Zadnji put ažurirano :
27/01/2026
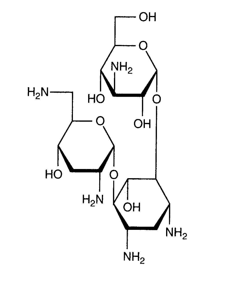
antibiotik   Tobramycin sulfate   
kapi za oko
aerosol injekcija oralna otopina
Stabilnost farmaceutskih pripravaka Stabilnost mješavine Stabilizacijski faktor Kompatibilnosti Bibliografija pdf
   Kemijska struktura  

kapi za oko
Bibliografija   kapi za oko   Bibliografija : Tobramycin sulfate   
Vrsta Publikacija
2487 Časopis McBride HA, Martinez DR, Trang JM, Lander RD, Helms HA.
Stability of gentamicin sulfate and tobramycin sulfate in extemporaneously prepared ophthalmic solutions at 8 degrees C
Am J Hosp Pharm 1991 ; 48: 507-509.

  Mentions Légales