آخر تحديث :
31/03/2026
مضاد للفطريات   Amphotericin B   
عن طريق الفم
الأيروصولات حقن غسول الفم قطرات العين
استقرار المستحضرات الصيدلانية استقرار مخاليط العوامل التي تؤثر على الاستقرار التوافق مراجع pdf
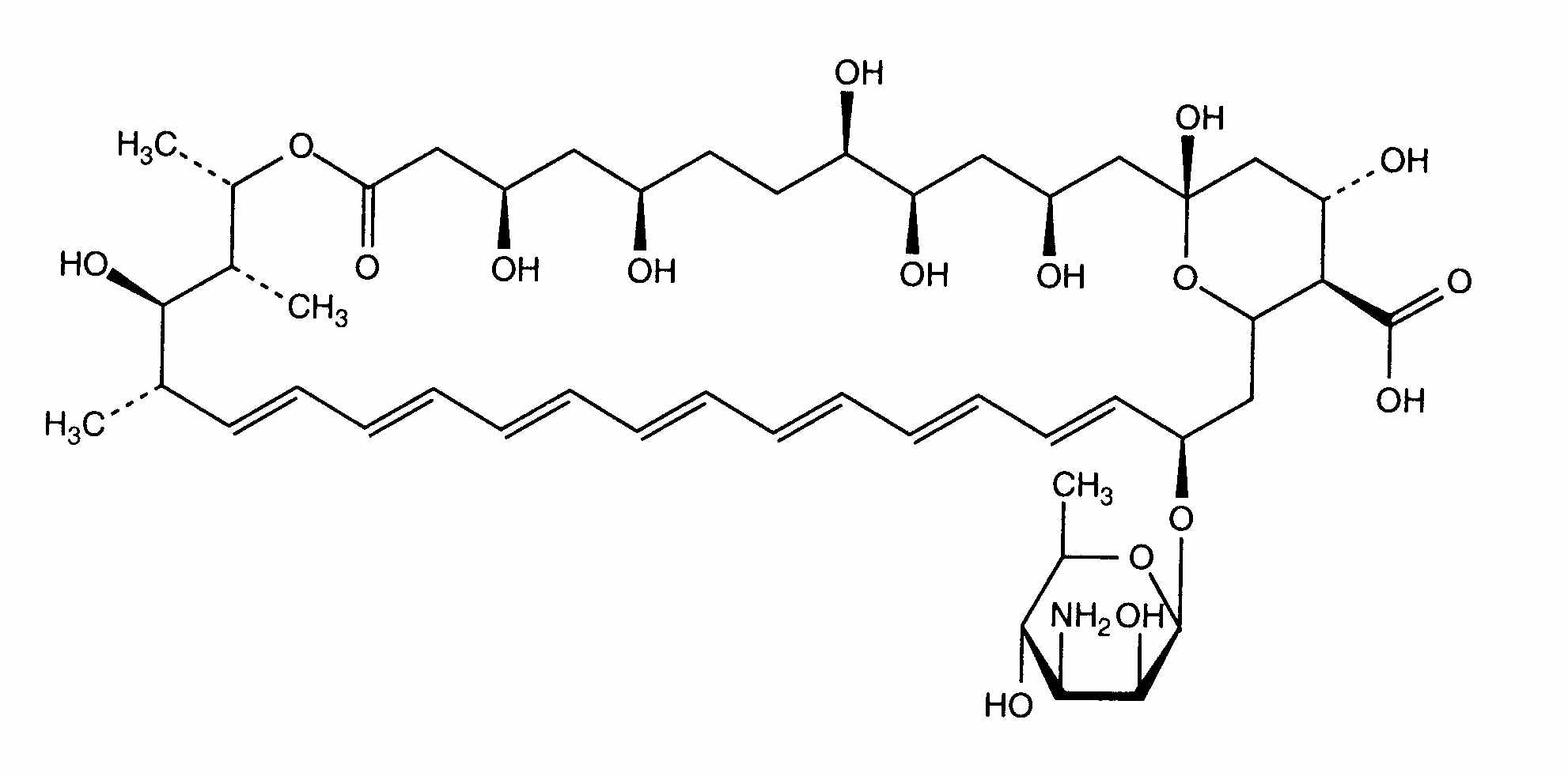
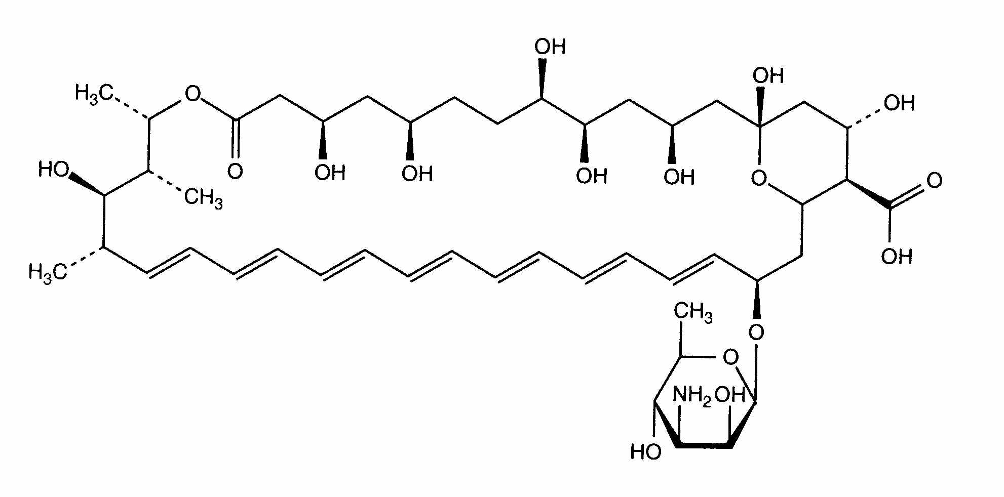
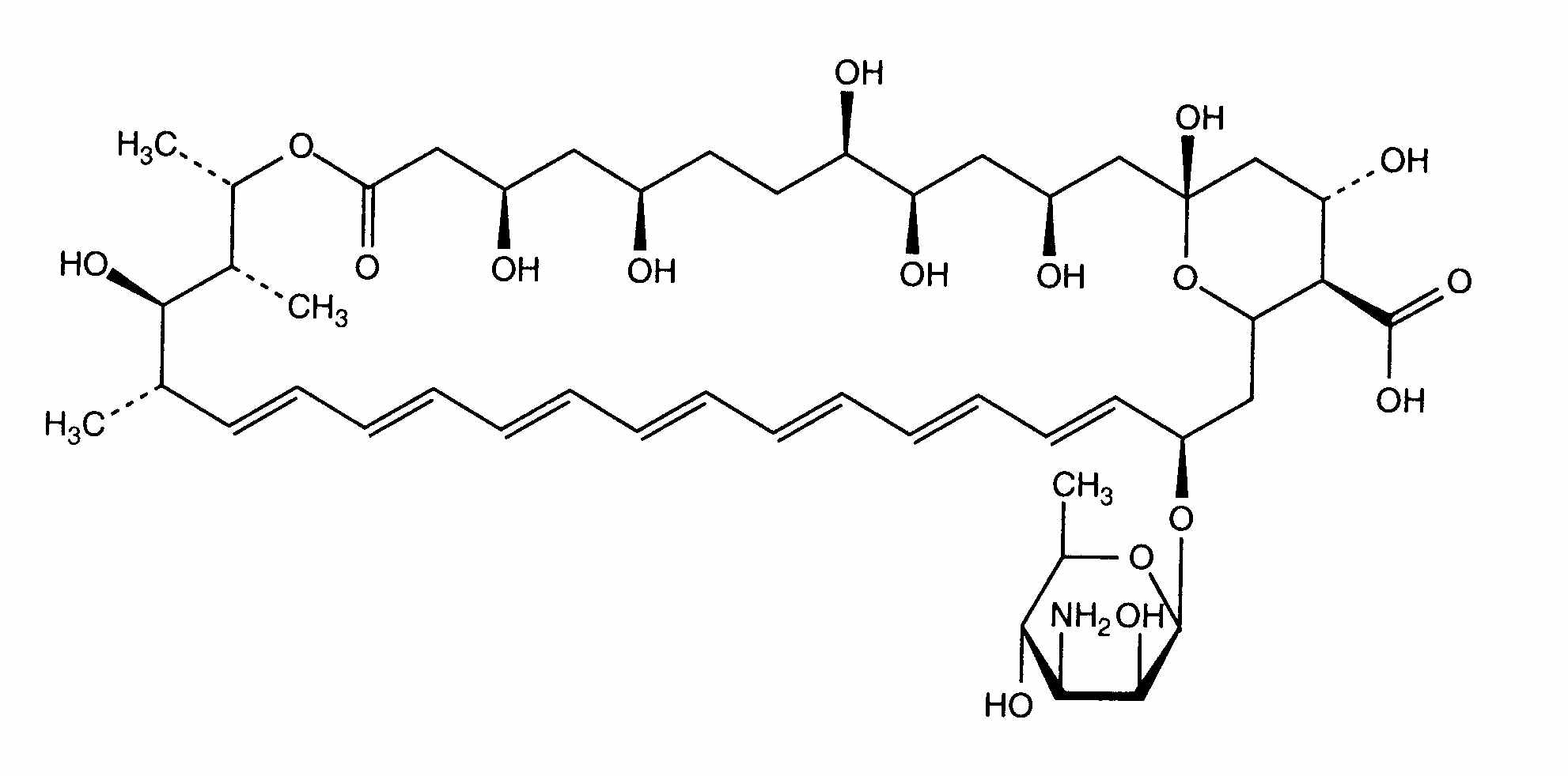
   التركيب الكيميائي  

عن طريق الفم
استقرار مخاليط   عن طريق الفم     استقرار مخاليط : Amphotericin B      
حاوية الاضافات مركب درجة الحرارة تخزين مدة الاستقرار مراجع
زجاجة من البلاستيك
ميثيل 9,5 mg
بروبيل 3 mg
بنزوات الصوديوم 10 mg
الصوديوم ميتابيسلفيت 7,5 mg
فوسفات الصوديوم 132,8 mg
بوكل 29,4 mg
Na2HPO4 52, mg
تنقية المياه >> 10 ml
Ampho-Moronal® 5 ml
عن طريق الفم    Amphotericin B مسحوق500 mg  ® = ?
عن طريق الفم    Colistin sulfate مسحوق118 mg  ® = ?
عن طريق الفم    Tobramycin sulfate مسحوق121,75 mg  ® = ?
2-8°C
180 يوم
بعيدا عن الضوء 3685

  Mentions Légales