Ultimele actualizari :
27/01/2026
Antibiotic   Tobramycin sulfate   
colir
Aerosol Injectabil Soluţie orală
Stabilitatea preparatelor farmaceutice Stabilitatea in amestec Factorii care influenteaza stabilitatea Compatibilitate Bibliografie pdf
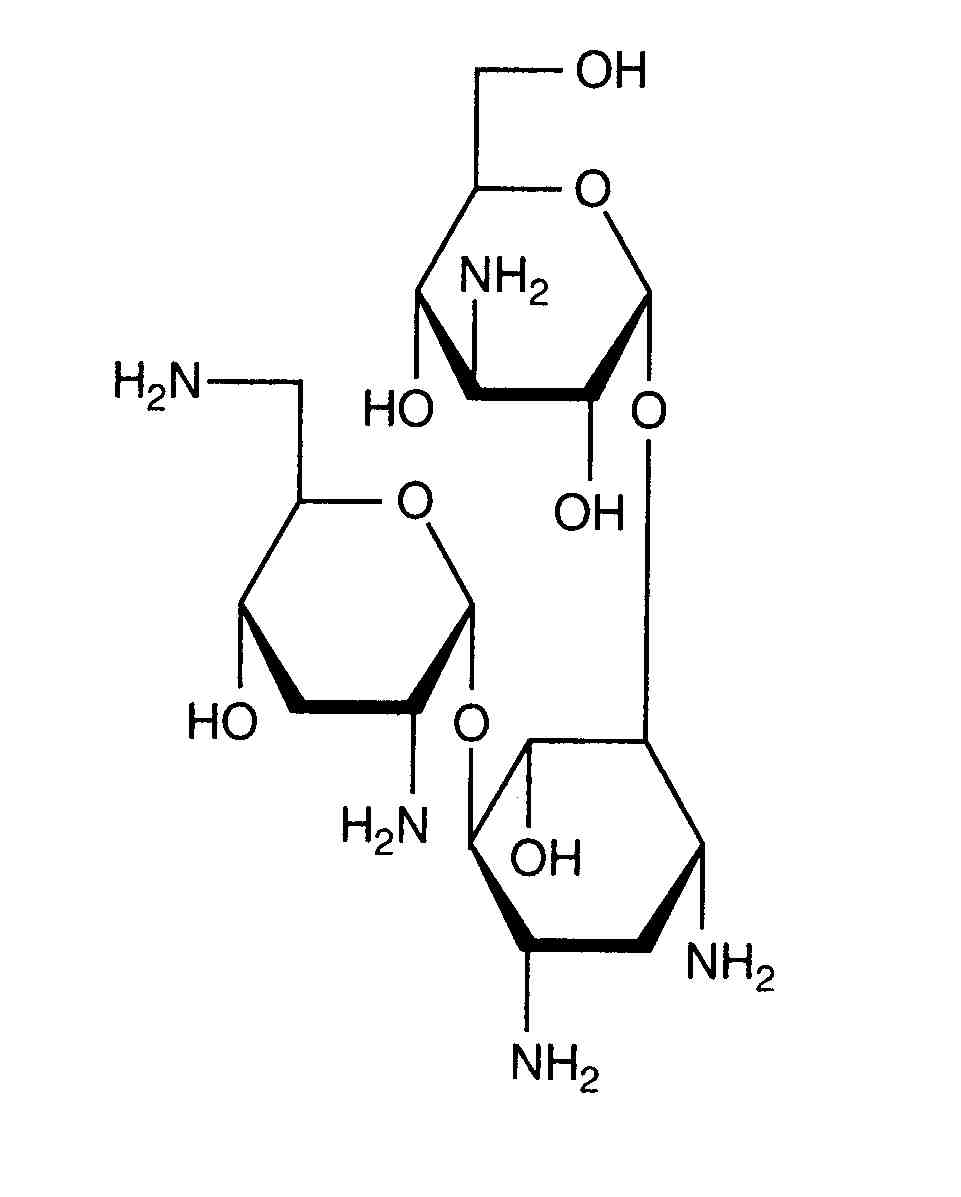
   Formula chimica  

colir
Bibliografie   colir   Bibliografie : Tobramycin sulfate   
tip publicare
2487 ziar McBride HA, Martinez DR, Trang JM, Lander RD, Helms HA.
Stability of gentamicin sulfate and tobramycin sulfate in extemporaneously prepared ophthalmic solutions at 8 degrees C
Am J Hosp Pharm 1991 ; 48: 507-509.

  Mentions Légales