Ultimo aggiornamento :
27/04/2026
Antimicotico   Amphotericin B   
Soluzione orale
Aerosol Collirio Collutorio Iniezione
Stabilità dei preparati farmaceutici Stabilità in miscela Fattori che influenzano la stabilità Compatibilità Bibliografia pdf
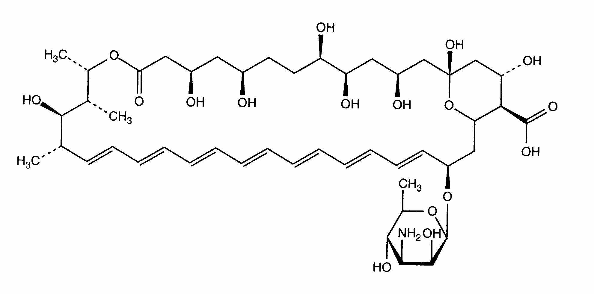
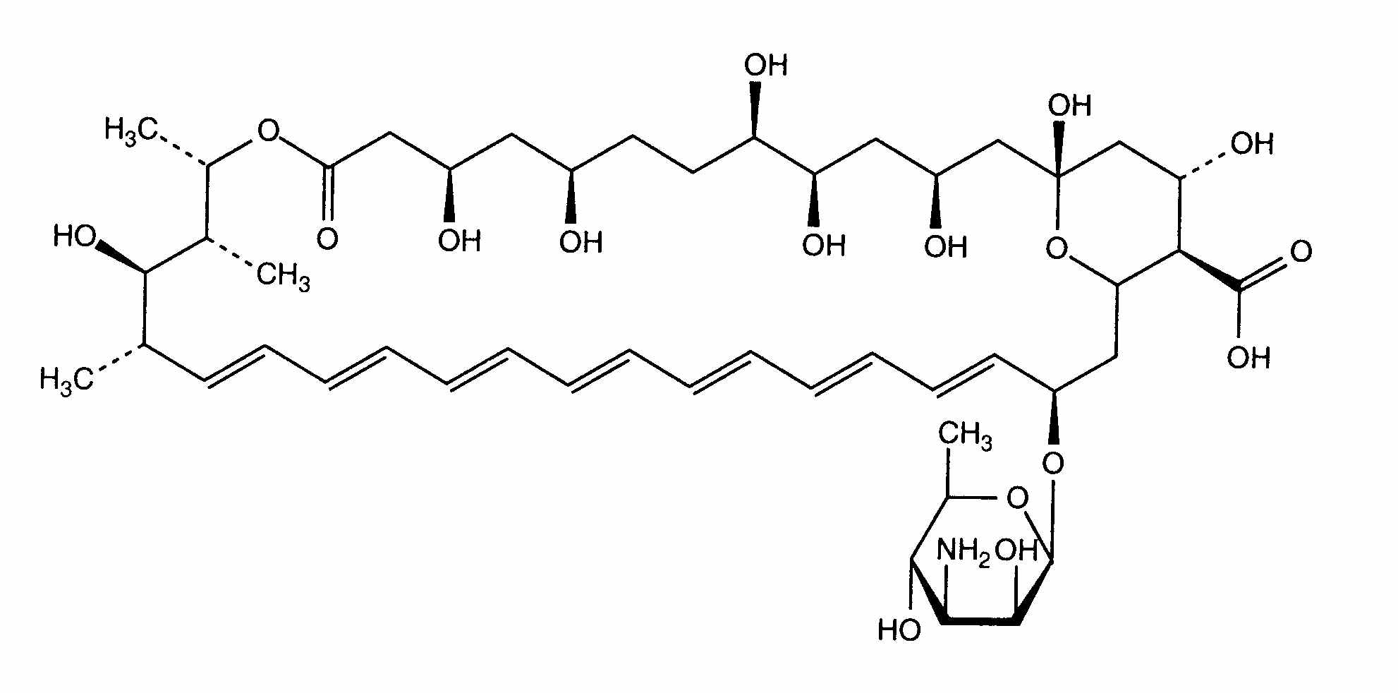
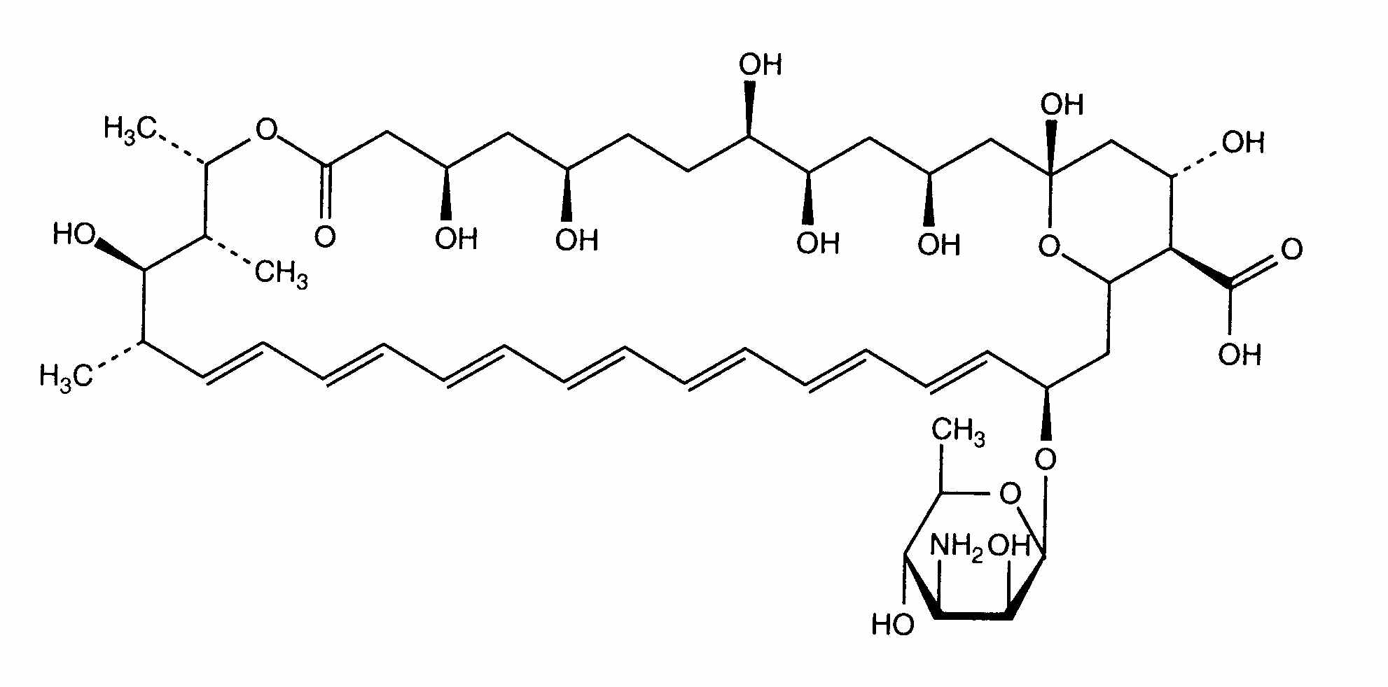
   Struttura chimica  

Soluzione orale
Stabilità in miscela   Soluzione orale   Stabilità in miscela : Amphotericin B      
contenitore eccipiente Molecola Temperatura Conservazione Durata della stabilità Bibliografia
bottiglia di plastica
metilparaben 9,5 mg
propilparaben 3 mg
sodio benzoato 10 mg
Sodio metabisolfito 7,5 mg
fosfato di sodio 132,8 mg
KCl 29,4 mg
Na2HPO4 52, mg
Acqua depurata >> 10 ml
Ampho-Moronal® 5 ml
Soluzione orale   Amphotericin B polvere500 mg  ® = ?
Soluzione orale   Colistin sulfate polvere118 mg  ® = ?
Soluzione orale   Tobramycin sulfate polvere121,75 mg  ® = ?
2-8°C
180 Giorno
Al riparo dalla luce 3685

  Mentions Légales