Zadnji put ažurirano :
27/04/2026
razno   N-acetylcysteine  
aerosol
injekcija kapi za oko oralna otopina
Stabilnost farmaceutskih pripravaka Stabilnost mješavine Stabilizacijski faktor Kompatibilnosti Bibliografija pdf
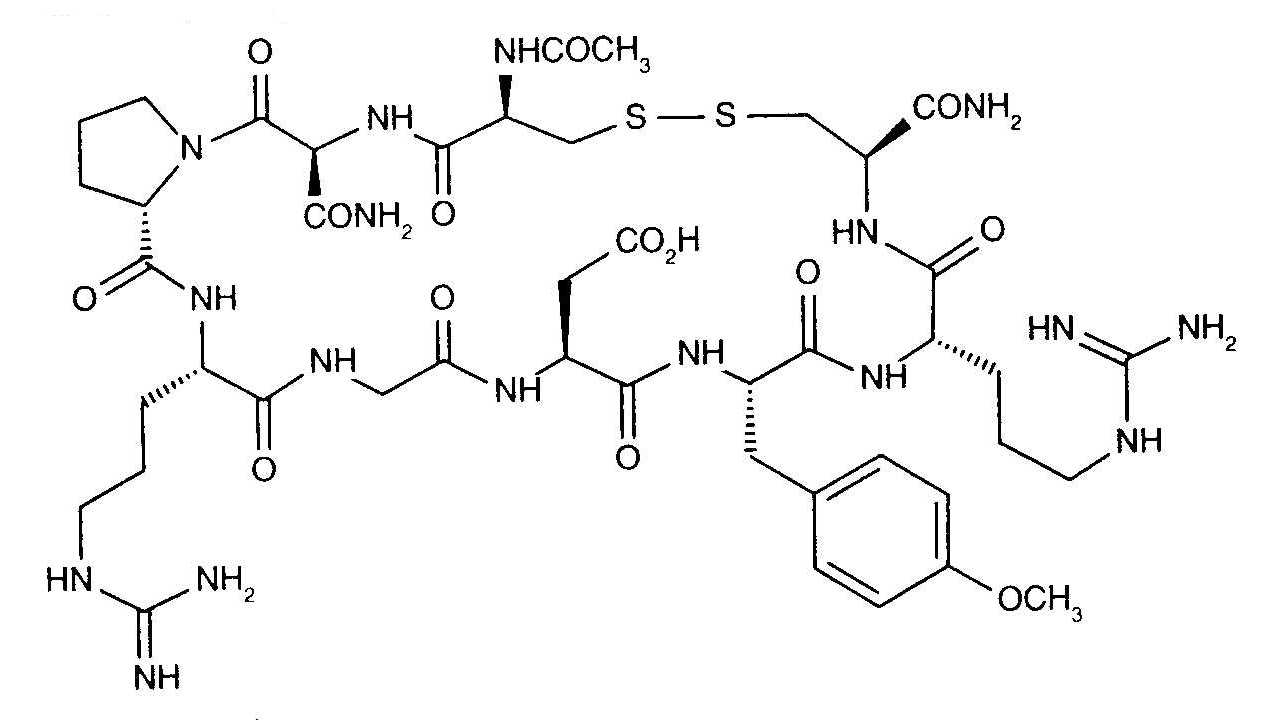
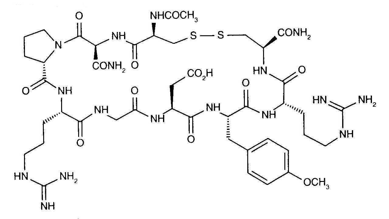
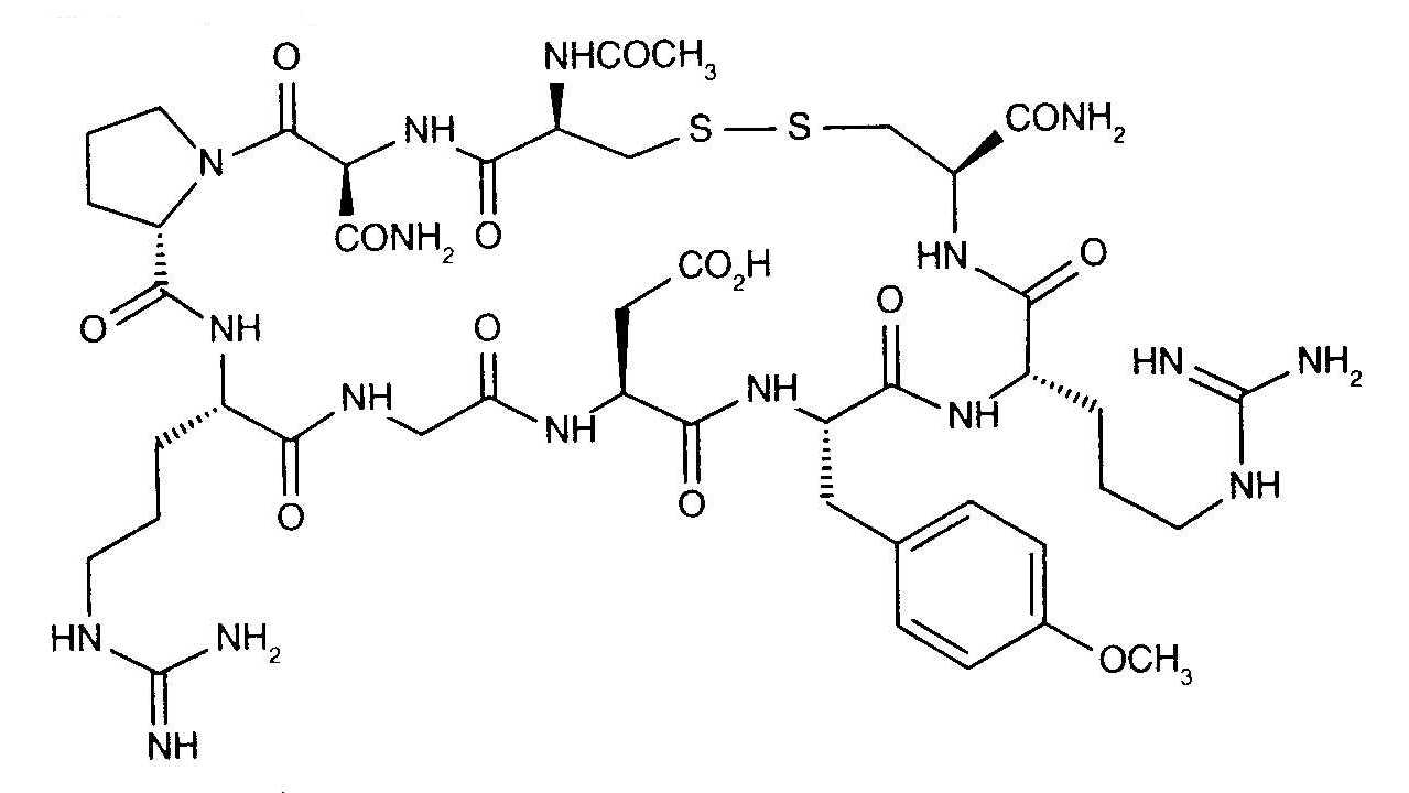
   Kemijska struktura  

aerosol
Stabilnost mješavine   aerosol   Stabilnost mješavine : N-acetylcysteine     
Kontejner pomoćna tvar molekula temperatura Konzerviranje Trajanje stabilnosti Bibliografija
čaša
aerosol   N-acetylcysteine Komercijalni lijek100 mg/mL  
aerosol   Formoterol fumarate Komercijalni lijek20 µg/2mL  
25°C
1 sat
nespecifičan 3498
nespecifičan
nijedan
aerosol   N-acetylcysteine tekućina182 mg/l  ®=? Acetylcysteine sodium Bristol Myers Squibb®
aerosol   Levalbuterol tekućina0.22 mg/  ®=? Levalbuterol Sepracor®
21-25°C
0.5 sat
svjetlost 2803
nespecifičan
nijedan
aerosol   N-acetylcysteine bočica za injekcije100 mg =  Mucomyst®
aerosol   Netilmicin sulfate bočica za injekcije1000 mg   Netromicine®
aerosol   Betamethasone sodium phosphate bočica za injekcije8 mg = 2  Celestene®
23-27°C
1 sat
svjetlost 2648
nespecifičan
aerosol   N-acetylcysteine Komercijalni lijek800 mg/4 ml  Mucomyst®
aerosol   Arformoterol Komercijalni lijek15 µg/2 ml  Brovana®
25°C
0.5 sat
svjetlost 3019
nespecifičan
nijedan
aerosol   N-acetylcysteine tekućina90 mg/ml  Acetein®
aerosol   Ipratropium bromide tekućina104 µg/ml  Atrovent®
25°C
1 sat
nespecifičan 2787
nespecifičan
nijedan
aerosol   N-acetylcysteine tekućina90 mg/ml  Acetein®
aerosol   Fenoterol tekućina243 µg/ml  Berotec®
25°C
7 sat
nespecifičan 2787

  Mentions Légales