Cập nhật lần cuối :
27/04/2026
Khác   N-acetylcysteine  
Khí dung
Dạng tiêm Dung dịch uống Thuốc nhỏ mắt
Tính ổn định của các chế phẩm Độ ổn định khi trộn lẫn Những yếu tố ảnh hưởng đến độ ổn định Khả năng tương thích Tài liệu tham khảo Pdf
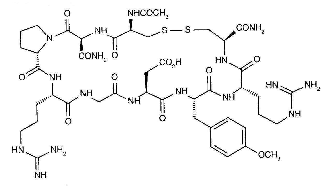
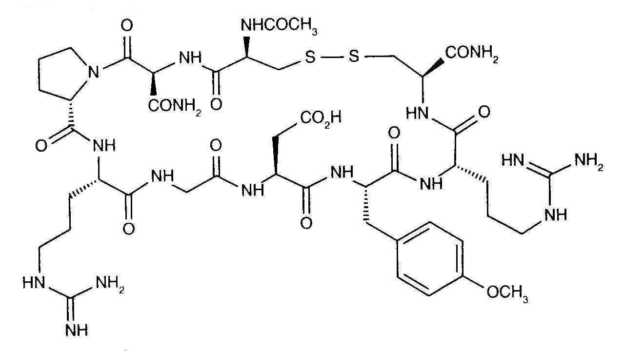
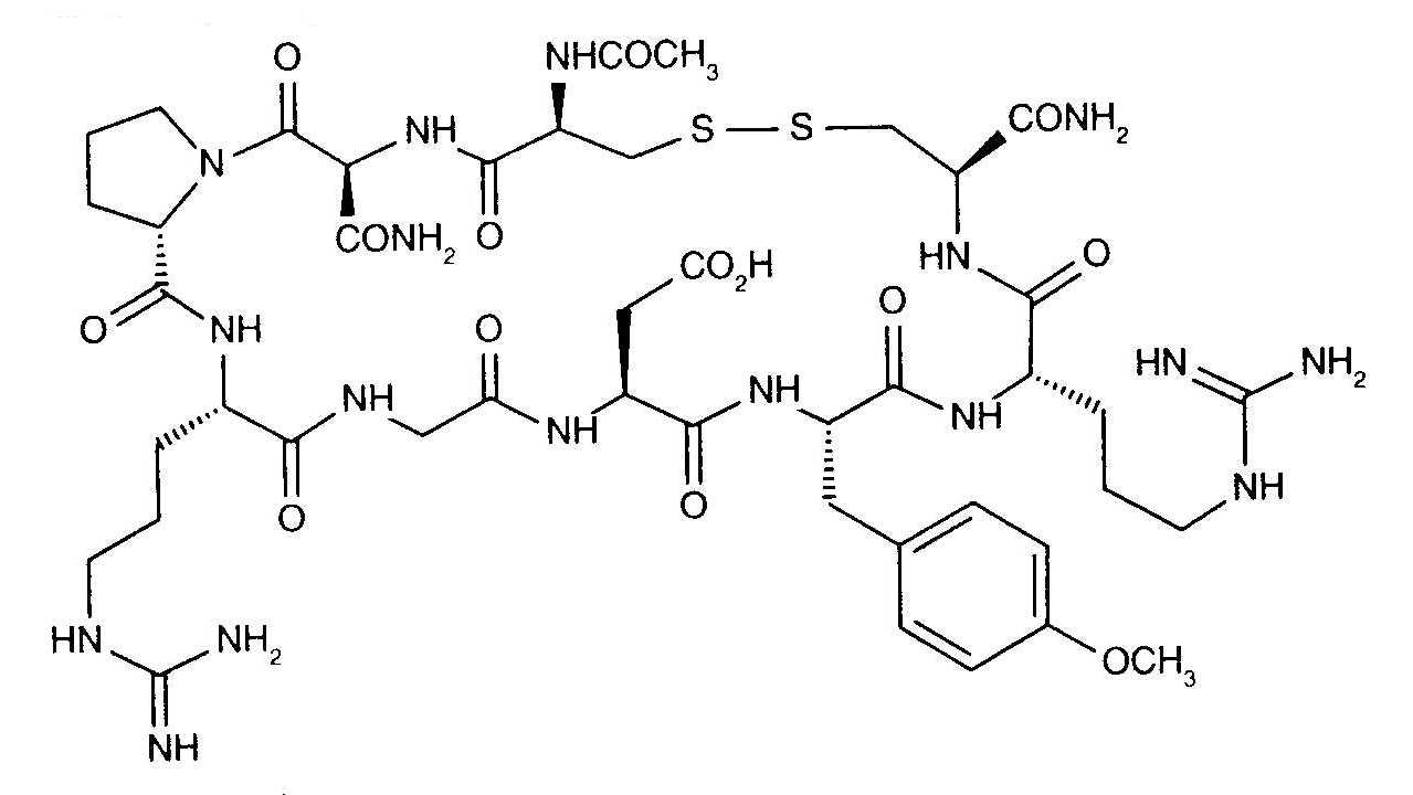
   Cấu trúc hóa học  

Khí dung
Độ ổn định khi trộn lẫn   Khí dung   Độ ổn định khi trộn lẫn : N-acetylcysteine     
Bao bì Tá dược Phân tử Nhiệt độ Bảo quản Thời gian ổn định Mục lục
Thủy tinh
Khí dung   N-acetylcysteine Sản phẩm thuốc thương mại100 mg/mL  
Khí dung   Formoterol fumarate Sản phẩm thuốc thương mại20 µg/2mL  
25°C
1 Giờ
Không rõ 3498
Không rõ
Không có
Khí dung   N-acetylcysteine Lỏng182 mg/l  ®=? Acetylcysteine sodium Bristol Myers Squibb®
Khí dung   Levalbuterol Lỏng0.22 mg/  ®=? Levalbuterol Sepracor®
21-25°C
0.5 Giờ
Ánh sáng 2803
Không rõ
Không có
Khí dung   N-acetylcysteine Lọ thuốc tiêm100 mg =  Mucomyst®
Khí dung   Netilmicin sulfate Lọ thuốc tiêm1000 mg   Netromicine®
Khí dung   Betamethasone sodium phosphate Lọ thuốc tiêm8 mg = 2  Celestene®
23-27°C
1 Giờ
Ánh sáng 2648
Không rõ
Khí dung   N-acetylcysteine Sản phẩm thuốc thương mại800 mg/4 ml  Mucomyst®
Khí dung   Arformoterol Sản phẩm thuốc thương mại15 µg/2 ml  Brovana®
25°C
0.5 Giờ
Ánh sáng 3019
Không rõ
Không có
Khí dung   N-acetylcysteine Lỏng90 mg/ml  Acetein®
Khí dung   Ipratropium bromide Lỏng104 µg/ml  Atrovent®
25°C
1 Giờ
Không rõ 2787
Không rõ
Không có
Khí dung   N-acetylcysteine Lỏng90 mg/ml  Acetein®
Khí dung   Fenoterol Lỏng243 µg/ml  Berotec®
25°C
7 Giờ
Không rõ 2787

  Mentions Légales