Laatste update :
27/04/2026
geneesmiddel tegen kanker   Paclitaxel  
injecteerbaar geneesmiddel
Stabiliteit in oplossing Stabiliteit in mengsels Factoren die de stabiliteit beïnvloeden Verenigbaarheden Toedieningswijze Literatuur pdf
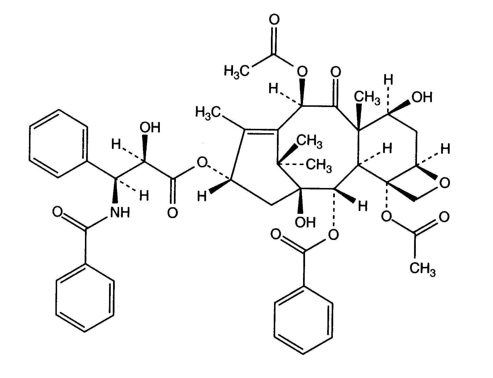
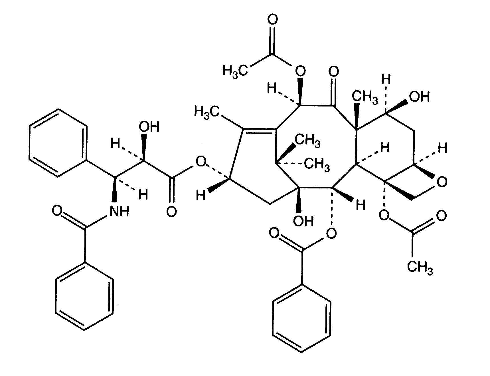
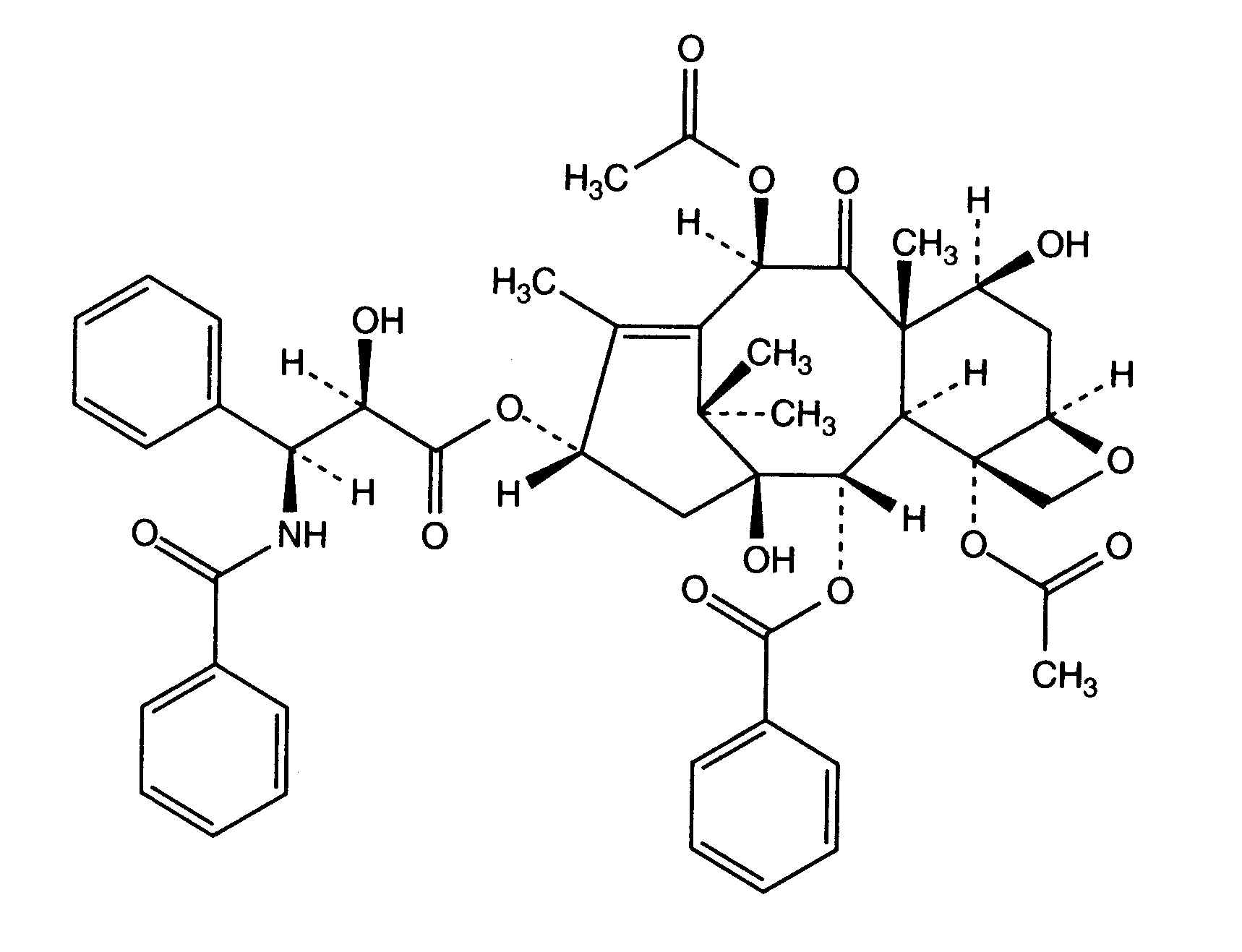
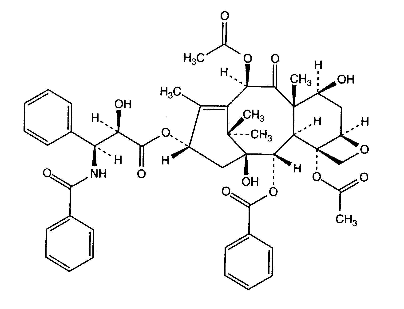
   Molecuulstructuur  

Merknamen in verschillende landen   Merknamen in verschillende landen     

Handelsnamen zijn slechts een indicatie; de samenstelling van hulpstoffen kan per land variëren afhankelijk van de fabrikant

Aclipak Maleisië
Acoexcel Mexico
Acupaxil Marokko
Anzatax Egypte, Iran, Maleisië, Marokko, nieuw Zeeland, Peru, Saudi-Arabië, Tunisie, Turkije, Verenigde Arabische Emiraten
Aritaxel Duitsland
Cantaxel Indië
Clitaxel Argentinië, Venezuela
Dalys Argentinië
Ebetaxel Iran, Marokko, Oostenrijk, Saudi-Arabië, Tunisie, Turkije
Genexol Egypte, Indië, Iran
Onxol USA
Paclinova Argentinië
Paclitaxin Brazilië, Luxemburg, Maleisië, Slovenië
Parexel Brazilië, Colombia, Ecuador, Venezuela
Paxene Denemarken, Griekenland, Ierland, Nederland, Polen, Spanje
Poltaxel Polen
Ribotax Duitsland
Taxol Brazilië, Colombia, Denemarken, Egypte, Griekenland, Iran, Italië, Japan, Maleisië, Marokko, Nederland, nieuw Zeeland, Oostenrijk, Peru, Polen, Portugal, Slovenië, Turkije, Venezuela, Verenigde Arabische Emiraten, Zweden, Zwitserland
Taxomedac Duitsland
Vitax Brazilië, Peru, Turkije
Stabiliteit in oplossing   injecteerbaar geneesmiddel   Stabiliteit in oplossing : Paclitaxel     
Verpakking Oplosmiddel Concentratie Temperatuur Bewaring Duur van de stabiliteit Literatuur
Glas Natriumchloride 0,9% 0.3 mg/ml 2-8°C Buiten invloed van licht
13 Dag
2172
Bewijsniveau A+

Glas Natriumchloride 0,9% 0.3 mg/ml 25°C Buiten invloed van licht
3 Dag
2172
Bewijsniveau A+

Glas Natriumchloride 0,9% 1,2 mg/ml 30°C Buiten invloed van licht
4 Dag
173
Bewijsniveau A

Glas Natriumchloride 0,9% 1.2 mg/ml 2-8°C Buiten invloed van licht
8 Dag
2172
Bewijsniveau A+

Glas Natriumchloride 0,9% 1.2 mg/ml 25°C Buiten invloed van licht
5 Dag
2172
Bewijsniveau A+

Glas Glucose 5% 0,4 & 1,2 mg/ml 20°C-25°C Licht
5 Dag
1865
Bewijsniveau B

Glas Glucose 5% 0.3 mg/ml 2-8°C Buiten invloed van licht
20 Dag
2172
Bewijsniveau A+

Glas Glucose 5% 0.3 & 1.2 mg/ml 25°C Buiten invloed van licht
7 Dag
2172
Bewijsniveau A+

Glas Glucose 5% 1,2 mg/ml 30°C Buiten invloed van licht
4 Dag
173
Bewijsniveau A

Glas Glucose 5% 1.2 mg/ml 2-8°C Buiten invloed van licht
8 Dag
2172
Bewijsniveau A+

Polyethyleen (PE) Natriumchloride 0,9% 0.3 mg/ml 2-8°C Buiten invloed van licht
13 Dag
2172
Bewijsniveau A+

Polyethyleen (PE) Natriumchloride 0,9% 0.3 & 1.2 mg/ml 25°C Buiten invloed van licht
3 Dag
2172
Bewijsniveau A+

Polyethyleen (PE) Natriumchloride 0,9% 1.2 mg/ml 2-8°C Buiten invloed van licht
9 Dag
2172
Bewijsniveau A+

Polyethyleen (PE) Glucose 5% 0,4 & 1,2 mg/ml 20°C-25°C Met of zonder licht
5 Dag
1865
Bewijsniveau B

Polyethyleen (PE) Glucose 5% 0,4 & 1,2 mg/ml 25°C Met of zonder licht
5 Dag
1520
Stabiliteitsgegevens van de fabrikant

Polyethyleen (PE) Glucose 5% 0,4 & 1,2 mg/ml 4°C Niet gespecificeerd
5 Dag
1520
Stabiliteitsgegevens van de fabrikant

Polyethyleen (PE) Glucose 5% 0,4 & 1,2 mg/ml 4°C Buiten invloed van licht
5 Dag
1865
Bewijsniveau B

Polyethyleen (PE) Glucose 5% 0.3 mg/ml 2-8°C Buiten invloed van licht
13 Dag
2172
Bewijsniveau A+

Polyethyleen (PE) Glucose 5% 0.3 & 1.2 mg/ml 25°C Buiten invloed van licht
3 Dag
2172
Bewijsniveau A+

Polyethyleen (PE) Glucose 5% 1.2 mg/ml 2-8°C Buiten invloed van licht
10 Dag
2172
Bewijsniveau A+

Polyolefine Natriumchloride 0,9% 0,1 & 1 mg/ml 22°C Niet gespecificeerd
3 Dag
157
Bewijsniveau A+

Polyolefine Natriumchloride 0,9% 0,1 & 1 mg/ml 32°C Niet gespecificeerd
3 Dag
157
Bewijsniveau A+

Polyolefine Natriumchloride 0,9% 0,1 & 1 mg/ml 4°C Buiten invloed van licht
3 Dag
157
Bewijsniveau A+

Polyolefine Natriumchloride 0,9% 0,3 mg/ml 5°C Buiten invloed van licht
28 Dag
2174
Bewijsniveau A+

Polyolefine Natriumchloride 0,9% 0,3 & 0,75 mg/ml 25°C Buiten invloed van licht
6 Dag
2174
Bewijsniveau A+

Polyolefine Natriumchloride 0,9% 0,3 & 1,2 mg/ml 20°C-23°C Licht
48 Uur
669
Bewijsniveau A

Polyolefine Natriumchloride 0,9% 0,3 & 1,2 mg/ml 25°C Buiten invloed van licht
72 Uur
1522
Stabiliteitsgegevens van de fabrikant

Polyolefine Natriumchloride 0,9% 0,3 &1,2 mg/ml 4°C Buiten invloed van licht
72 Uur
2014
Bewijsniveau C

Polyolefine Natriumchloride 0,9% 0,3 >>1,2 mg/ml 30°C Buiten invloed van licht
4 Dag
173
Bewijsniveau A

Polyolefine Natriumchloride 0,9% 0,6 mg/ml 20°C-23°C Niet gespecificeerd
25 Uur
412
Bewijsniveau A

Polyolefine Natriumchloride 0,9% 0,75 mg/ml 5°C Buiten invloed van licht
16 Dag
2174
Bewijsniveau A+

Polyolefine Natriumchloride 0,9% 0.3 > 1.2 mg/ml 25°C Licht
72 Uur
1956
Stabiliteitsgegevens van de fabrikant

Polyolefine Natriumchloride 0,9% 0.3 > 1.2 mg/ml 5°C Buiten invloed van licht
28 Dag
1956
Stabiliteitsgegevens van de fabrikant

Polyolefine Natriumchloride 0,9% 1,2 mg/ml 20°C-23°C Niet gespecificeerd
25 Uur
412
Bewijsniveau A

Polyolefine Natriumchloride 0,9% 1,2 mg/ml 25°C Buiten invloed van licht
4 Dag
2174
Bewijsniveau A+

Polyolefine Natriumchloride 0,9% 1,2 mg/ml 5°C Buiten invloed van licht
12 Dag
2174
Bewijsniveau A+

Polyolefine Glucose 5% 0,1 & 1 mg/ml 22°C Niet gespecificeerd
3 Dag
157
Bewijsniveau A+

Polyolefine Glucose 5% 0,1 & 1 mg/ml 32°C Niet gespecificeerd
3 Dag
157
Bewijsniveau A+

Polyolefine Glucose 5% 0,1 & 1 mg/ml 4°C Buiten invloed van licht
3 Dag
157
Bewijsniveau A+

Polyolefine Glucose 5% 0,3 mg/ml 25°C Buiten invloed van licht
8 Dag
2174
Bewijsniveau A+

Polyolefine Glucose 5% 0,3 mg/ml 5°C Buiten invloed van licht
28 Dag
2174
Bewijsniveau A+

Polyolefine Glucose 5% 0,3 & 1,2 mg/ml 20°C-23°C Licht
48 Uur
669
Bewijsniveau A

Polyolefine Glucose 5% 0,3 & 1,2 mg/ml 25°C Buiten invloed van licht
72 Uur
1522
Stabiliteitsgegevens van de fabrikant

Polyolefine Glucose 5% 0,3 &1,2 mg/ml 4°C Buiten invloed van licht
72 Uur
2014
Bewijsniveau C

Polyolefine Glucose 5% 0,3 >>1,2 mg/ml 30°C Buiten invloed van licht
4 Dag
173
Bewijsniveau A

Polyolefine Glucose 5% 0,6 mg/ml 20°C-23°C Niet gespecificeerd
25 Uur
412
Bewijsniveau A

Polyolefine Glucose 5% 0,75 mg/ml 25°C Buiten invloed van licht
4 Dag
2174
Bewijsniveau A+

Polyolefine Glucose 5% 0,75 mg/ml 5°C Buiten invloed van licht
16 Dag
2174
Bewijsniveau A+

Polyolefine Glucose 5% 0.3 > 1.2 mg/ml 25°C Licht
72 Uur
1956
Stabiliteitsgegevens van de fabrikant

Polyolefine Glucose 5% 0.3 > 1.2 mg/ml 5°C Buiten invloed van licht
14 Dag
1956
Stabiliteitsgegevens van de fabrikant

Polyolefine Glucose 5% 1,2 mg/ml 20°C-23°C Niet gespecificeerd
12 Uur
412
Bewijsniveau A

Polyolefine Glucose 5% 1,2 mg/ml 25°C Buiten invloed van licht
4 Dag
2174
Bewijsniveau A+

Polyolefine Glucose 5% 1,2 mg/ml 5°C Buiten invloed van licht
12 Dag
2174
Bewijsniveau A+


  Mentions Légales