Последно актуализиране :
27/04/2026
Други   N-acetylcysteine  
Аерозол
Инжекция/Инжекционен Капки за очи Орален разтвор
Стабилност на лекарствени препарати Стабилност на смеси Фактори, повлияващи стабилността Съвместимост Библиография Pdf
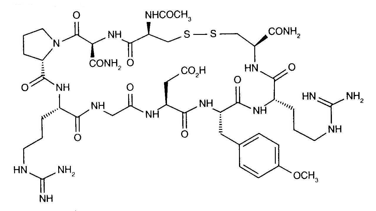
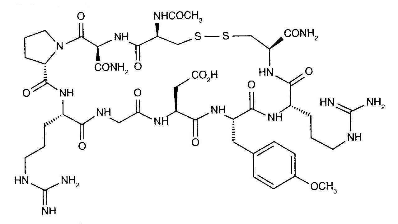
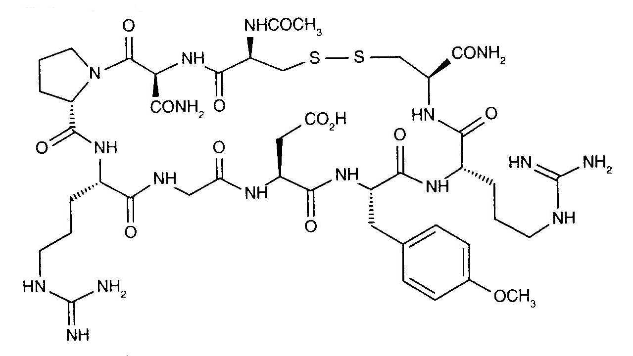
   Химична структура  

Аерозол
Стабилност на смеси   Аерозол   Стабилност на смеси : N-acetylcysteine     
Контейнер Помощно вещество Състав / молекула Температура Съхранение Продължителност на стабилността Библиография
Стъкло
Аерозол   N-acetylcysteine Търговски лекарствен продукт100 mg/mL  
Аерозол   Formoterol fumarate Търговски лекарствен продукт20 µg/2mL  
25°C
1 Час
Не е уточнено 3498
Не е уточнено
Няма
Аерозол   N-acetylcysteine Течност182 mg/l  ®=? Acetylcysteine sodium Bristol Myers Squibb®
Аерозол   Levalbuterol Течност0.22 mg/  ®=? Levalbuterol Sepracor®
21-25°C
0.5 Час
Светлина 2803
Не е уточнено
Няма
Аерозол   N-acetylcysteine Фпакон100 mg =  Mucomyst®
Аерозол   Netilmicin sulfate Фпакон1000 mg   Netromicine®
Аерозол   Betamethasone sodium phosphate Фпакон8 mg = 2  Celestene®
23-27°C
1 Час
Светлина 2648
Не е уточнено
Аерозол   N-acetylcysteine Търговски лекарствен продукт800 mg/4 ml  Mucomyst®
Аерозол   Arformoterol Търговски лекарствен продукт15 µg/2 ml  Brovana®
25°C
0.5 Час
Светлина 3019
Не е уточнено
Няма
Аерозол   N-acetylcysteine Течност90 mg/ml  Acetein®
Аерозол   Ipratropium bromide Течност104 µg/ml  Atrovent®
25°C
1 Час
Не е уточнено 2787
Не е уточнено
Няма
Аерозол   N-acetylcysteine Течност90 mg/ml  Acetein®
Аерозол   Fenoterol Течност243 µg/ml  Berotec®
25°C
7 Час
Не е уточнено 2787

  Mentions Légales