Last update :
31/03/2026
Antifungal   Amphotericin B   
Oral solution
aerosol Eye-drops injection Mouthwash
Stability of pharmaceutical preparations Stability of mixtures Factors which affect stability Compatibility References pdf
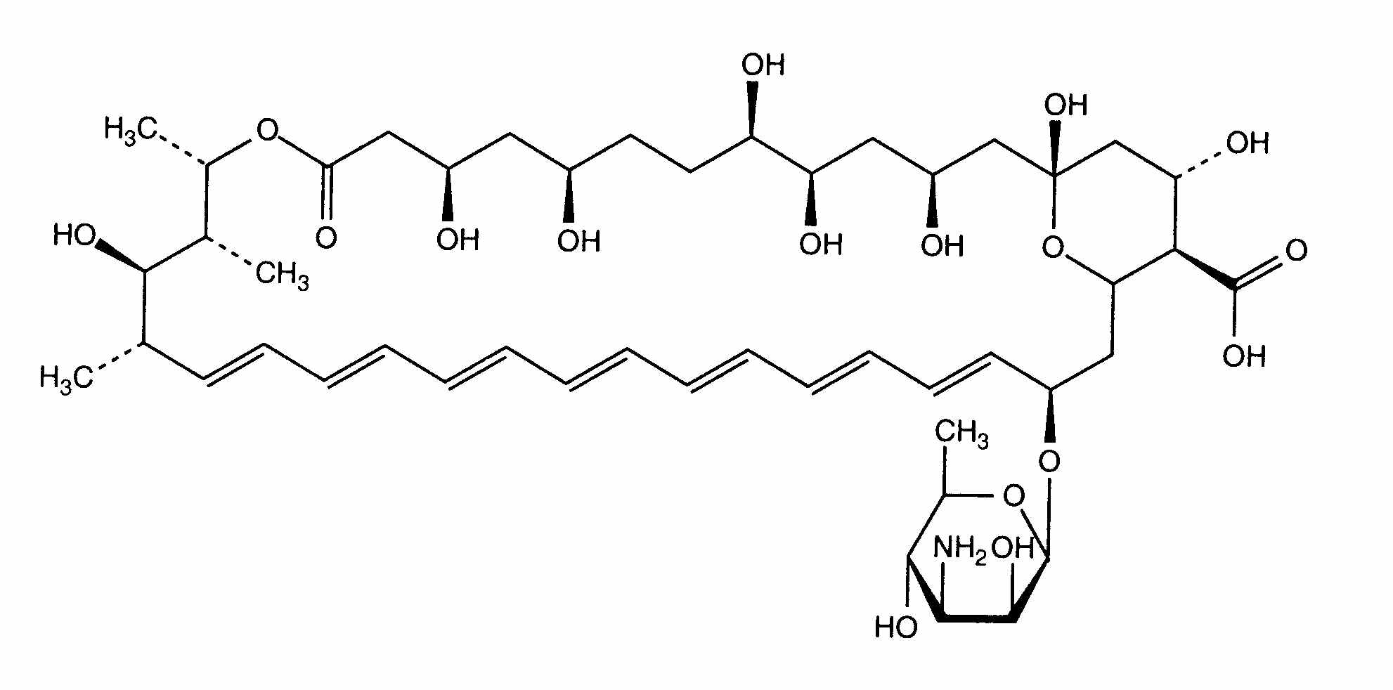
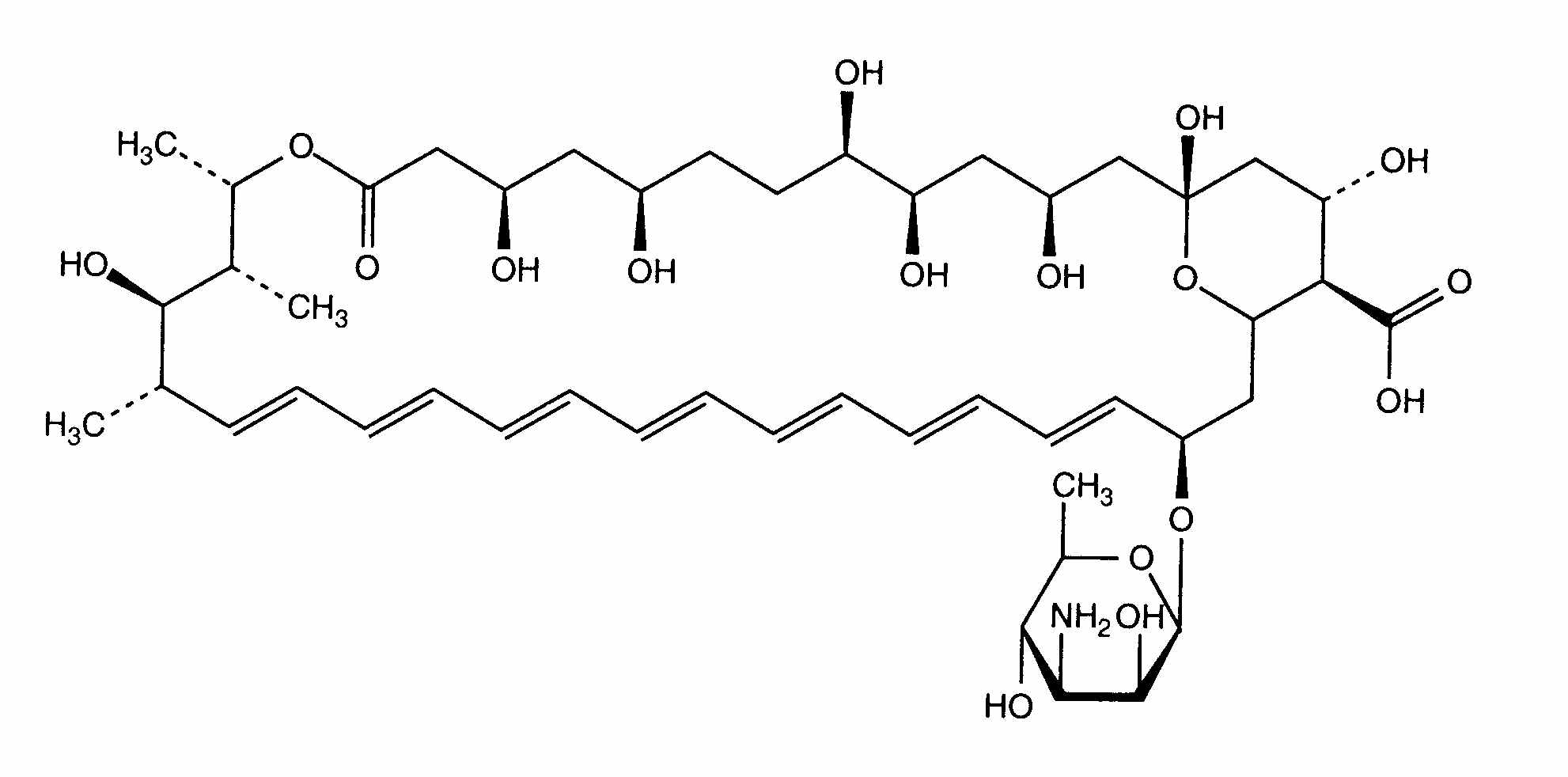
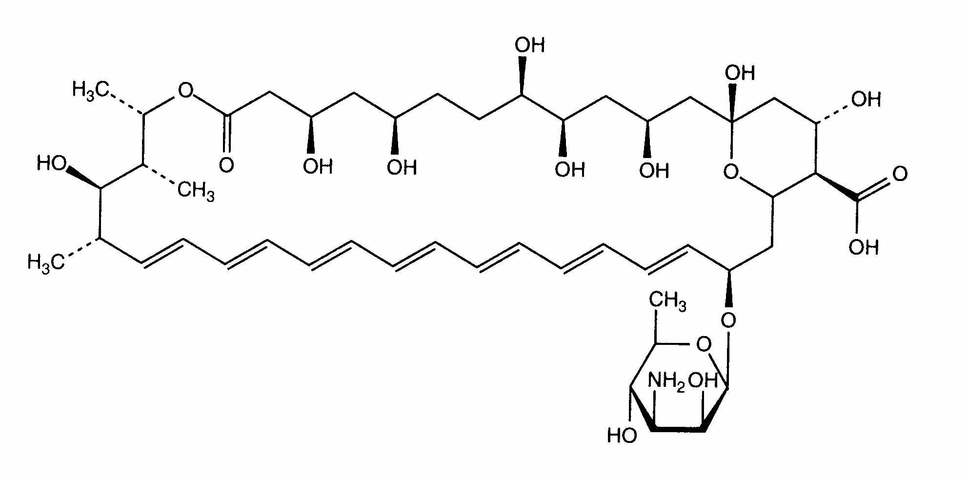
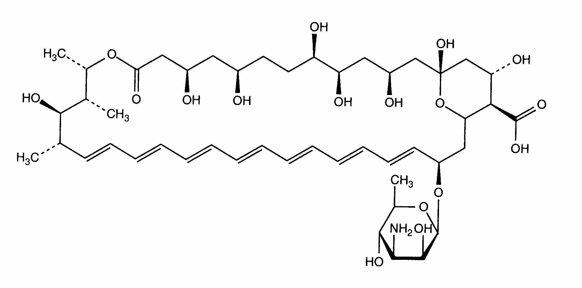
   Chemical structure  

Oral solution
Stability of mixtures   Oral solution   Stability of mixtures : Amphotericin B      
Container excipient Compound Temperature Storage Duration of stability References
plastic bottle
methylparaben 9,5 mg
Propylparaben 3 mg
Sodium benzoate 10 mg
Sodium metabisulfite 7,5 mg
Sodium phosphate 132,8 mg
KCl 29,4 mg
Na2HPO4 52, mg
Purified water >> 10 ml
Ampho-Moronal® 5 ml
Oral solution   Amphotericin B powder500 mg  ® = ?
Oral solution   Colistin sulfate powder118 mg  ® = ?
Oral solution   Tobramycin sulfate powder121,75 mg  ® = ?
2-8°C
180 Day
Protect from light 3685

  Mentions Légales