Letztes “update” :
27/04/2026
Verschiedenes   N-acetylcysteine  
Aerosol
Augentropfen Injektion Lösung zum Einnehmen
Stabilität von pharmazeutischen Präparaten Gemengestabilität Stabilitätbeeinflussende Faktoren Kompatibilitäten Literaturverzeichnis pdf
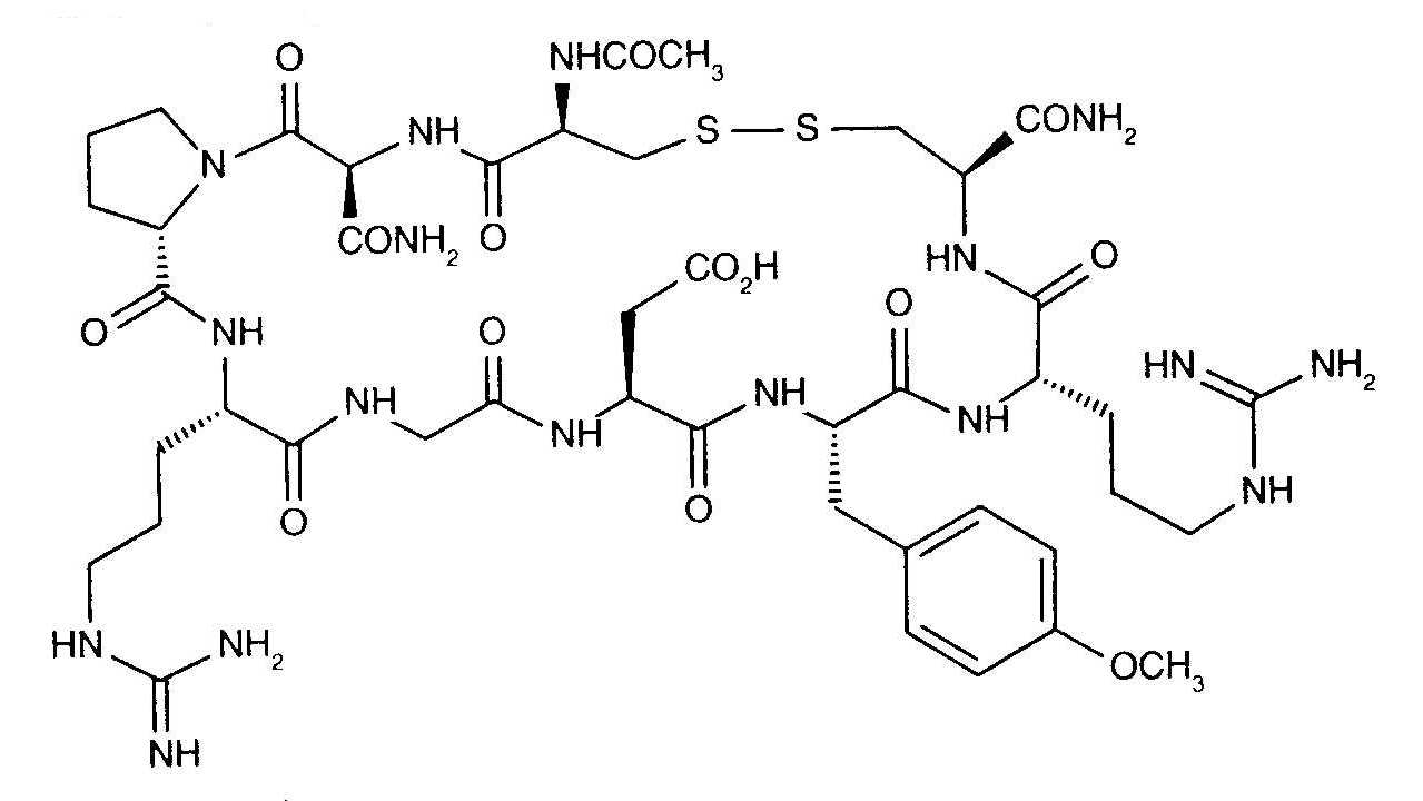
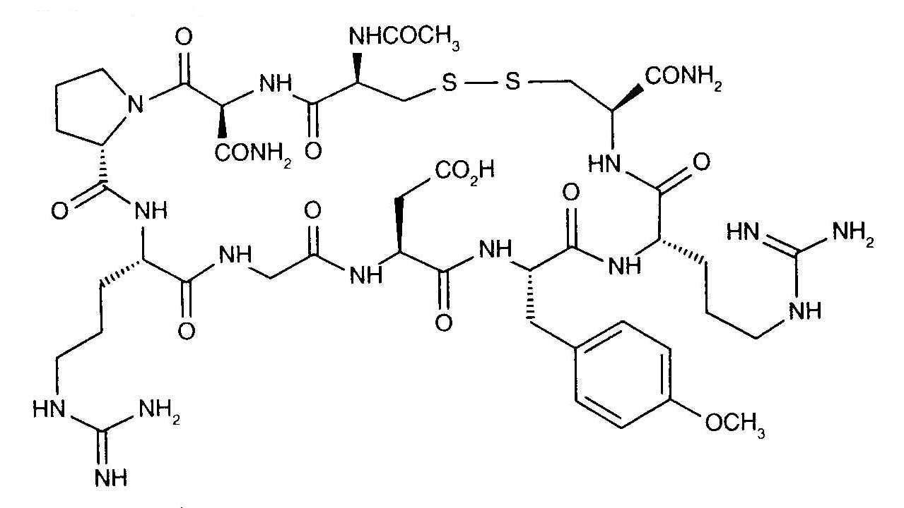
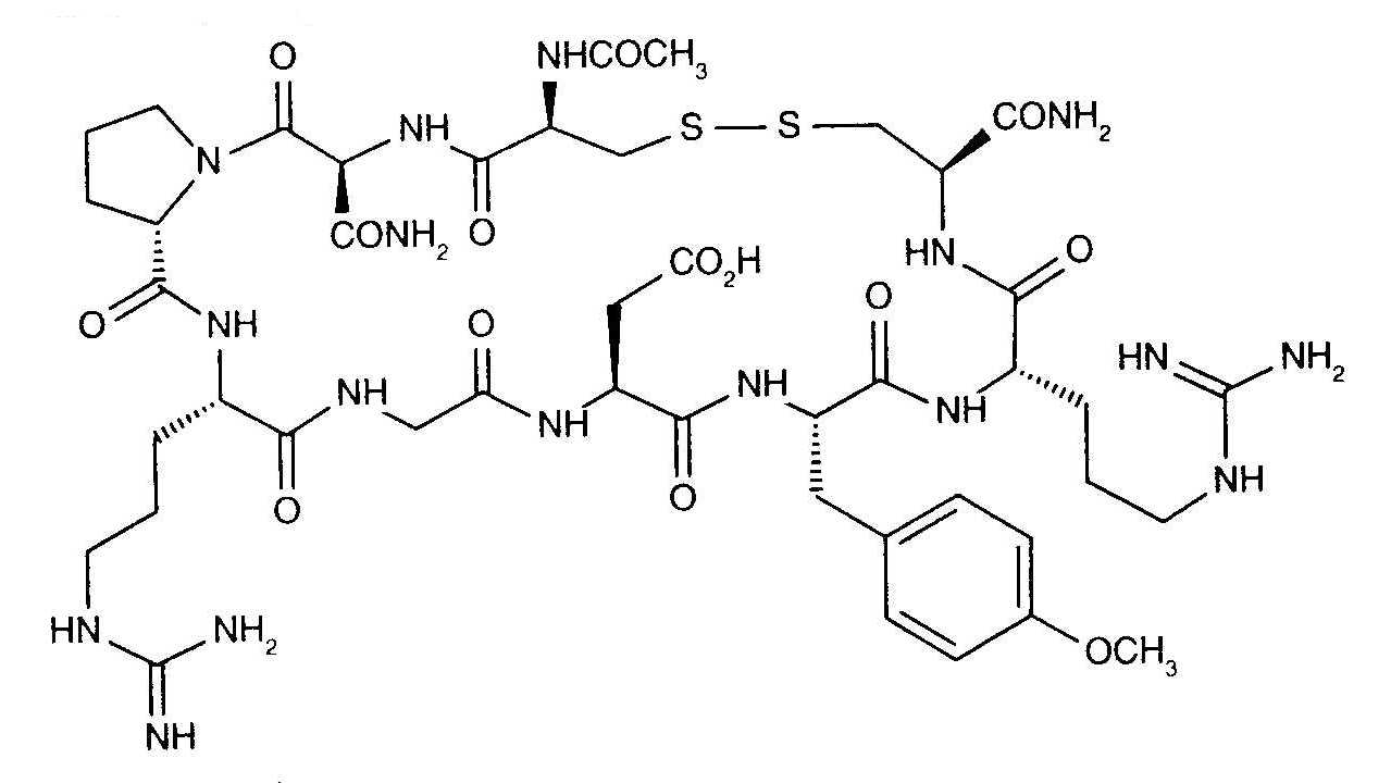
   Chemische Struktur  

Aerosol
Gemengestabilität   Aerosol   Gemengestabilität : N-acetylcysteine     
Behälter Hilfsstoff Molekül Temperatur Konservierung Dauer der Stabilität Literaturverzeichnis
Glas
Aerosol   N-acetylcysteine Kommerzielles Arzneimittel100 mg/mL  
Aerosol   Formoterol fumarate Kommerzielles Arzneimittel20 µg/2mL  
25°C
1 Stunde
Nicht genau angegeben 3498
Nicht genau angegeben
kein
Aerosol   N-acetylcysteine Flüssigkeit182 mg/l  ®=? Acetylcysteine sodium Bristol Myers Squibb®
Aerosol   Levalbuterol Flüssigkeit0.22 mg/  ®=? Levalbuterol Sepracor®
21-25°C
0.5 Stunde
Licht 2803
Nicht genau angegeben
kein
Aerosol   N-acetylcysteine Injektionsflasche100 mg =  Mucomyst®
Aerosol   Netilmicin sulfate Injektionsflasche1000 mg   Netromicine®
Aerosol   Betamethasone sodium phosphate Injektionsflasche8 mg = 2  Celestene®
23-27°C
1 Stunde
Licht 2648
Nicht genau angegeben
Aerosol   N-acetylcysteine Kommerzielles Arzneimittel800 mg/4 ml  Mucomyst®
Aerosol   Arformoterol Kommerzielles Arzneimittel15 µg/2 ml  Brovana®
25°C
0.5 Stunde
Licht 3019
Nicht genau angegeben
kein
Aerosol   N-acetylcysteine Flüssigkeit90 mg/ml  Acetein®
Aerosol   Ipratropium bromide Flüssigkeit104 µg/ml  Atrovent®
25°C
1 Stunde
Nicht genau angegeben 2787
Nicht genau angegeben
kein
Aerosol   N-acetylcysteine Flüssigkeit90 mg/ml  Acetein®
Aerosol   Fenoterol Flüssigkeit243 µg/ml  Berotec®
25°C
7 Stunde
Nicht genau angegeben 2787

  Mentions Légales