Utolsó frissítés :
27/01/2026
Antibiotikum   Tobramycin sulfate   
Szemcsepp
aeroszol belsőleges oldat Injekció
Stabilitása gyógyszerészeti készítmények A keverékek stabilitása Stabilitást befolyásoló tényezők Kompatibilitás Irodalom pdf
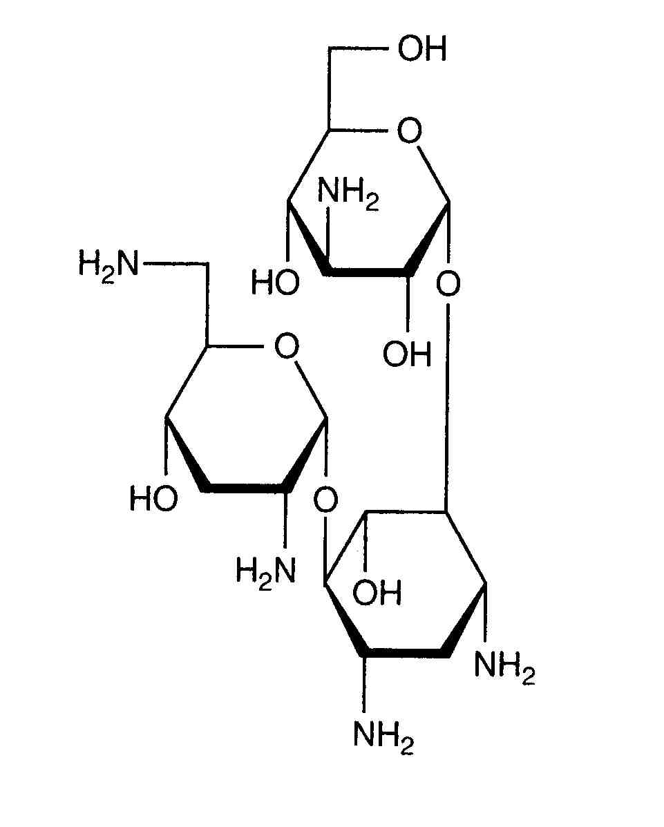
   Kémiai szerkezet   

Szemcsepp
Irodalom   Szemcsepp   Irodalom : Tobramycin sulfate   
Type publikáció
2487 Napló McBride HA, Martinez DR, Trang JM, Lander RD, Helms HA.
Stability of gentamicin sulfate and tobramycin sulfate in extemporaneously prepared ophthalmic solutions at 8 degrees C
Am J Hosp Pharm 1991 ; 48: 507-509.

  Mentions Légales