Ostatnia aktualizacja :
27/04/2026
Różne   N-acetylcysteine  
Aerozol
Injekcje Krople oczne Roztwór doustny
Stabilność preparatów farmaceutycznych Trwałość w mieszaninie Czynnik wpływający na trwałość Zgodność Bibliografia pdf
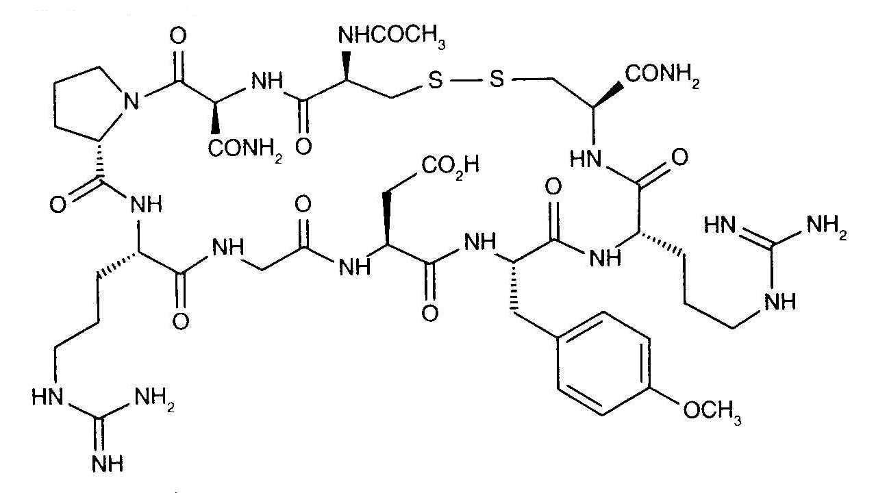
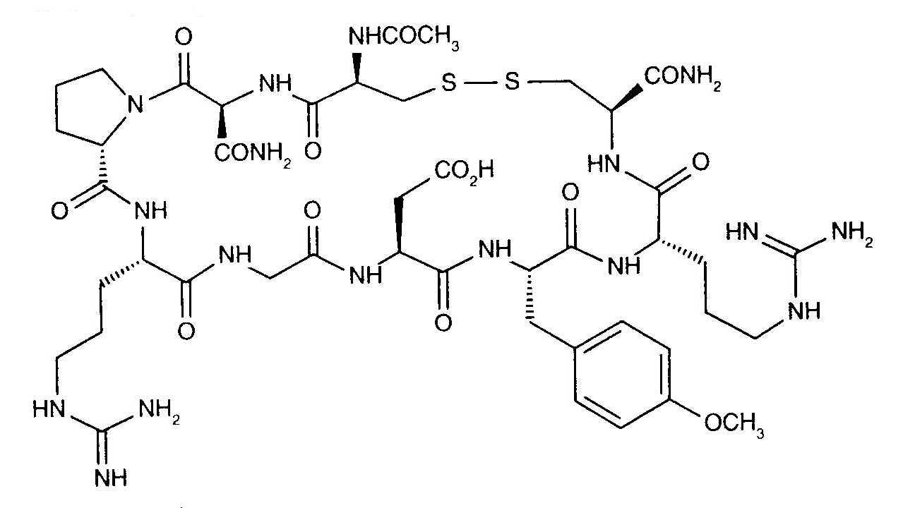
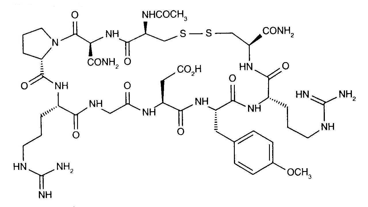
   Struktura chemiczna  

Aerozol
Trwałość w mieszaninie   Aerozol   Trwałość w mieszaninie : N-acetylcysteine     
Pojemnik Substancja pomocniczna Związek Temperatura Przechowywanie Czas trwania stabilności Bibliografia
Szkło
Aerozol   N-acetylcysteine Komercyjny produkt leczniczy100 mg/mL  
Aerozol   Formoterol fumarate Komercyjny produkt leczniczy20 µg/2mL  
25°C
1 Godzina
Nie wyszczególniony 3498
Brak informacji
Żadny
Aerozol   N-acetylcysteine Roztwór182 mg/l  ®=? Acetylcysteine sodium Bristol Myers Squibb®
Aerozol   Levalbuterol Roztwór0.22 mg/  ®=? Levalbuterol Sepracor®
21-25°C
0.5 Godzina
światło 2803
Brak informacji
Żadny
Aerozol   N-acetylcysteine Fiolka100 mg =  Mucomyst®
Aerozol   Netilmicin sulfate Fiolka1000 mg   Netromicine®
Aerozol   Betamethasone sodium phosphate Fiolka8 mg = 2  Celestene®
23-27°C
1 Godzina
światło 2648
Brak informacji
Aerozol   N-acetylcysteine Komercyjny produkt leczniczy800 mg/4 ml  Mucomyst®
Aerozol   Arformoterol Komercyjny produkt leczniczy15 µg/2 ml  Brovana®
25°C
0.5 Godzina
światło 3019
Brak informacji
Żadny
Aerozol   N-acetylcysteine Roztwór90 mg/ml  Acetein®
Aerozol   Ipratropium bromide Roztwór104 µg/ml  Atrovent®
25°C
1 Godzina
Nie wyszczególniony 2787
Brak informacji
Żadny
Aerozol   N-acetylcysteine Roztwór90 mg/ml  Acetein®
Aerozol   Fenoterol Roztwór243 µg/ml  Berotec®
25°C
7 Godzina
Nie wyszczególniony 2787

  Mentions Légales