Τελευταία ενημέρωση :
27/04/2026
Λοιπά   N-acetylcysteine  
Αεροζόλ
Ενέσιμο Οφθαλμικές σταγόνες Πόσιμο διάλυμα
Σταθερότητα και συμβατότητα των φαρμάκων Σταθερότητα σε μίγματα Παράγοντας που επηρεάζει τη σταθερότητα Συμβατότητες Βιβλιογραφία pdf
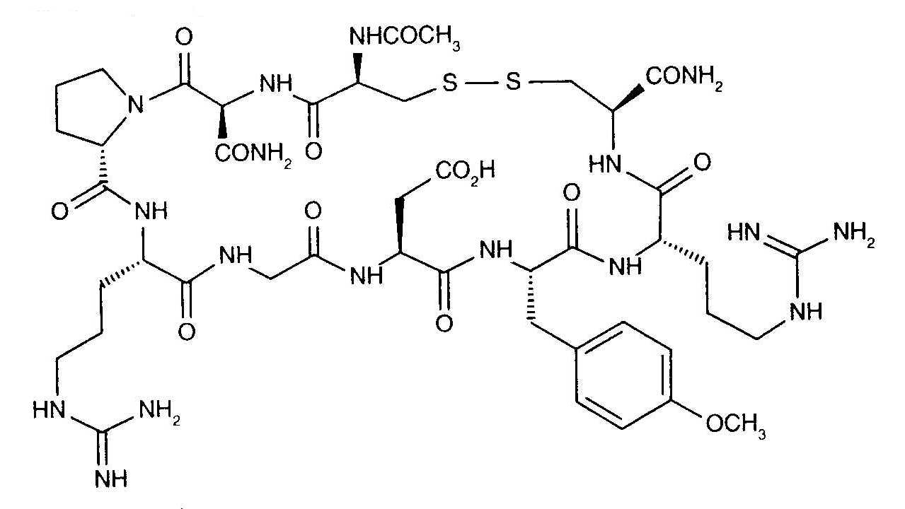
   χημική δομή  

Αεροζόλ
Σταθερότητα σε μίγματα   Αεροζόλ   Σταθερότητα σε μίγματα : N-acetylcysteine     
Υποδοχέας Έκδοχο Συστατικό Θερμοκρασία Αποθήκευση Διάρκεια σταθερότητας Βιβλιογραφία
Ύαλος
Αεροζόλ   N-acetylcysteine Εμπορικό φαρμακευτικό προϊόν100 mg/mL  
Αεροζόλ   Formoterol fumarate Εμπορικό φαρμακευτικό προϊόν20 µg/2mL  
25°C
1 Ώρα
Απροσδιόριστο 3498
Απροσδιόριστο
Κανένα
Αεροζόλ   N-acetylcysteine Υγρό182 mg/l  ®=? Acetylcysteine sodium Bristol Myers Squibb®
Αεροζόλ   Levalbuterol Υγρό0.22 mg/  ®=? Levalbuterol Sepracor®
21-25°C
0.5 Ώρα
Φως 2803
Απροσδιόριστο
Κανένα
Αεροζόλ   N-acetylcysteine Φιαλίδιο φαρμάκου για ένεση100 mg =  Mucomyst®
Αεροζόλ   Netilmicin sulfate Φιαλίδιο φαρμάκου για ένεση1000 mg   Netromicine®
Αεροζόλ   Betamethasone sodium phosphate Φιαλίδιο φαρμάκου για ένεση8 mg = 2  Celestene®
23-27°C
1 Ώρα
Φως 2648
Απροσδιόριστο
Αεροζόλ   N-acetylcysteine Εμπορικό φαρμακευτικό προϊόν800 mg/4 ml  Mucomyst®
Αεροζόλ   Arformoterol Εμπορικό φαρμακευτικό προϊόν15 µg/2 ml  Brovana®
25°C
0.5 Ώρα
Φως 3019
Απροσδιόριστο
Κανένα
Αεροζόλ   N-acetylcysteine Υγρό90 mg/ml  Acetein®
Αεροζόλ   Ipratropium bromide Υγρό104 µg/ml  Atrovent®
25°C
1 Ώρα
Απροσδιόριστο 2787
Απροσδιόριστο
Κανένα
Αεροζόλ   N-acetylcysteine Υγρό90 mg/ml  Acetein®
Αεροζόλ   Fenoterol Υγρό243 µg/ml  Berotec®
25°C
7 Ώρα
Απροσδιόριστο 2787

  Mentions Légales