3 mg/ml 2-8°C Işıktan koruyunuz
20 Gün
2172
Kanıt düzeyi A+

Cam Glukoz %5 0.3 & 1.2 mg/ml 25°C Işıktan koruyunuz
7 Gün
2172
Kanıt düzeyi A+

Cam Glukoz %5 1,2 mg/ml 30°C Işıktan koruyunuz
4 Gün
173
Kanıt düzeyi A

Cam Glukoz %5 1.2 mg/ml 2-8°C Işıktan koruyunuz
8 Gün
2172
Kanıt düzeyi A+

Polietilen Sodyum klorür % 0,9 0.3 mg/ml 2-8°C Işıktan koruyunuz
13 Gün
2172
Kanıt düzeyi A+

Polietilen Sodyum klorür % 0,9 0.3 & 1.2 mg/ml 25°C Işıktan koruyunuz
3 Gün
2172
Kanıt düzeyi A+

Polietilen Sodyum klorür % 0,9 1.2 mg/ml 2-8°C Işıktan koruyunuz
9 Gün
2172
Kanıt düzeyi A+

Polietilen Glukoz %5 0,4 & 1,2 mg/ml 20°C-25°C Işıklı veya ışıksız
5 Gün
1865
Kanıt düzeyi B

Polietilen Glukoz %5 0,4 & 1,2 mg/ml 25°C Işıklı veya ışıksız
5 Gün
1520
Üreticinin stabilite verileri

Polietilen Glukoz %5 0,4 & 1,2 mg/ml 4°C Belirtilmemiş
5 Gün
1520
Üreticinin stabilite verileri

Polietilen Glukoz %5 0,4 & 1,2 mg/ml 4°C Işıktan koruyunuz
5 Gün
1865
Kanıt düzeyi B

Polietilen Glukoz %5 0.3 mg/ml 2-8°C Işıktan koruyunuz
13 Gün
2172
Kanıt düzeyi A+

Polietilen Glukoz %5 0.3 & 1.2 mg/ml 25°C Işıktan koruyunuz
3 Gün
2172
Kanıt düzeyi A+

Polietilen Glukoz %5 1.2 mg/ml 2-8°C Işıktan koruyunuz
10 Gün
2172
Kanıt düzeyi A+

Poliolefin Sodyum klorür % 0,9 0,1 & 1 mg/ml 22°C Belirtilmemiş
3 Gün
157
Kanıt düzeyi A+

Poliolefin Sodyum klorür % 0,9 0,1 & 1 mg/ml 32°C Belirtilmemiş
3 Gün
157
Kanıt düzeyi A+

Poliolefin Sodyum klorür % 0,9 0,1 & 1 mg/ml 4°C Işıktan koruyunuz
3 Gün
157
Kanıt düzeyi A+

Poliolefin Sodyum klorür % 0,9 0,3 mg/ml 5°C Işıktan koruyunuz
28 Gün
2174
Kanıt düzeyi A+

Poliolefin Sodyum klorür % 0,9 0,3 & 0,75 mg/ml 25°C Işıktan koruyunuz
6 Gün
2174
Kanıt düzeyi A+

Poliolefin Sodyum klorür % 0,9 0,3 & 1,2 mg/ml 20°C-23°C I_ık
48 Zaman
669
Kanıt düzeyi A

Poliolefin Sodyum klorür % 0,9 0,3 & 1,2 mg/ml 25°C Işıktan koruyunuz
72 Zaman
1522
Üreticinin stabilite verileri

Poliolefin Sodyum klorür % 0,9 0,3 &1,2 mg/ml 4°C Işıktan koruyunuz
72 Zaman
2014
Kanıt düzeyi C

Poliolefin Sodyum klorür % 0,9 0,3 >>1,2 mg/ml 30°C Işıktan koruyunuz
4 Gün
173
Kanıt düzeyi A

Poliolefin Sodyum klorür % 0,9 0,6 mg/ml 20°C-23°C Belirtilmemiş
25 Zaman
412
Kanıt düzeyi A

Poliolefin Sodyum klorür % 0,9 0,75 mg/ml 5°C Işıktan koruyunuz
16 Gün
2174
Kanıt düzeyi A+

Poliolefin Sodyum klorür % 0,9 0.3 > 1.2 mg/ml 25°C I_ık
72 Zaman
1956
Üreticinin stabilite verileri

Poliolefin Sodyum klorür % 0,9 0.3 > 1.2 mg/ml 5°C Işıktan koruyunuz
28 Gün
1956
Üreticinin stabilite verileri

Poliolefin Sodyum klorür % 0,9 1,2 mg/ml 20°C-23°C Belirtilmemiş
25 Zaman
412
Kanıt düzeyi A

Poliolefin Sodyum klorür % 0,9 1,2 mg/ml 25°C Işıktan koruyunuz
4 Gün
2174
Kanıt düzeyi A+

Poliolefin Sodyum klorür % 0,9 1,2 mg/ml 5°C Işıktan koruyunuz
12 Gün
2174
Kanıt düzeyi A+

Poliolefin Glukoz %5 0,1 & 1 mg/ml 22°C Belirtilmemiş
3 Gün
157
Kanıt düzeyi A+

Poliolefin Glukoz %5 0,1 & 1 mg/ml 32°C Belirtilmemiş
3 Gün
157
Kanıt düzeyi A+

Poliolefin Glukoz %5 0,1 & 1 mg/ml 4°C Işıktan koruyunuz
3 Gün
157
Kanıt düzeyi A+

Poliolefin Glukoz %5 0,3 mg/ml 25°C Işıktan koruyunuz
8 Gün
2174
Kanıt düzeyi A+

Poliolefin Glukoz %5 0,3 mg/ml 5°C Işıktan koruyunuz
28 Gün
2174
Kanıt düzeyi A+

Poliolefin Glukoz %5 0,3 & 1,2 mg/ml 20°C-23°C I_ık
48 Zaman
669
Kanıt düzeyi A

Poliolefin Glukoz %5 0,3 & 1,2 mg/ml 25°C Işıktan koruyunuz
72 Zaman
1522
Üreticinin stabilite verileri

Poliolefin Glukoz %5 0,3 &1,2 mg/ml 4°C Işıktan koruyunuz
72 Zaman
2014
Kanıt düzeyi C

Poliolefin Glukoz %5 0,3 >>1,2 mg/ml 30°C Işıktan koruyunuz
4 Gün
173
Kanıt düzeyi A

Poliolefin Glukoz %5 0,6 mg/ml 20°C-23°C Belirtilmemiş
25 Zaman
412
Kanıt düzeyi A

Poliolefin Glukoz %5 0,75 mg/ml 25°C Işıktan koruyunuz
4 Gün
2174
Kanıt düzeyi A+

Poliolefin Glukoz %5 0,75 mg/ml 5°C Işıktan koruyunuz
16 Gün
2174
Kanıt düzeyi A+

Poliolefin Glukoz %5 0.3 > 1.2 mg/ml 25°C I_ık
72 Zaman
1956
Üreticinin stabilite verileri

Poliolefin Glukoz %5 0.3 > 1.2 mg/ml 5°C Işıktan koruyunuz
14 Gün
1956
Üreticinin stabilite verileri

Poliolefin Glukoz %5 1,2 mg/ml 20°C-23°C Belirtilmemiş
12 Zaman
412
Kanıt düzeyi A

Poliolefin Glukoz %5 1,2 mg/ml 25°C Işıktan koruyunuz
4 Gün
2174
Kanıt düzeyi A+

Poliolefin Glukoz %5 1,2 mg/ml 5°C Işıktan koruyunuz
12 Gün
2174
Kanıt düzeyi A+


  Mentions Légales