Utolsó frissítés :
27/04/2026
Gombaellenes szer   Amphotericin B   
belsőleges oldat
aeroszol Injekció Szájvíz Szemcsepp
Stabilitása gyógyszerészeti készítmények A keverékek stabilitása Stabilitást befolyásoló tényezők Kompatibilitás Irodalom pdf
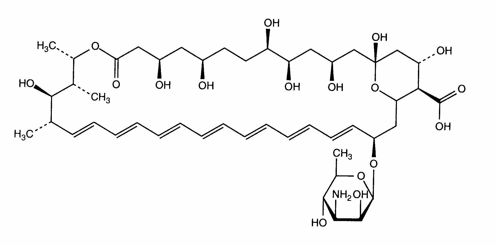
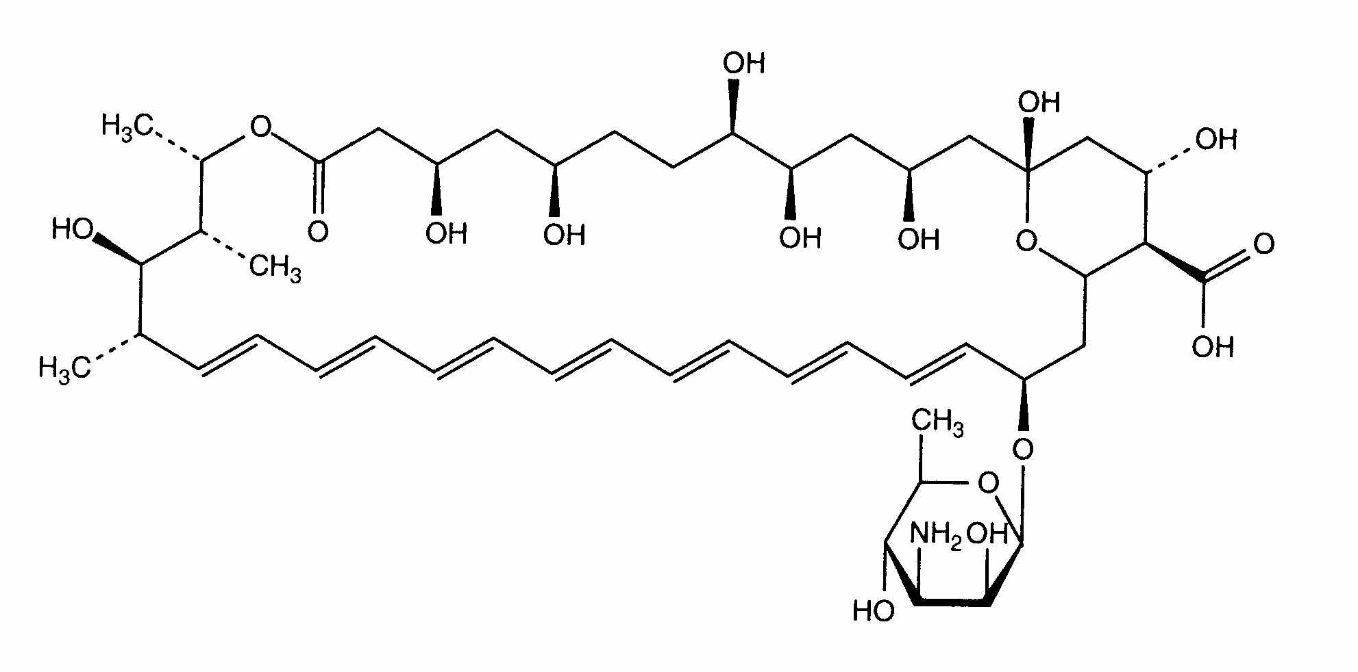
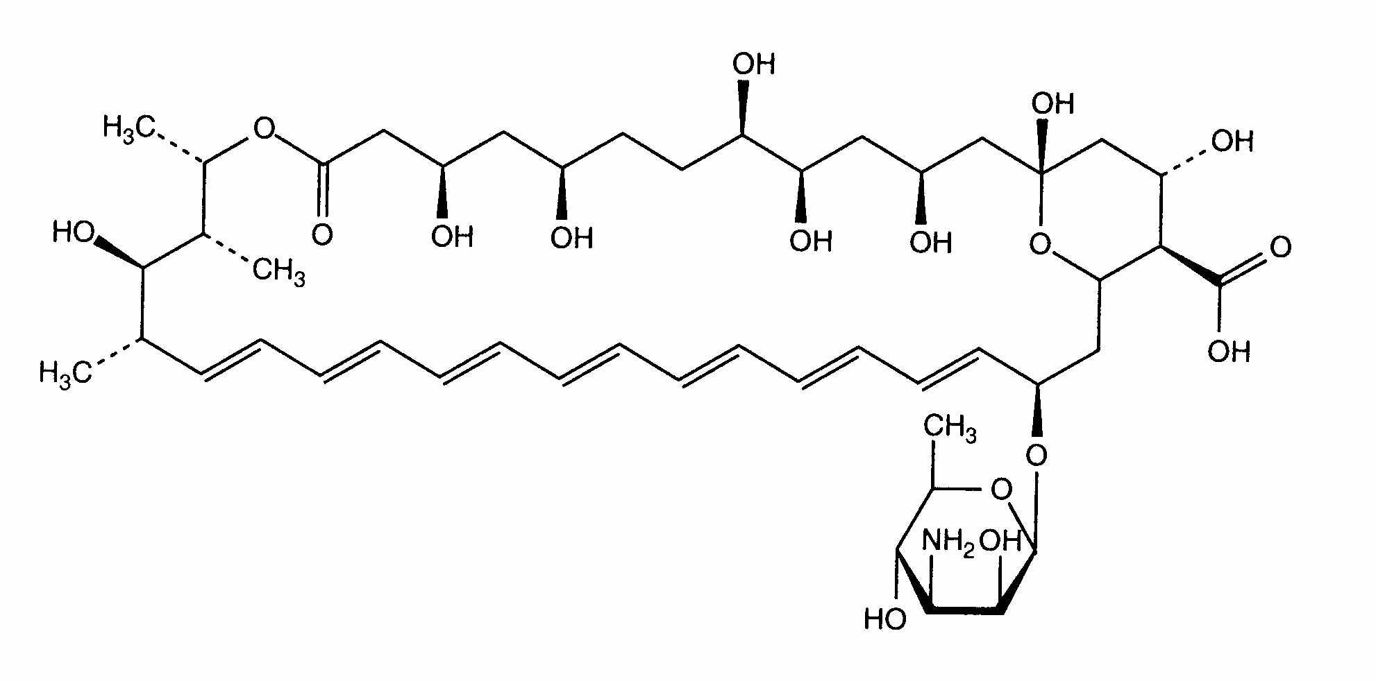
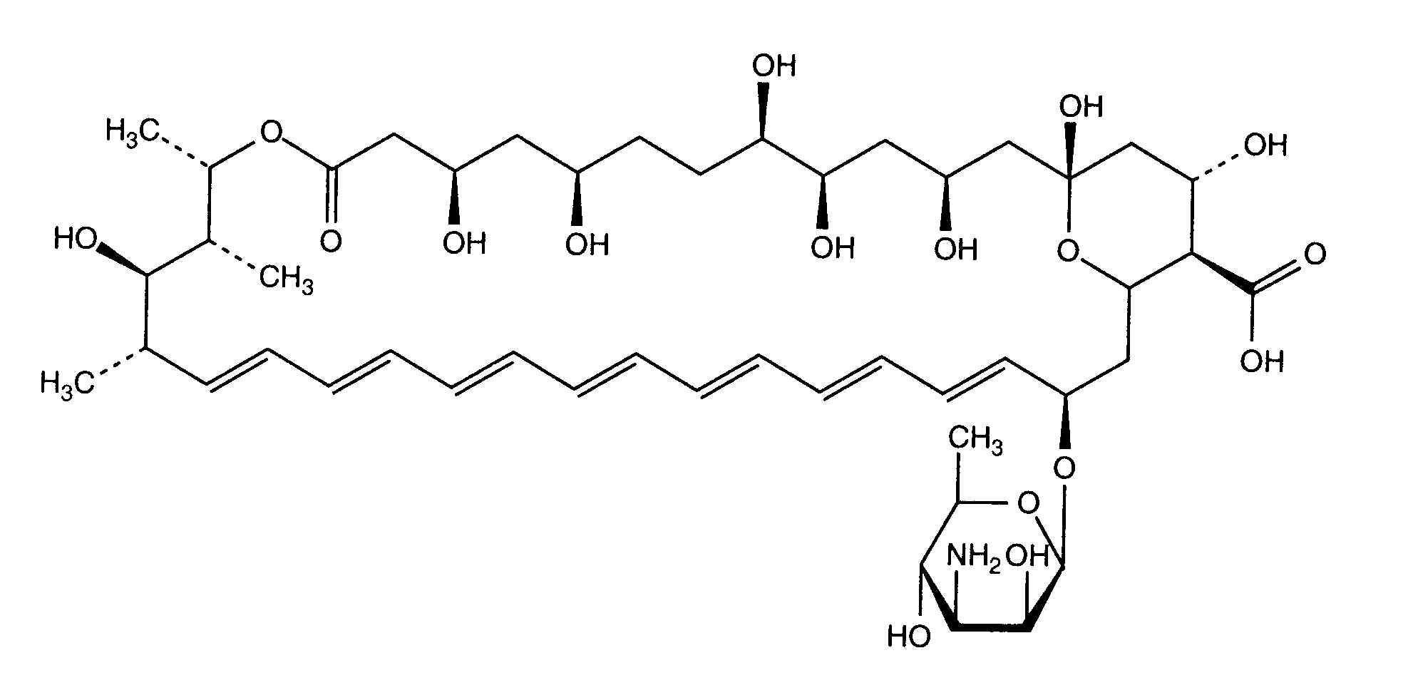
   Kémiai szerkezet   

belsőleges oldat
A keverékek stabilitása   belsőleges oldat   A keverékek stabilitása : Amphotericin B      
Csomagolás segédanyag Vegyület Hőmérséklet Tárolás A stabilitás időtartama Irodalom
műanyag flakon
metil-parahidroxibenzoát 9,5 mg
Propylparaben 3 mg
nátrium-benzoát 10 mg
Nátrium-metabiszulfit 7,5 mg
Nátrium-foszfát 132,8 mg
KCl 29,4 mg
Na2HPO4 52, mg
Tisztított víz >> 10 ml
Ampho-Moronal® 5 ml
belsőleges oldat   Amphotericin B por500 mg  ® = ?
belsőleges oldat   Colistin sulfate por118 mg  ® = ?
belsőleges oldat   Tobramycin sulfate por121,75 mg  ® = ?
2-8°C
180 Nap
Fénytől védve tartandó 3685

  Mentions Légales