Pēdējā atjaunošana :
27/04/2026
Dažādi   N-acetylcysteine  
Aerosols
Acu pilieni Injekcija Orāls šķīdums
Stabilitāte farmaceitisko preparātu Maisījuma stabilitāte Stabilitāti ietekmējoši faktori Saderība Literatūras saraksts pdf
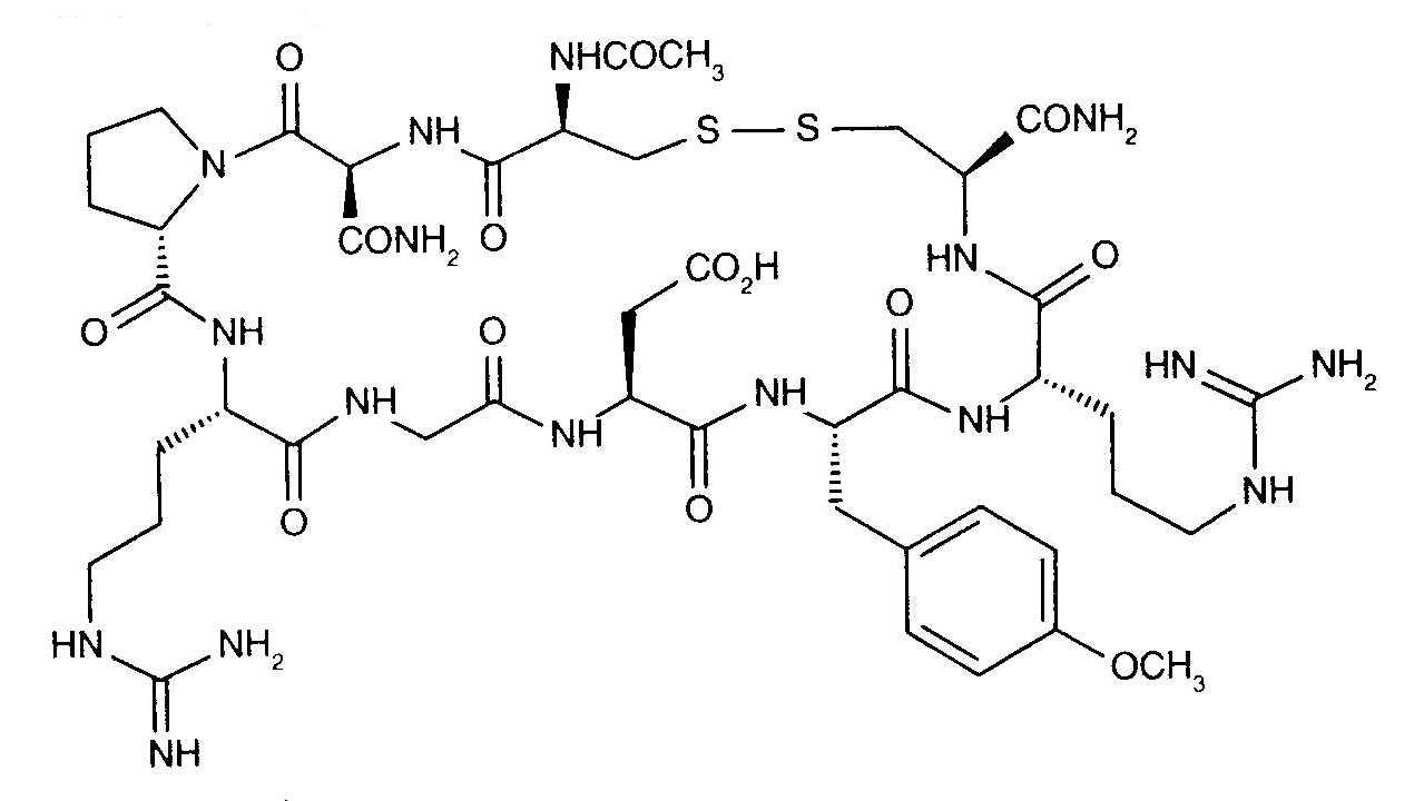
   Ķīmiskā uzbūve   

Aerosols
Maisījuma stabilitāte   Aerosols   Maisījuma stabilitāte : N-acetylcysteine     
Iepakojums Palīgviela Savienojums Temperatūra Glabāšana Stabilitātes ilgums Literatūras saraksts
Stikls
Aerosols   N-acetylcysteine Komerciāls narkotiku produkts100 mg/mL  
Aerosols   Formoterol fumarate Komerciāls narkotiku produkts20 µg/2mL  
25°C
1 Stunda
Nav specifisks 3498
Nespecifisks
Nav
Aerosols   N-acetylcysteine Šķidrums182 mg/l  ®=? Acetylcysteine sodium Bristol Myers Squibb®
Aerosols   Levalbuterol Šķidrums0.22 mg/  ®=? Levalbuterol Sepracor®
21-25°C
0.5 Stunda
Gaisma 2803
Nespecifisks
Nav
Aerosols   N-acetylcysteine Medicīniskā pudele injekcijām100 mg =  Mucomyst®
Aerosols   Netilmicin sulfate Medicīniskā pudele injekcijām1000 mg   Netromicine®
Aerosols   Betamethasone sodium phosphate Medicīniskā pudele injekcijām8 mg = 2  Celestene®
23-27°C
1 Stunda
Gaisma 2648
Nespecifisks
Aerosols   N-acetylcysteine Komerciāls narkotiku produkts800 mg/4 ml  Mucomyst®
Aerosols   Arformoterol Komerciāls narkotiku produkts15 µg/2 ml  Brovana®
25°C
0.5 Stunda
Gaisma 3019
Nespecifisks
Nav
Aerosols   N-acetylcysteine Šķidrums90 mg/ml  Acetein®
Aerosols   Ipratropium bromide Šķidrums104 µg/ml  Atrovent®
25°C
1 Stunda
Nav specifisks 2787
Nespecifisks
Nav
Aerosols   N-acetylcysteine Šķidrums90 mg/ml  Acetein®
Aerosols   Fenoterol Šķidrums243 µg/ml  Berotec®
25°C
7 Stunda
Nav specifisks 2787

  Mentions Légales