Última actualização :
31/03/2026
Antifúngico   Amphotericin B   
Solução Oral
aerossol colutório injetável solução oftálmica
Estabilidade de preparações farmacêuticas Estabilidade em misturas Factores que afectam a sua estabilidade Compatibilidade Bibliografía pdf
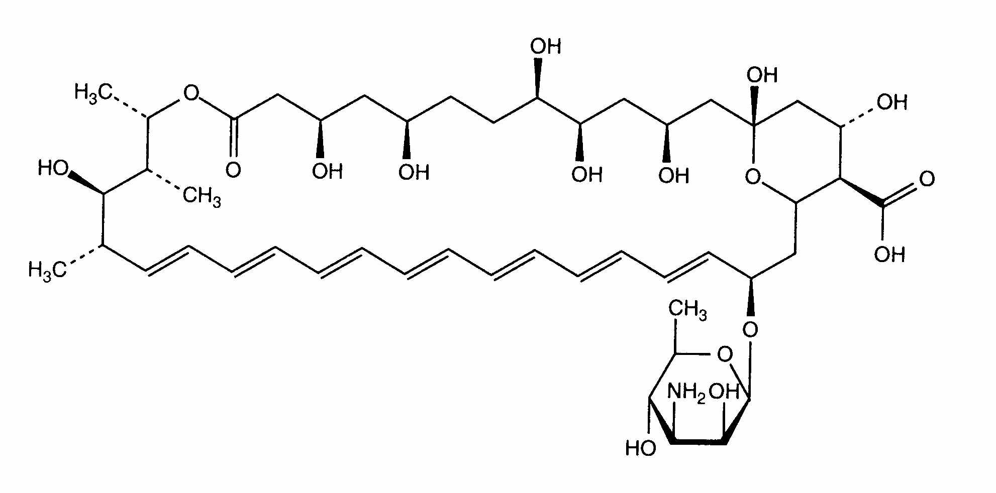
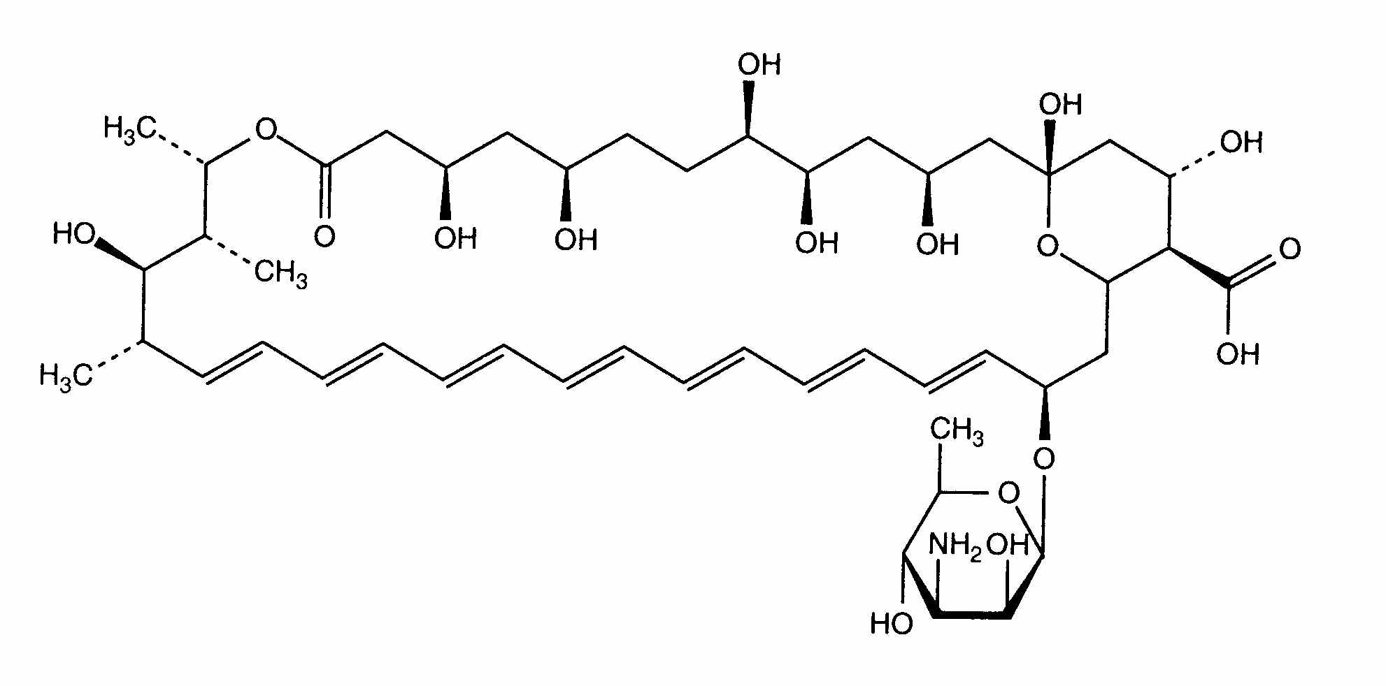
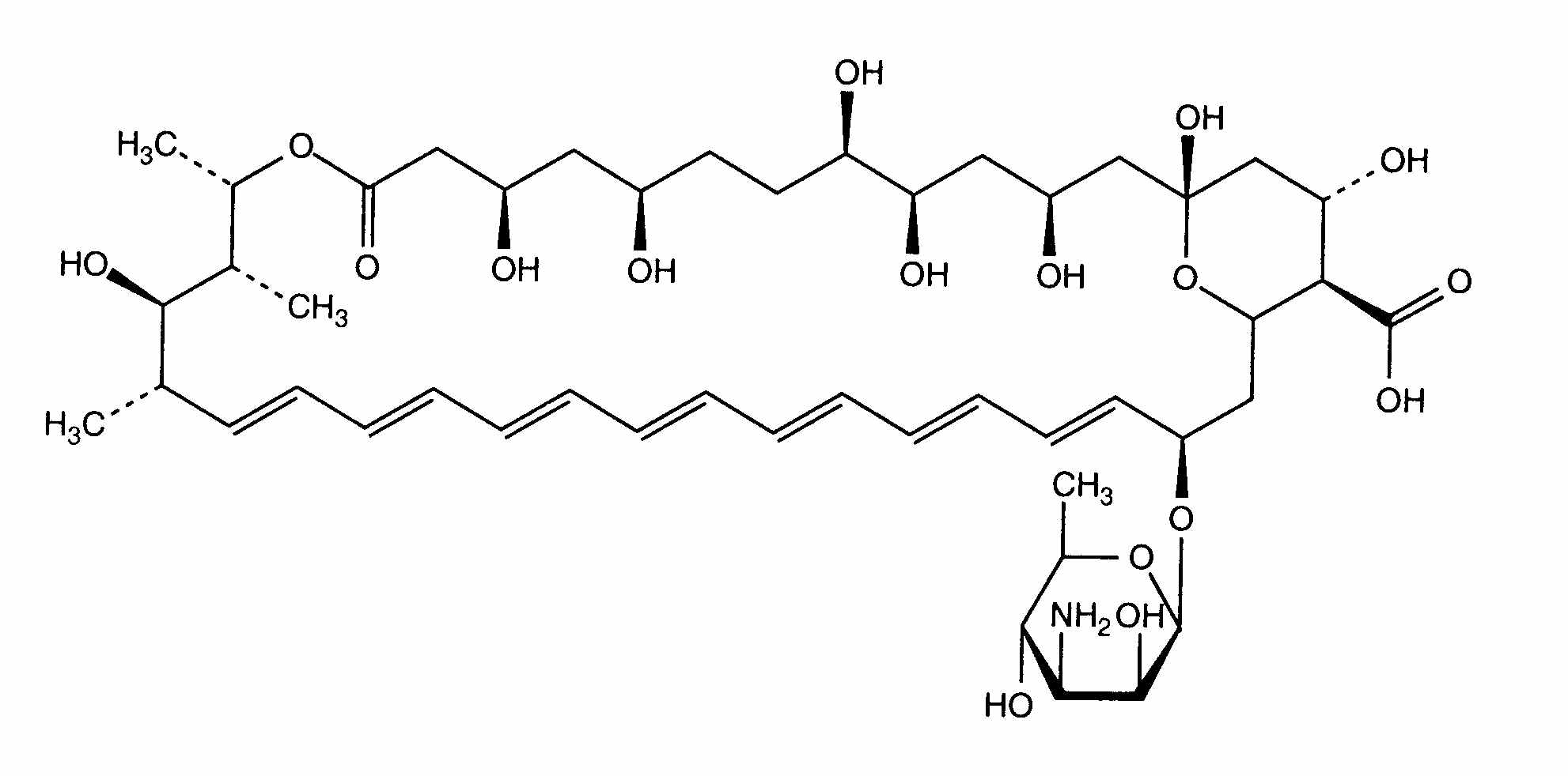
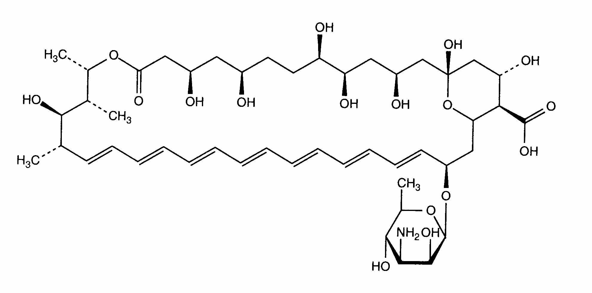
   estrutura química  

Solução Oral
Estabilidade em misturas   Solução Oral   Estabilidade em misturas : Amphotericin B      
Embalagem excipiente molécula temperatura conservação Duração da estabilidade Bibliografia
frasco de plástico
metilparabeno 9,5 mg
propilparabeno 3 mg
benzoato de sódio 10 mg
Metabissulfito de sódio 7,5 mg
Fosfato de sódio 132,8 mg
KCl 29,4 mg
Na2HPO4 52, mg
A água purificada >> 10 ml
Ampho-Moronal® 5 ml
Solução Oral   Amphotericin B pó500 mg  ® = ?
Solução Oral   Colistin sulfate pó118 mg  ® = ?
Solução Oral   Tobramycin sulfate pó121,75 mg  ® = ?
2-8°C
180 dia
ao abrigo da luz 3685

  Mentions Légales