Последно актуализиране :
27/04/2026
Противогъбично средство   Amphotericin B   
Орален разтвор
Аерозол Инжекция/Инжекционен Капки за очи Разтвор за уста
Стабилност на лекарствени препарати Стабилност на смеси Фактори, повлияващи стабилността Съвместимост Библиография Pdf
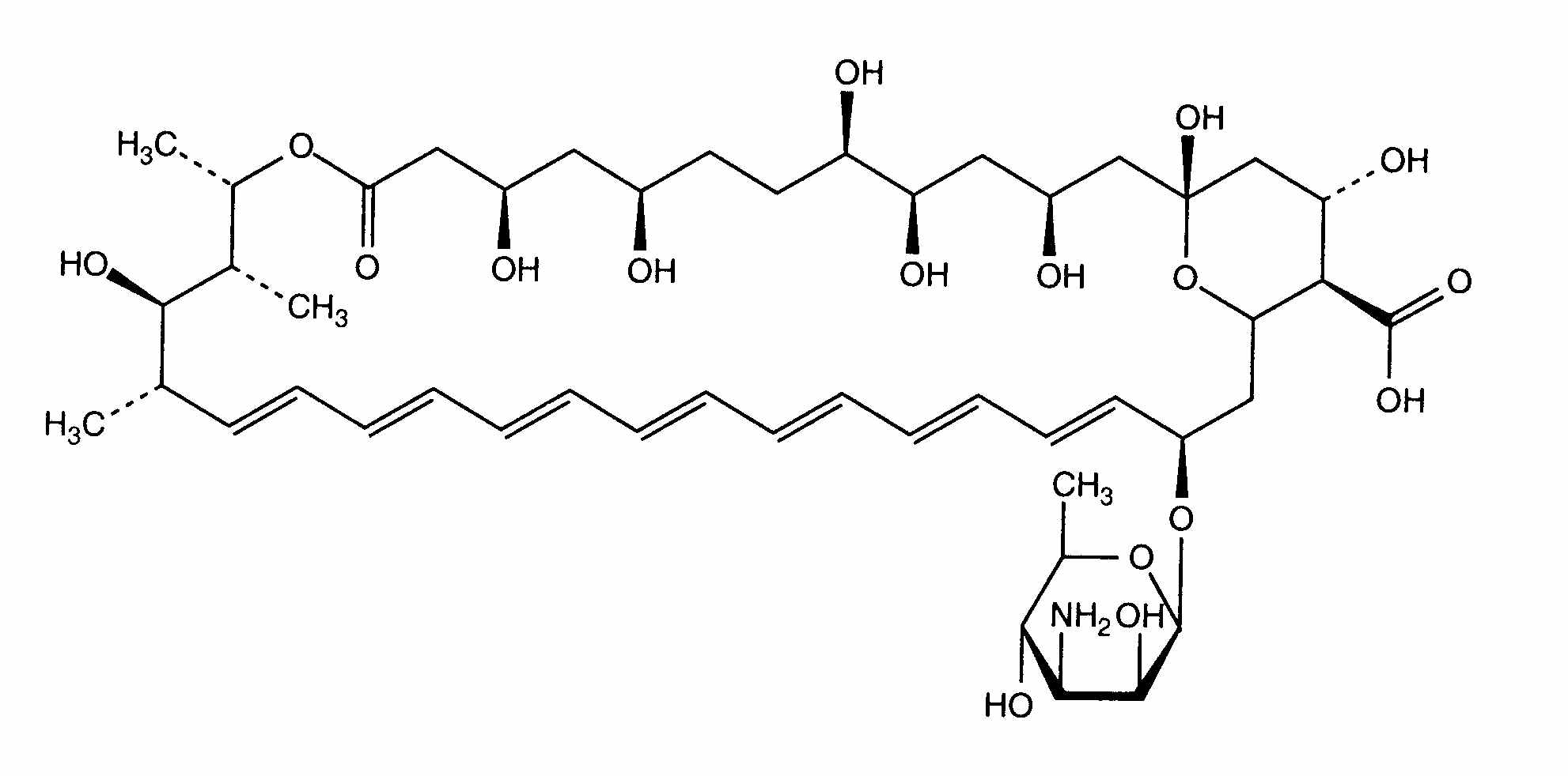
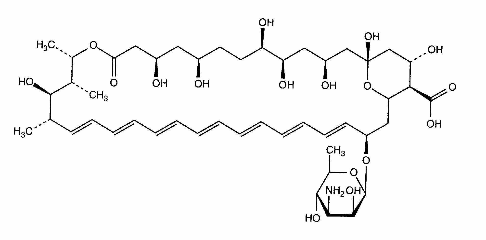
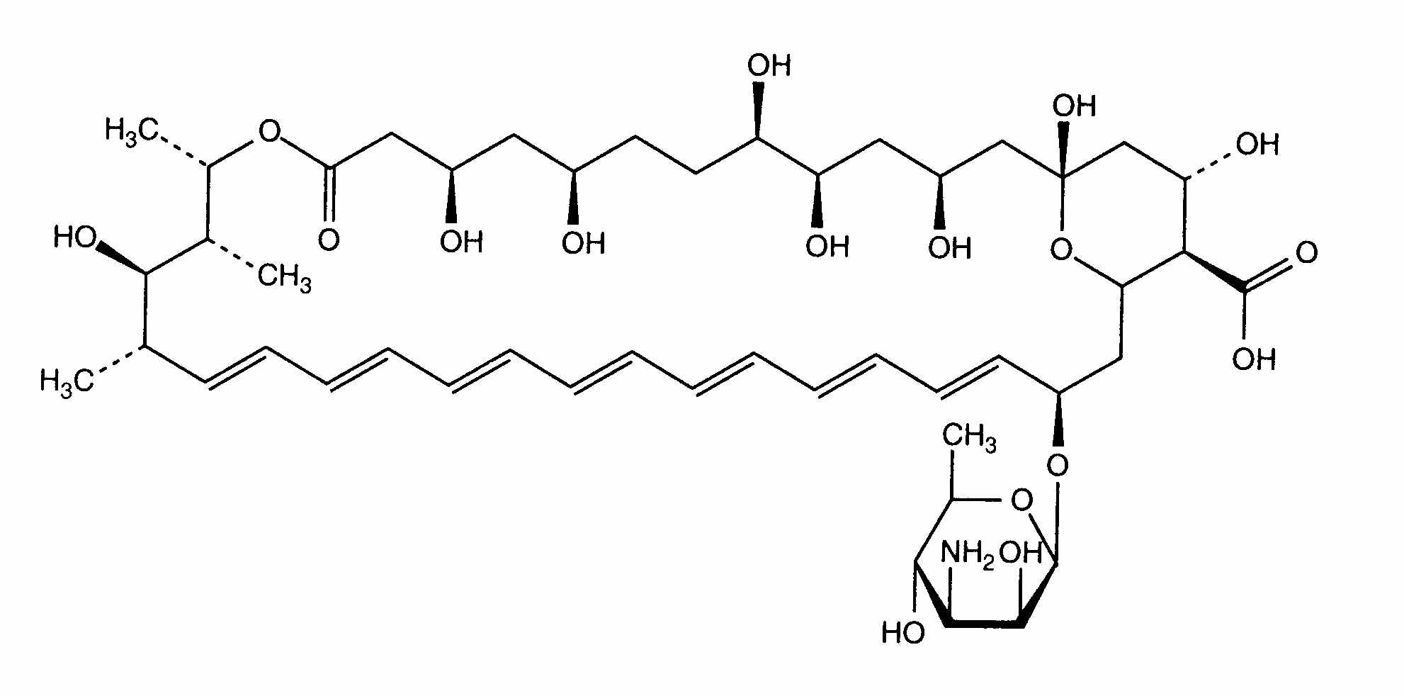
   Химична структура  

Орален разтвор
Стабилност на смеси   Орален разтвор   Стабилност на смеси : Amphotericin B      
Контейнер Помощно вещество Състав / молекула Температура Съхранение Продължителност на стабилността Библиография
Пластмасова бутилка
Метилпарабен 9,5 mg
Пропилпарабен 3 mg
Натриев бензоат 10 mg
Натриев метабисулфит 7,5 mg
Натриев фосфат 132,8 mg
Калиев хлорид 29,4 mg
Na2HPO4 52, mg
Пречистена вода >> 10 ml
Ampho-Moronal® 5 ml
Орален разтвор   Amphotericin B Прах500 mg  ® = ?
Орален разтвор   Colistin sulfate Прах118 mg  ® = ?
Орален разтвор   Tobramycin sulfate Прах121,75 mg  ® = ?
2-8°C
180 Ден
Защита от светлина 3685

  Mentions Légales