Última actualización :
27/04/2026
Varios   N-acetylcysteine  
Aerosol
Gotas oculares Inyectables Solución Oral
La estabilidad de las preparaciones farmacéuticas Estabilidad en mezcla Factores que influyen sobre la estabilidad Compatibilidades Bibliografía pdf
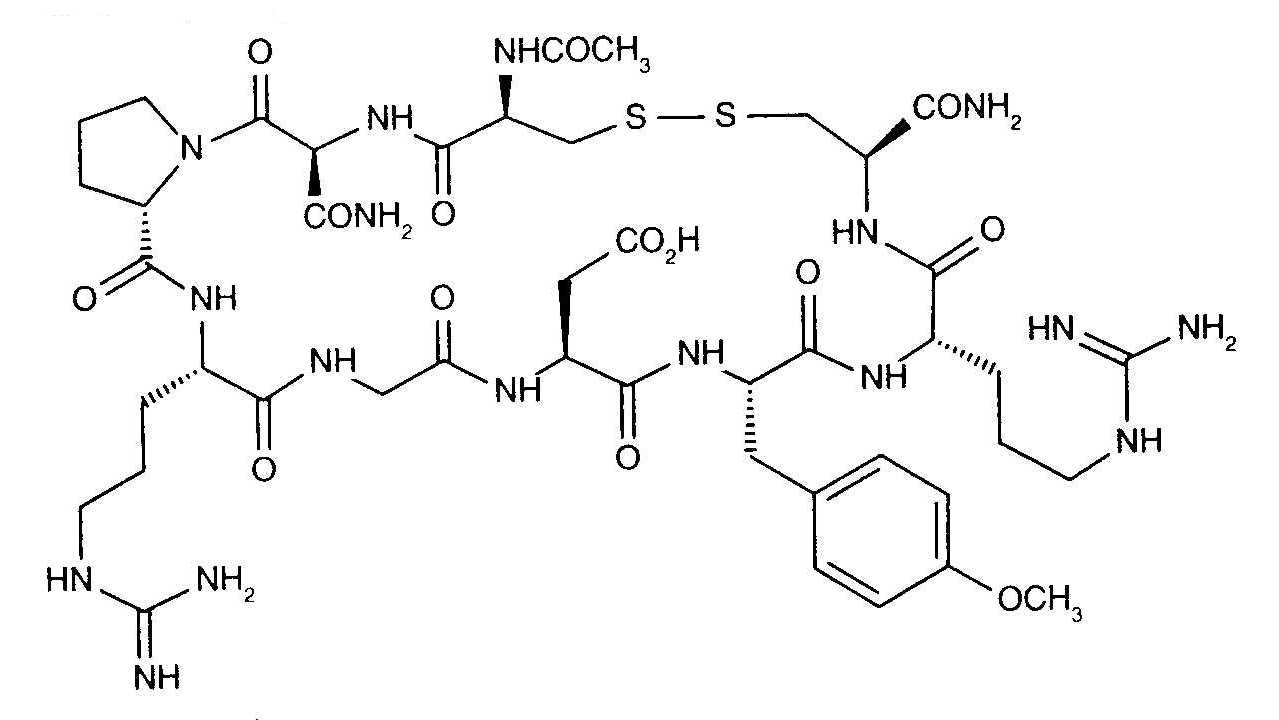
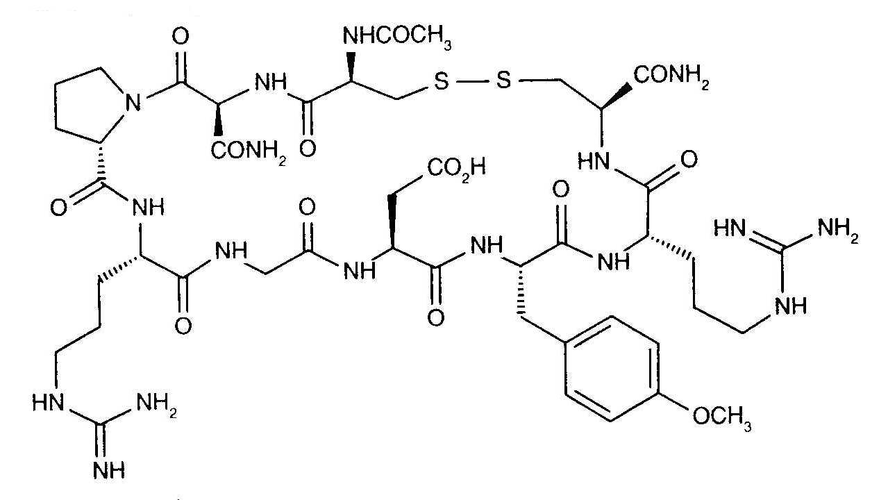
   Estructura química  

Aerosol
Estabilidad en mezcla   Aerosol   Estabilidad en mezcla : N-acetylcysteine     
Envase Excipiente Molécula Temperatura Conservación Duración de la estabilidad Bibliografía
Vidrio
Aerosol   N-acetylcysteine Producto comercial de drogas100 mg/mL  
Aerosol   Formoterol fumarate Producto comercial de drogas20 µg/2mL  
25°C
1 Hora
No precisada 3498
No precisado
Ninguno
Aerosol   N-acetylcysteine Líquido182 mg/l  ®=? Acetylcysteine sodium Bristol Myers Squibb®
Aerosol   Levalbuterol Líquido0.22 mg/  ®=? Levalbuterol Sepracor®
21-25°C
0.5 Hora
Luz 2803
No precisado
Ninguno
Aerosol   N-acetylcysteine Frasco para medicamentos inyectables100 mg =  Mucomyst®
Aerosol   Netilmicin sulfate Frasco para medicamentos inyectables1000 mg   Netromicine®
Aerosol   Betamethasone sodium phosphate Frasco para medicamentos inyectables8 mg = 2  Celestene®
23-27°C
1 Hora
Luz 2648
No precisado
Aerosol   N-acetylcysteine Producto comercial de drogas800 mg/4 ml  Mucomyst®
Aerosol   Arformoterol Producto comercial de drogas15 µg/2 ml  Brovana®
25°C
0.5 Hora
Luz 3019
No precisado
Ninguno
Aerosol   N-acetylcysteine Líquido90 mg/ml  Acetein®
Aerosol   Ipratropium bromide Líquido104 µg/ml  Atrovent®
25°C
1 Hora
No precisada 2787
No precisado
Ninguno
Aerosol   N-acetylcysteine Líquido90 mg/ml  Acetein®
Aerosol   Fenoterol Líquido243 µg/ml  Berotec®
25°C
7 Hora
No precisada 2787

  Mentions Légales