Zadnji put ažurirano :
31/03/2026
antifungicid   Amphotericin B   
oralna otopina
aerosol injekcija kapi za oko otopina za ispiranje usne šupljine
Stabilnost farmaceutskih pripravaka Stabilnost mješavine Stabilizacijski faktor Kompatibilnosti Bibliografija pdf
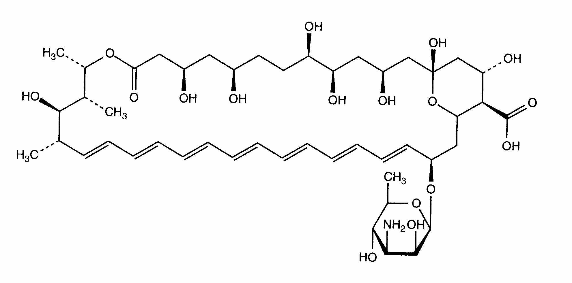
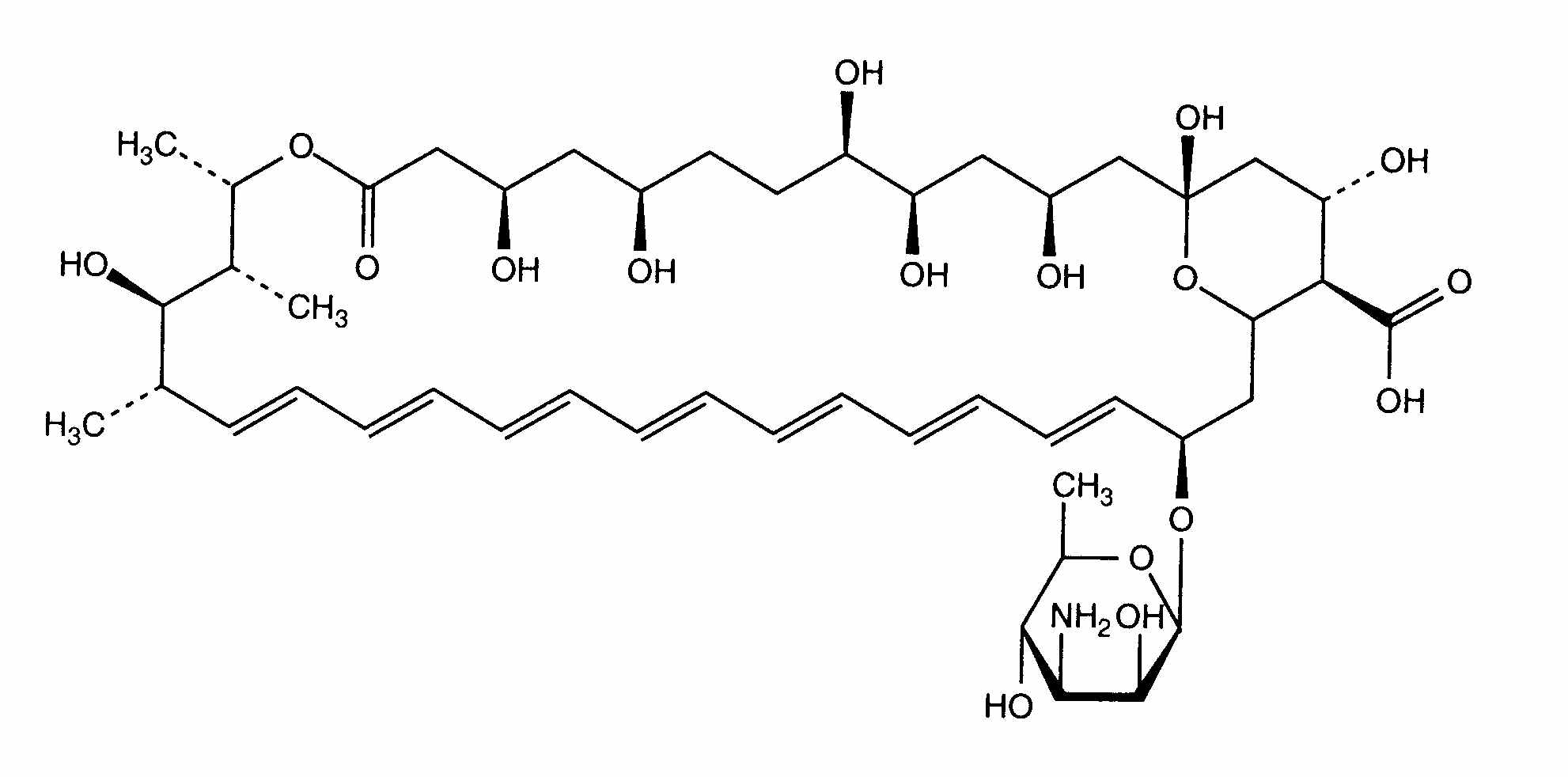
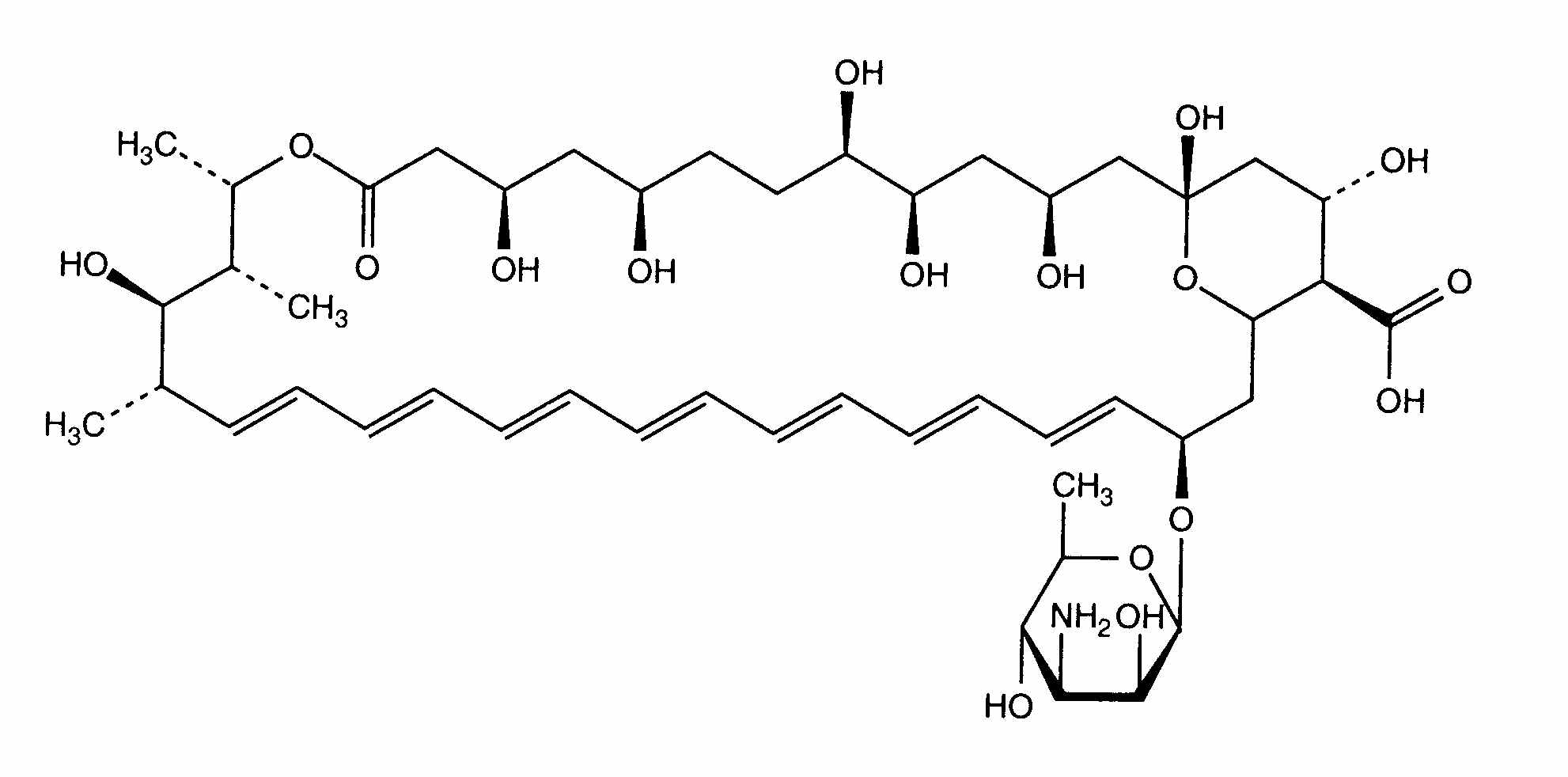
   Kemijska struktura  

oralna otopina
Stabilnost mješavine   oralna otopina     Stabilnost mješavine : Amphotericin B      
Kontejner pomoćna tvar molekula temperatura Konzerviranje Trajanje stabilnosti Bibliografija
plastična boca
Metilparaben 9,5 mg
Propilparaben 3 mg
natrij benzoat 10 mg
Natrijev metabisulfit 7,5 mg
Natrijev fosfat 132,8 mg
KCl 29,4 mg
Na2HPO4 52, mg
pročišćena voda >> 10 ml
Ampho-Moronal® 5 ml
oralna otopina    Amphotericin B prašak500 mg  ® = ?
oralna otopina    Colistin sulfate prašak118 mg  ® = ?
oralna otopina    Tobramycin sulfate prašak121,75 mg  ® = ?
2-8°C
180 dan
Zaštićeno od svjetlosti 3685

  Mentions Légales