Ultimele actualizari :
31/03/2026
Antifungic   Amphotericin B   
Soluţie orală
Aerosol colir Gargara Injectabil
Stabilitatea preparatelor farmaceutice Stabilitatea in amestec Factorii care influenteaza stabilitatea Compatibilitate Bibliografie pdf
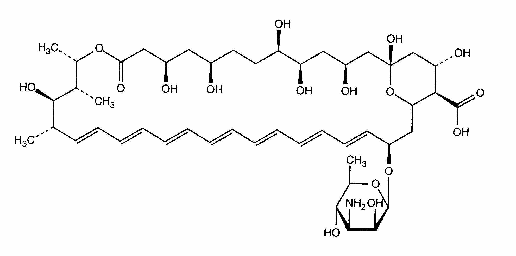
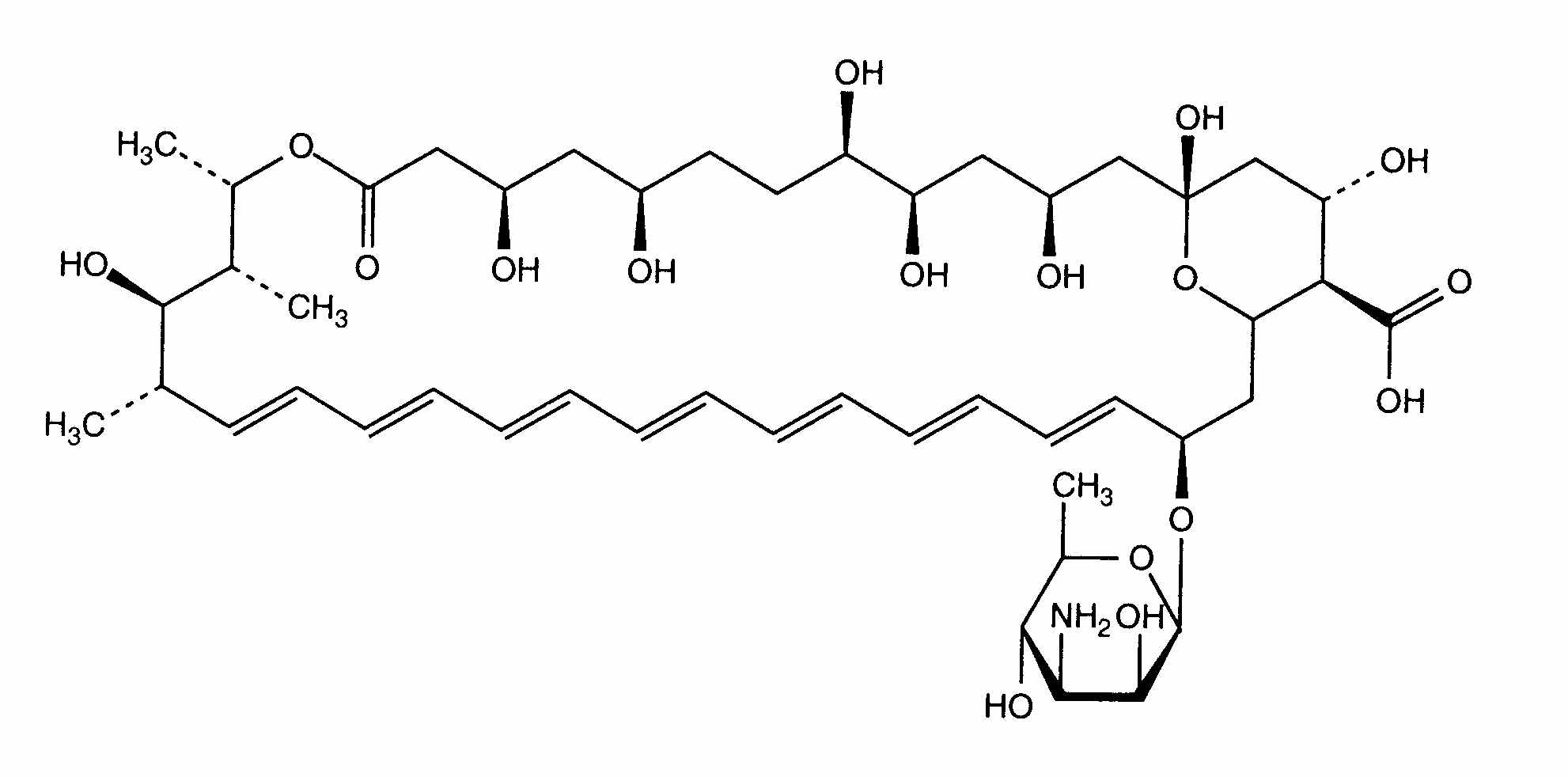
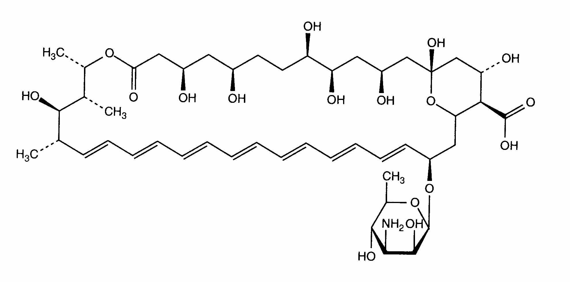
   Formula chimica  

Soluţie orală
Stabilitatea in amestec   Soluţie orală   Stabilitatea in amestec : Amphotericin B      
Continut Excipient Molecula (substanta activa) Temperatura Conservare Durata stabilității Bibiografie
Sticla din plastic
metilparaben 9,5 mg
propilparaben 3 mg
benzoat de sodiu 10 mg
Metabisulfit de sodiu 7,5 mg
Fosfat de sodiu 132,8 mg
KCl 29,4 mg
Na2HPO4 52, mg
Apă purificată >> 10 ml
Ampho-Moronal® 5 ml
Soluţie orală   Amphotericin B praf500 mg  ® = ?
Soluţie orală   Colistin sulfate praf118 mg  ® = ?
Soluţie orală   Tobramycin sulfate praf121,75 mg  ® = ?
2-8°C
180 Ziua
Ferit de lumina 3685

  Mentions Légales