最新更新 :
27/04/2026
抗真菌药   Amphotericin B   
口服剂
气雾剂 注射液 漱口水 眼药水
制剂的稳定性 混合物稳定性 影响稳定性的因素 兼容性 引用文献 PDF
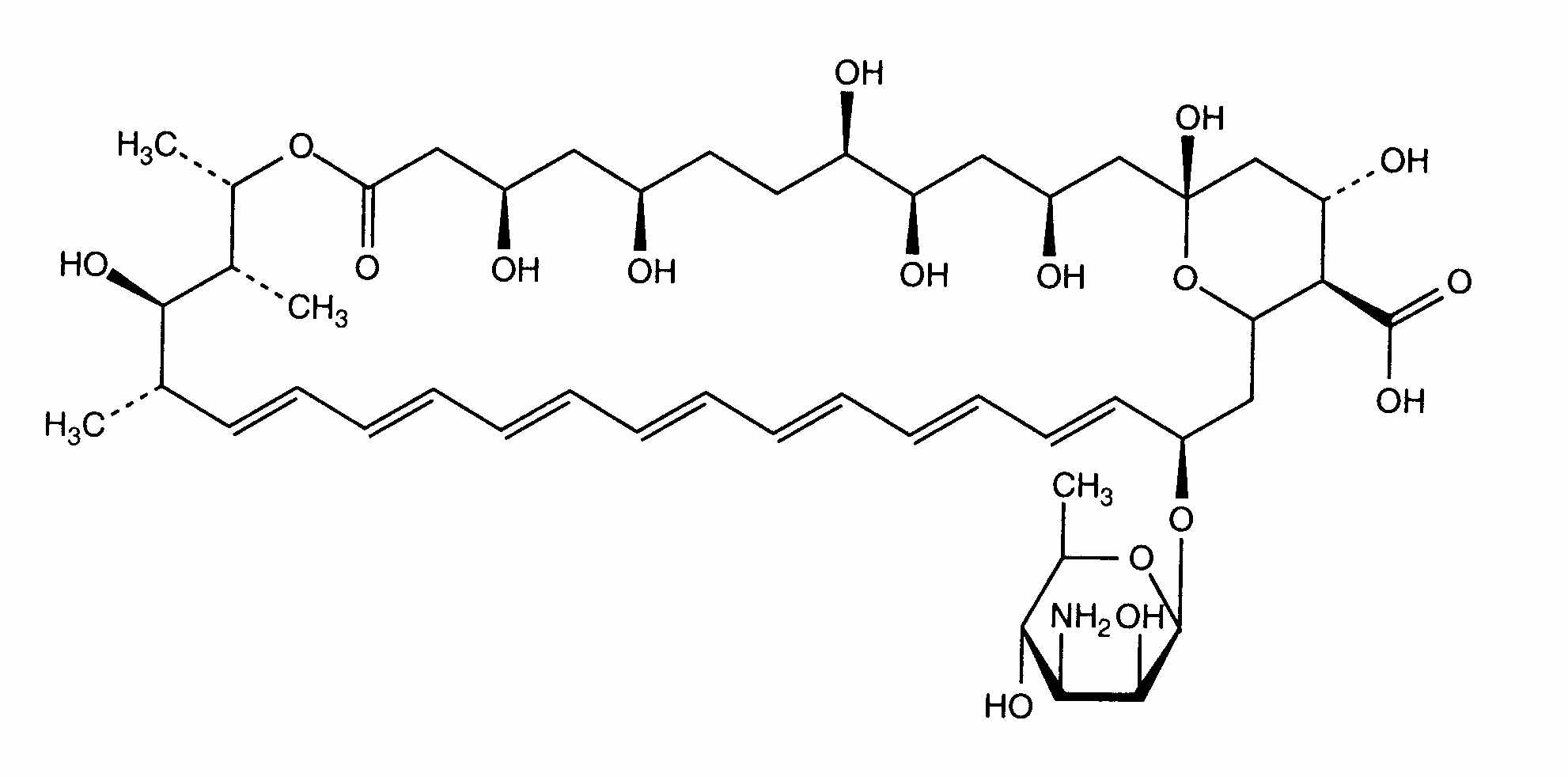
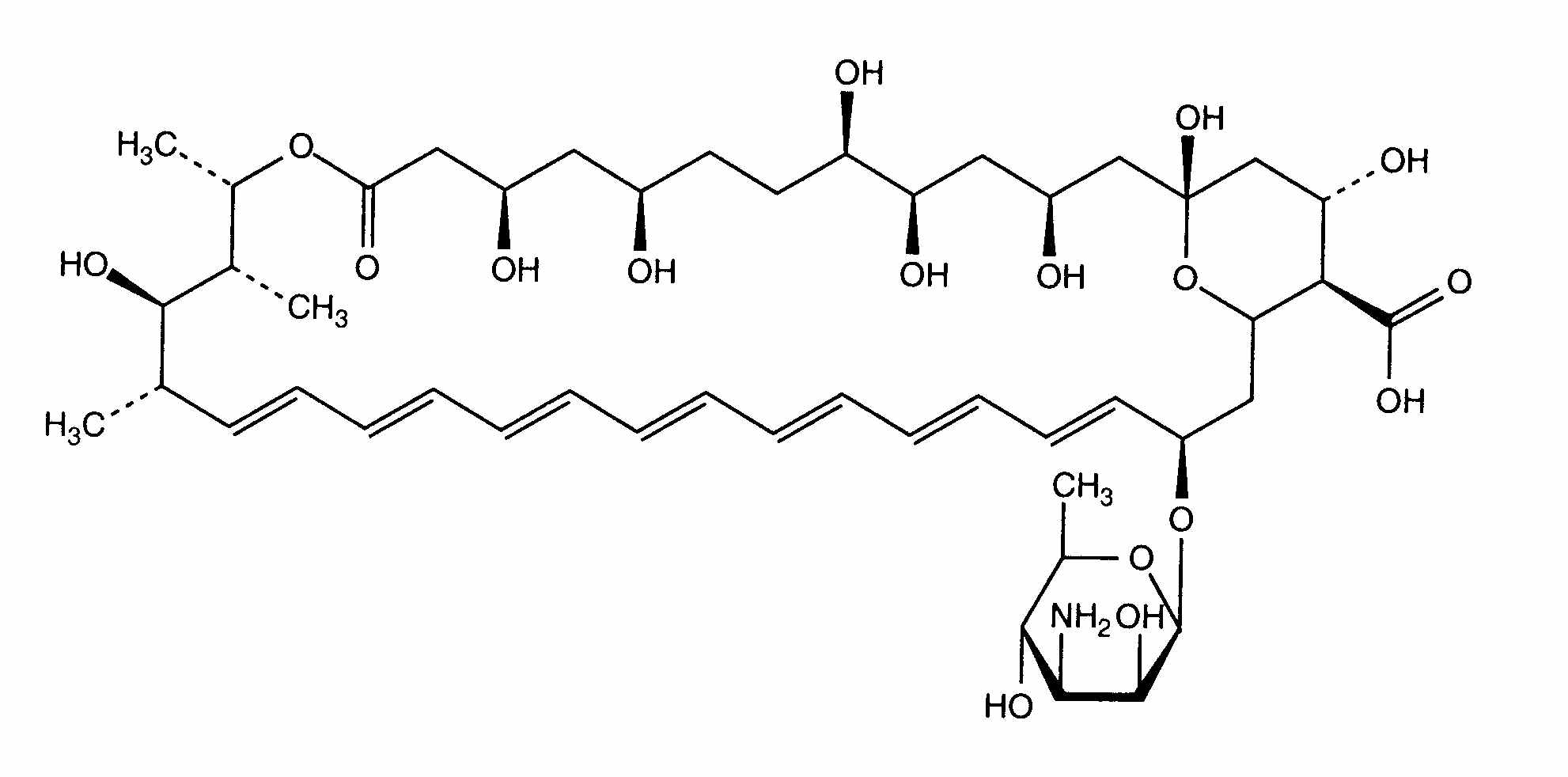
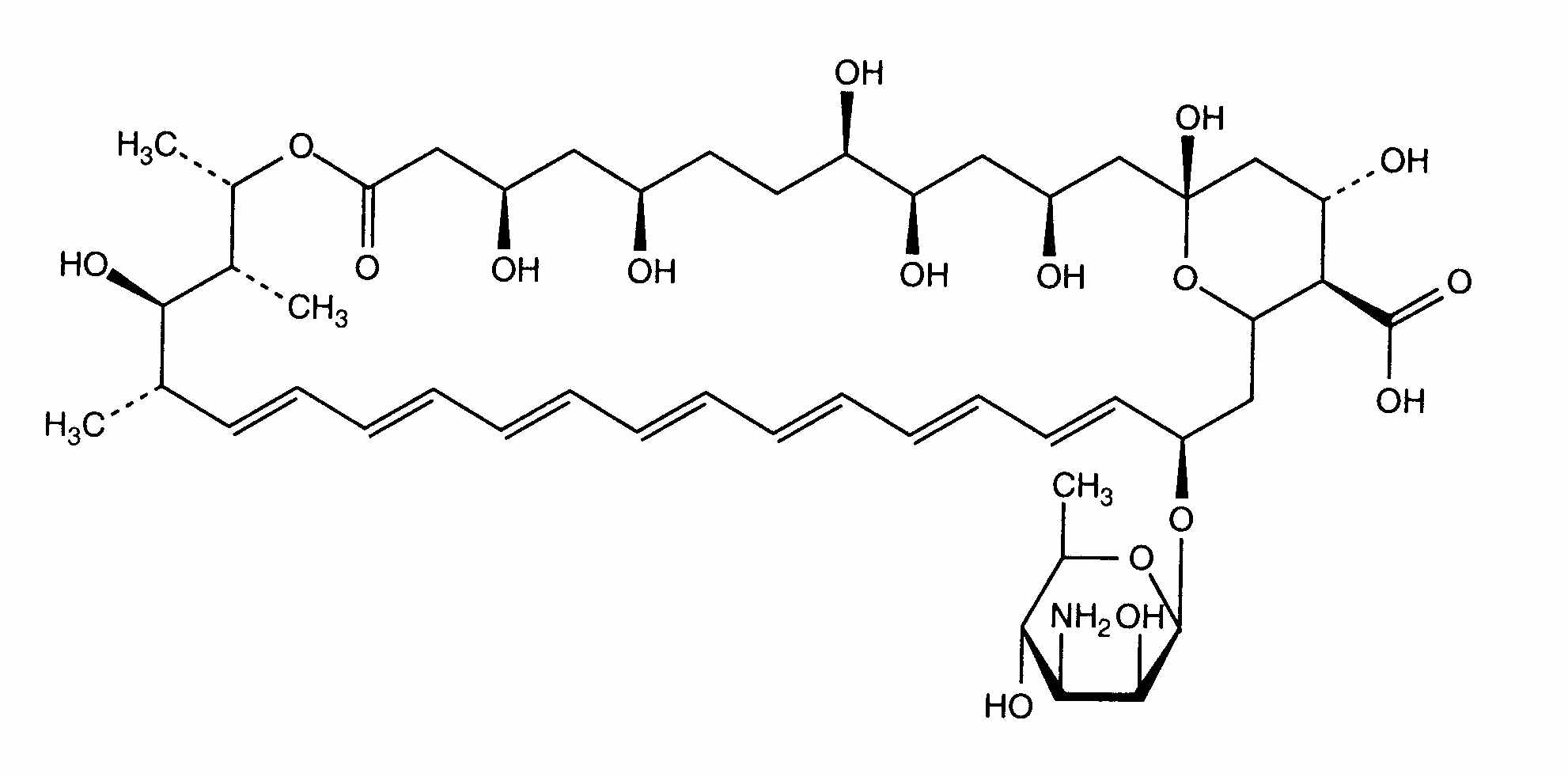
   化学式  

口服剂
混合物稳定性   口服剂   混合物稳定性 : Amphotericin B      
容器 添加剂 分子 温度 保存 穩定持續時間 引用文献
塑料瓶
对羟基苯甲酸甲酯 9,5 mg
对羟基苯甲酸丙酯 3 mg
苯甲酸钠 10 mg
焦亚硫酸钠 7,5 mg
磷酸钠 132,8 mg
KCl 29,4 mg
Na2HPO4 52, mg
净化水 >> 10 ml
Ampho-Moronal® 5 ml
口服剂   Amphotericin B 粉剂500 mg  ® = ?
口服剂   Colistin sulfate 粉剂118 mg  ® = ?
口服剂   Tobramycin sulfate 粉剂121,75 mg  ® = ?
2-8°C
180 白天
避光 3685

  Mentions Légales