Последнее обновление :
27/04/2026
Разное   N-acetylcysteine  
Аэрозоль
Глазные капли Инъекция Раствор для перорального приёма
Стабильность фармацевтических препаратов Стабильность смесей Факторы, которые влияют на стабильность Совместимость Библиография pdf
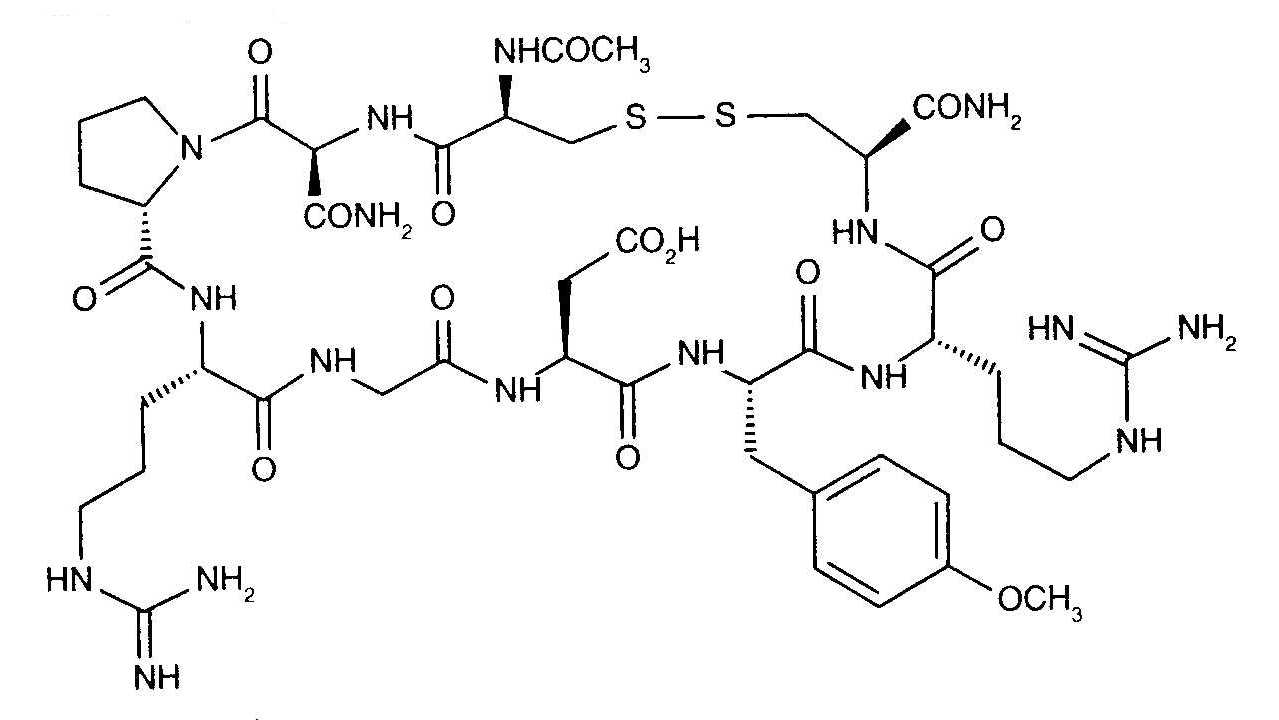
   Химическая структура  

Аэрозоль
Стабильность смесей   Аэрозоль   Стабильность смесей : N-acetylcysteine     
Упаковка Наполнитель Молекула Температура Хранение Продолжительность стабильности Ссылки
Стекло
Аэрозоль   N-acetylcysteine Коммерческий лекарственный продукт100 mg/mL  
Аэрозоль   Formoterol fumarate Коммерческий лекарственный продукт20 µg/2mL  
25°C
1 Час
Не указано 3498
Не указано
Нет
Аэрозоль   N-acetylcysteine Раствор182 mg/l  ®=? Acetylcysteine sodium Bristol Myers Squibb®
Аэрозоль   Levalbuterol Раствор0.22 mg/  ®=? Levalbuterol Sepracor®
21-25°C
0.5 Час
Свет 2803
Не указано
Нет
Аэрозоль   N-acetylcysteine Медицинская бутылка для инъекций100 mg =  Mucomyst®
Аэрозоль   Netilmicin sulfate Медицинская бутылка для инъекций1000 mg   Netromicine®
Аэрозоль   Betamethasone sodium phosphate Медицинская бутылка для инъекций8 mg = 2  Celestene®
23-27°C
1 Час
Свет 2648
Не указано
Аэрозоль   N-acetylcysteine Коммерческий лекарственный продукт800 mg/4 ml  Mucomyst®
Аэрозоль   Arformoterol Коммерческий лекарственный продукт15 µg/2 ml  Brovana®
25°C
0.5 Час
Свет 3019
Не указано
Нет
Аэрозоль   N-acetylcysteine Раствор90 mg/ml  Acetein®
Аэрозоль   Ipratropium bromide Раствор104 µg/ml  Atrovent®
25°C
1 Час
Не указано 2787
Не указано
Нет
Аэрозоль   N-acetylcysteine Раствор90 mg/ml  Acetein®
Аэрозоль   Fenoterol Раствор243 µg/ml  Berotec®
25°C
7 Час
Не указано 2787

  Mentions Légales