Poslední aktualizace :
27/04/2026
Různé   N-acetylcysteine  
Aerosol
Humbuk injekce Perorální roztok
Stabilita farmaceutických přípravků Stabilita směsí Faktory ovlivňující stabilitu Kompatibilita Odkazy pdf
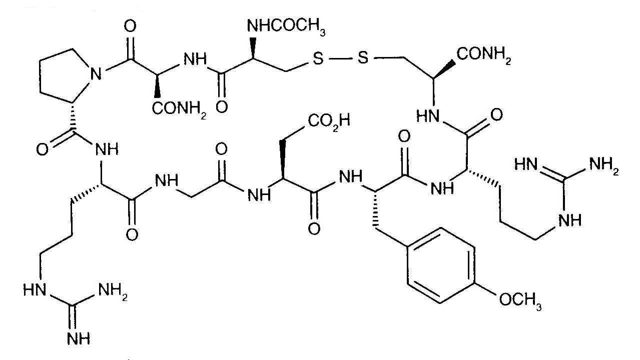
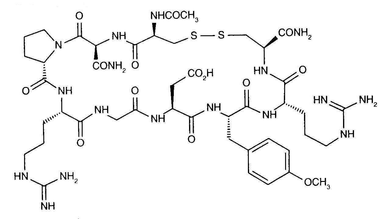
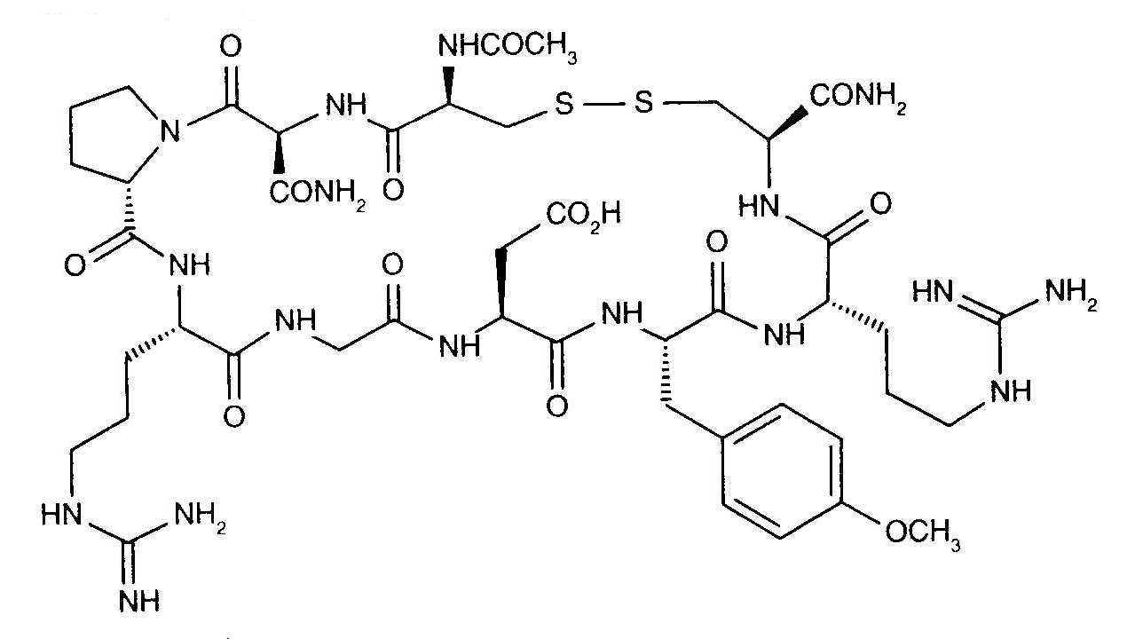
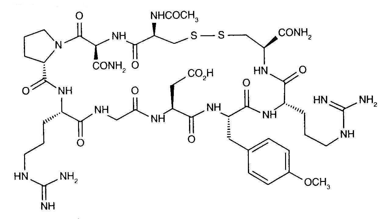
   Chemický vzorec  

Aerosol
Stabilita směsí   Aerosol   Stabilita směsí : N-acetylcysteine     
Obal Pomocné látky SlouËenina Teplota Uchovávání Trvání stability Odkazy
Sklo
Aerosol   N-acetylcysteine Komerční drogový produkt100 mg/mL  
Aerosol   Formoterol fumarate Komerční drogový produkt20 µg/2mL  
25°C
1 Hodina
Nespecifikováno 3498
Nespecifikováno
ne
Aerosol   N-acetylcysteine kapalina182 mg/l  ®=? Acetylcysteine sodium Bristol Myers Squibb®
Aerosol   Levalbuterol kapalina0.22 mg/  ®=? Levalbuterol Sepracor®
21-25°C
0.5 Hodina
SvÏtlo 2803
Nespecifikováno
ne
Aerosol   N-acetylcysteine Lékovka pro injekci100 mg =  Mucomyst®
Aerosol   Netilmicin sulfate Lékovka pro injekci1000 mg   Netromicine®
Aerosol   Betamethasone sodium phosphate Lékovka pro injekci8 mg = 2  Celestene®
23-27°C
1 Hodina
SvÏtlo 2648
Nespecifikováno
Aerosol   N-acetylcysteine Komerční drogový produkt800 mg/4 ml  Mucomyst®
Aerosol   Arformoterol Komerční drogový produkt15 µg/2 ml  Brovana®
25°C
0.5 Hodina
SvÏtlo 3019
Nespecifikováno
ne
Aerosol   N-acetylcysteine kapalina90 mg/ml  Acetein®
Aerosol   Ipratropium bromide kapalina104 µg/ml  Atrovent®
25°C
1 Hodina
Nespecifikováno 2787
Nespecifikováno
ne
Aerosol   N-acetylcysteine kapalina90 mg/ml  Acetein®
Aerosol   Fenoterol kapalina243 µg/ml  Berotec®
25°C
7 Hodina
Nespecifikováno 2787

  Mentions Légales