最新更新 :
27/01/2026
抗生素   Tobramycin sulfate   
眼药水
口服剂 气雾剂 注射液
制剂的稳定性 混合物稳定性 影响稳定性的因素 兼容性 引用文献 PDF
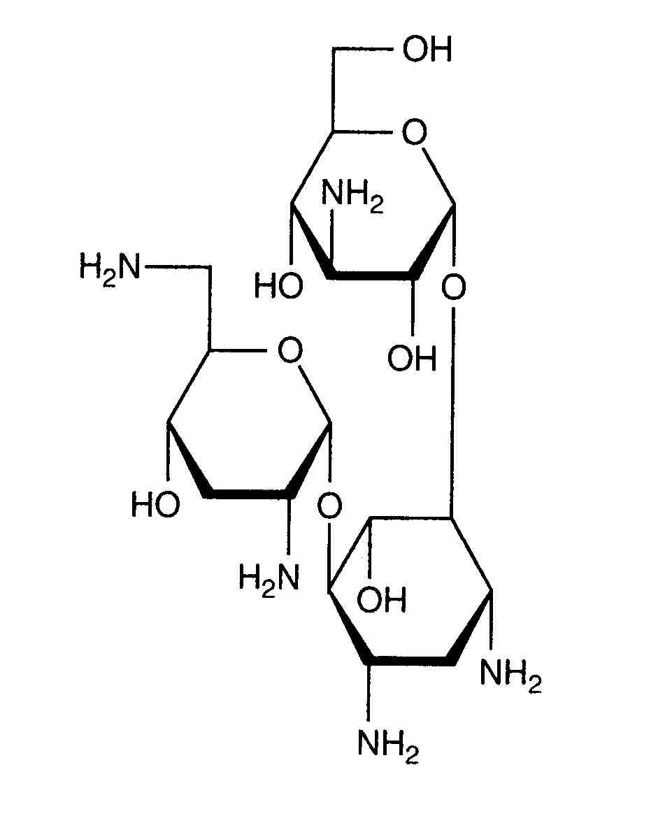
   化学式  

眼药水
引用文献   眼药水   引用文献 : Tobramycin sulfate   
种类 出版物
2487 文献 McBride HA, Martinez DR, Trang JM, Lander RD, Helms HA.
Stability of gentamicin sulfate and tobramycin sulfate in extemporaneously prepared ophthalmic solutions at 8 degrees C
Am J Hosp Pharm 1991 ; 48: 507-509.

  Mentions Légales