Ostatnia aktualizacja :
31/03/2026
Lek przeciwgrzybiczny   Amphotericin B   
Roztwór doustny
Aerozol Injekcje Krople oczne Roztwór do płukania gardła
Stabilność preparatów farmaceutycznych Trwałość w mieszaninie Czynnik wpływający na trwałość Zgodność Bibliografia pdf
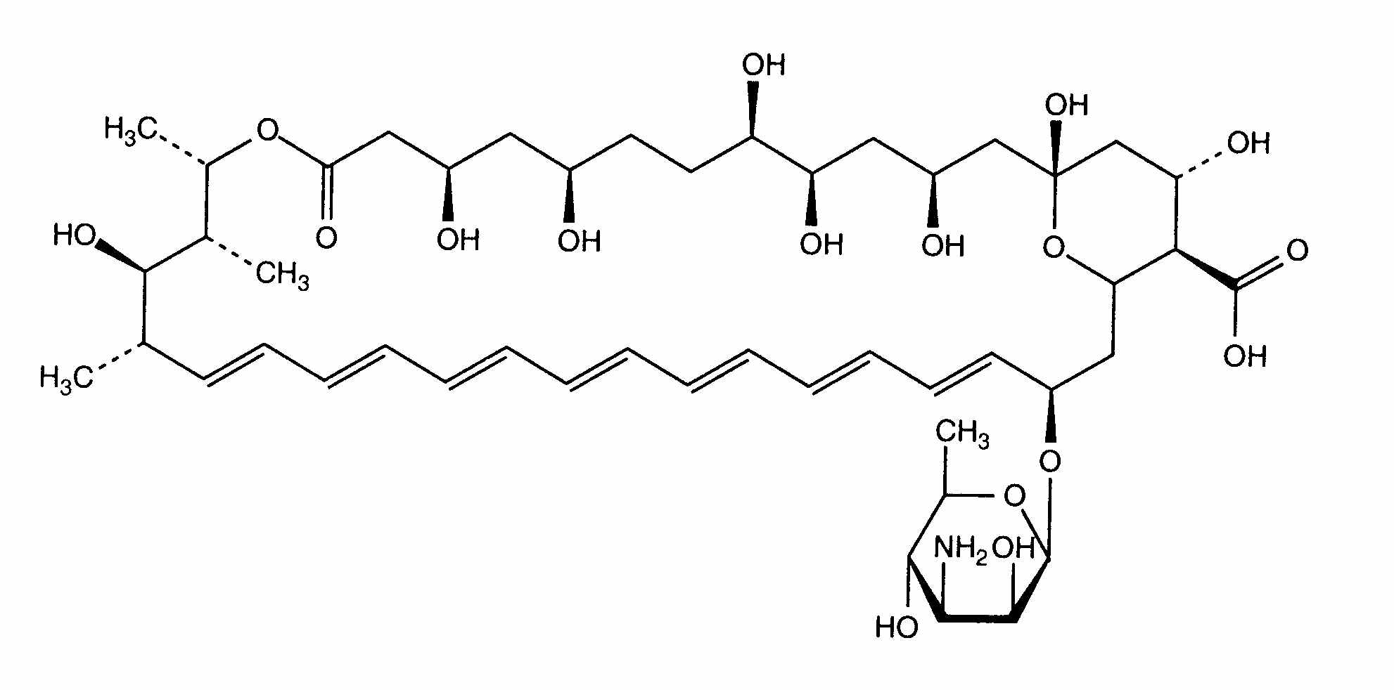
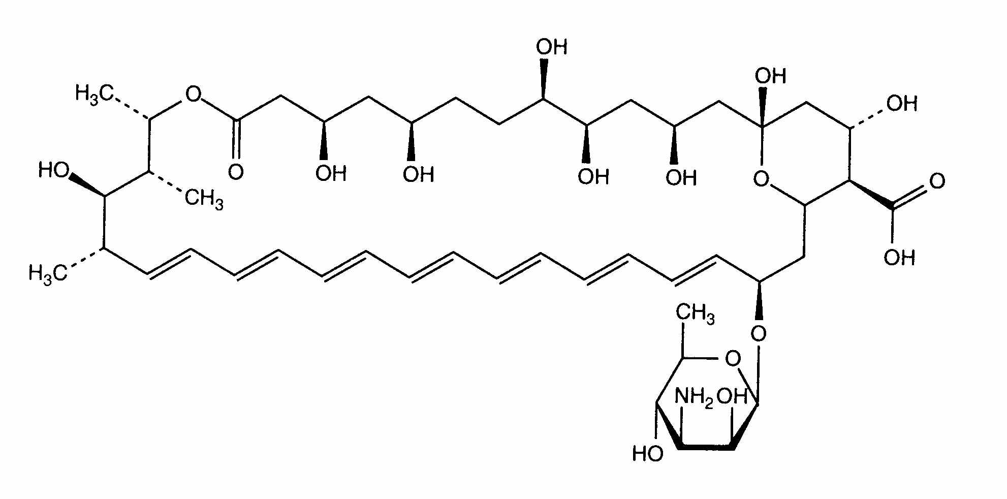
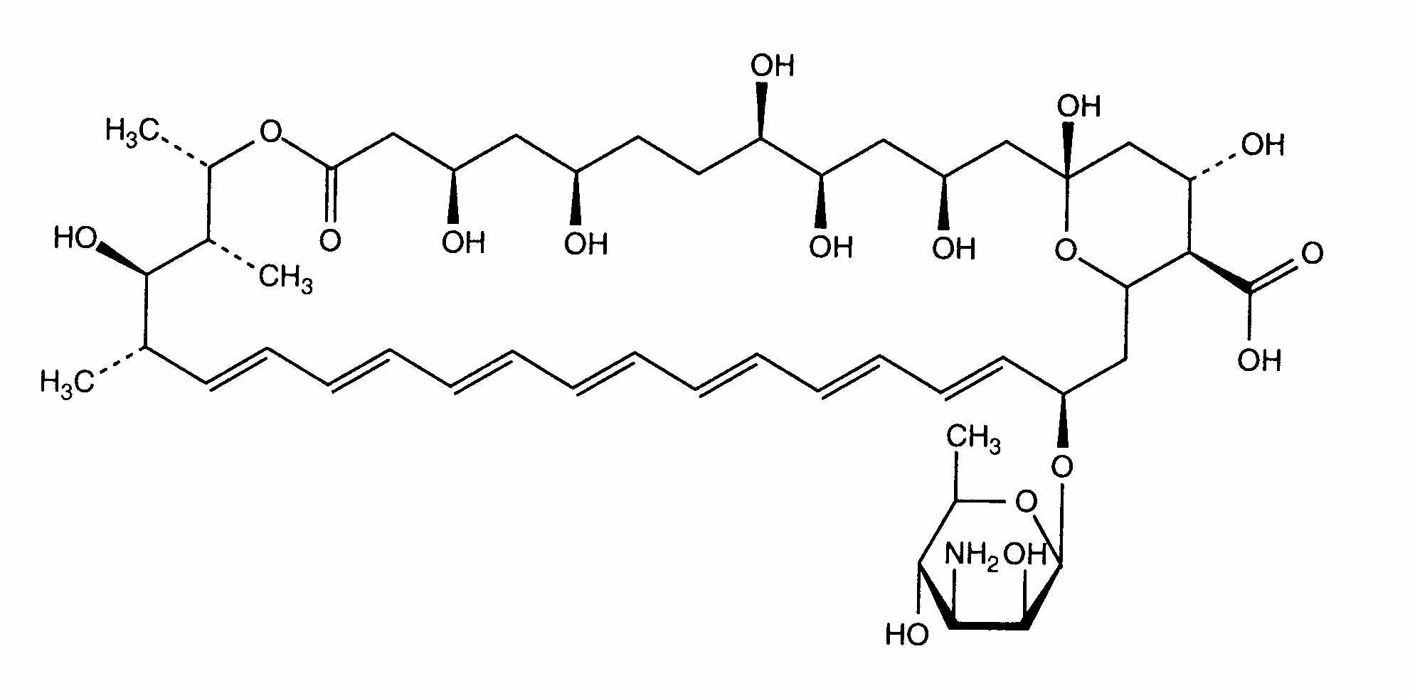
   Struktura chemiczna  

Roztwór doustny
Trwałość w mieszaninie   Roztwór doustny   Trwałość w mieszaninie : Amphotericin B      
Pojemnik Substancja pomocniczna Związek Temperatura Przechowywanie Czas trwania stabilności Bibliografia
Butelka plastikowa
Metyloparaben 9,5 mg
Propyloparaben 3 mg
benzoesan sodu 10 mg
Pirosiarczyn sodu 7,5 mg
Fosforan sodu 132,8 mg
KCl 29,4 mg
Na2HPO4 52, mg
Woda oczyszczona >> 10 ml
Ampho-Moronal® 5 ml
Roztwór doustny   Amphotericin B Proszek500 mg  ® = ?
Roztwór doustny   Colistin sulfate Proszek118 mg  ® = ?
Roztwór doustny   Tobramycin sulfate Proszek121,75 mg  ® = ?
2-8°C
180 Dzień
Chronić od światła 3685

  Mentions Légales