Última actualização :
27/04/2026
Varios   N-acetylcysteine  
aerossol
injetável solução oftálmica Solução Oral
Estabilidade de preparações farmacêuticas Estabilidade em misturas Factores que afectam a sua estabilidade Compatibilidade Bibliografía pdf
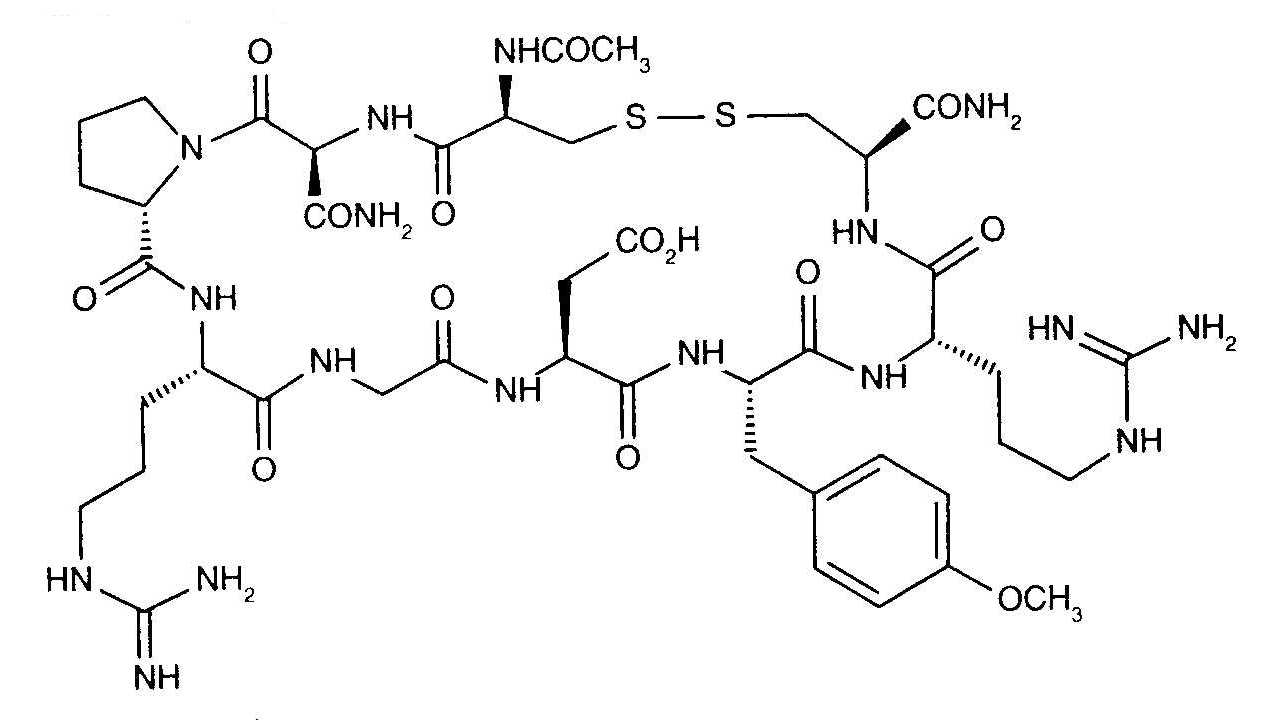
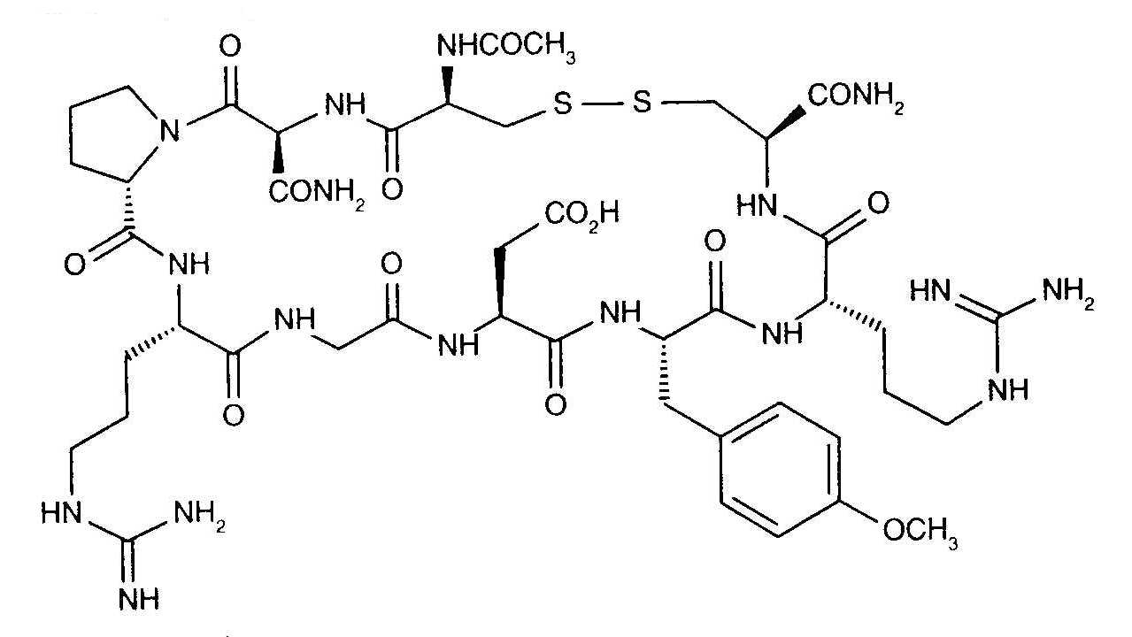
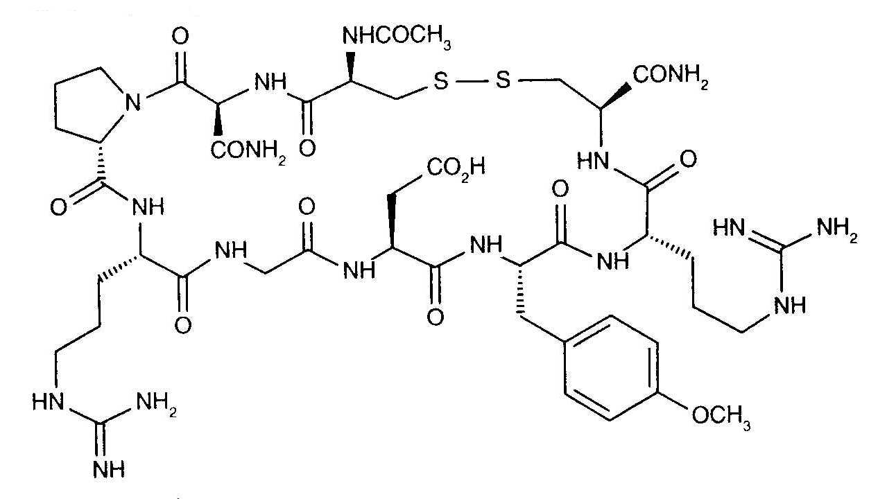
   estrutura química  

aerossol
Estabilidade em misturas   aerossol   Estabilidade em misturas : N-acetylcysteine     
Embalagem excipiente molécula temperatura conservação Duração da estabilidade Bibliografia
vidro
aerossol   N-acetylcysteine Medicamento comercial100 mg/mL  
aerossol   Formoterol fumarate Medicamento comercial20 µg/2mL  
25°C
1 hora
no especificado 3498
no especificado
nenhum
aerossol   N-acetylcysteine líquido182 mg/l  ®=? Acetylcysteine sodium Bristol Myers Squibb®
aerossol   Levalbuterol líquido0.22 mg/  ®=? Levalbuterol Sepracor®
21-25°C
0.5 hora
luz 2803
no especificado
nenhum
aerossol   N-acetylcysteine frasco de medicamento para injeção100 mg =  Mucomyst®
aerossol   Netilmicin sulfate frasco de medicamento para injeção1000 mg   Netromicine®
aerossol   Betamethasone sodium phosphate frasco de medicamento para injeção8 mg = 2  Celestene®
23-27°C
1 hora
luz 2648
no especificado
aerossol   N-acetylcysteine Medicamento comercial800 mg/4 ml  Mucomyst®
aerossol   Arformoterol Medicamento comercial15 µg/2 ml  Brovana®
25°C
0.5 hora
luz 3019
no especificado
nenhum
aerossol   N-acetylcysteine líquido90 mg/ml  Acetein®
aerossol   Ipratropium bromide líquido104 µg/ml  Atrovent®
25°C
1 hora
no especificado 2787
no especificado
nenhum
aerossol   N-acetylcysteine líquido90 mg/ml  Acetein®
aerossol   Fenoterol líquido243 µg/ml  Berotec®
25°C
7 hora
no especificado 2787

  Mentions Légales