Last update :
27/01/2026
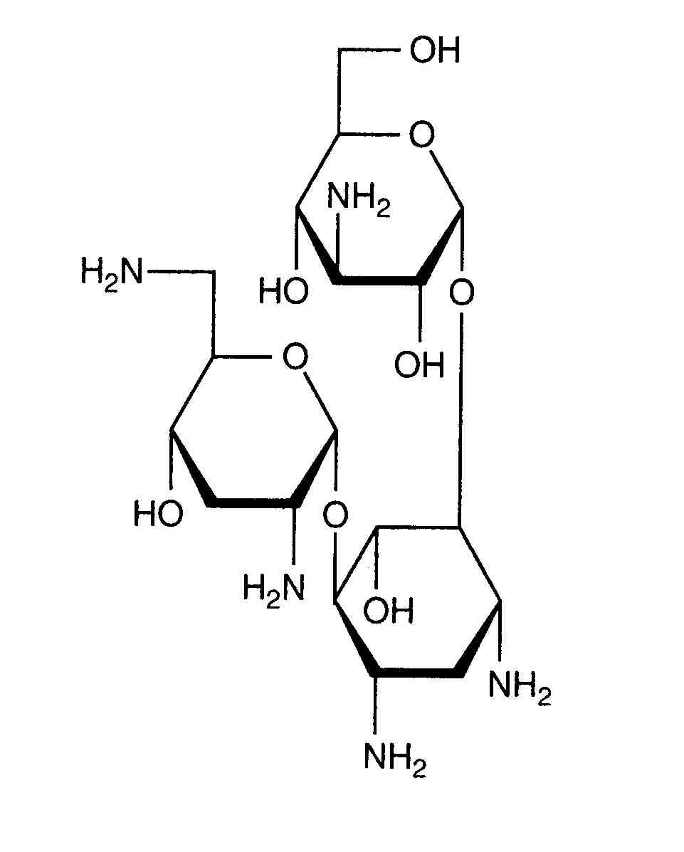
Antibiotic   Tobramycin sulfate   
Eye-drops
aerosol injection Oral solution
Stability of pharmaceutical preparations Stability of mixtures Factors which affect stability Compatibility References pdf
   Chemical structure  

Eye-drops
References   Eye-drops   References : Tobramycin sulfate   
Type Publication
2487 Journal McBride HA, Martinez DR, Trang JM, Lander RD, Helms HA.
Stability of gentamicin sulfate and tobramycin sulfate in extemporaneously prepared ophthalmic solutions at 8 degrees C
Am J Hosp Pharm 1991 ; 48: 507-509.

  Mentions Légales